Suppr超能文献

审美愉悦与审美兴趣:通往审美喜爱的两条路径。

Aesthetic Pleasure versus Aesthetic Interest: The Two Routes to Aesthetic Liking.

作者信息

Graf Laura K M, Landwehr Jan R

机构信息

Chair for Product Management and Marketing Communications, Goethe University Frankfurt Frankfurt am Main, Germany.

出版信息

Front Psychol. 2017 Jan 30;8:15. doi: 10.3389/fpsyg.2017.00015. eCollection 2017.

Abstract

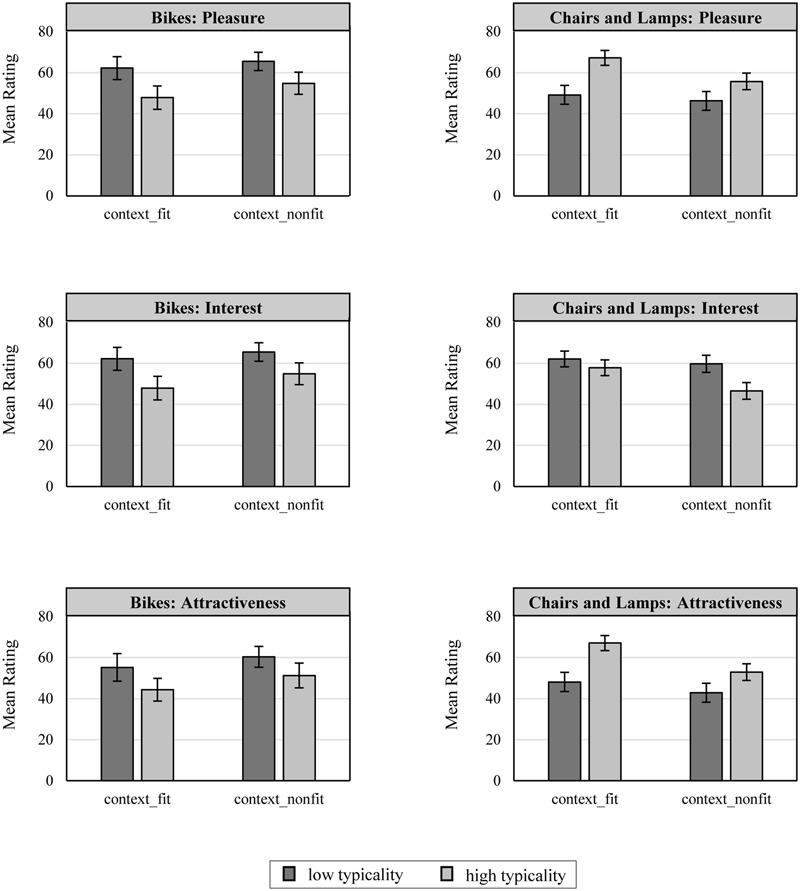
Although existing research has established that aesthetic pleasure and aesthetic interest are two distinct positive aesthetic responses, empirical research on aesthetic preferences usually considers only aesthetic liking to capture participants' aesthetic response. This causes some fundamental contradictions in the literature; some studies find a positive relationship between easy-to-process stimulus characteristics and aesthetic liking, while others suggest a negative relationship. The present research addresses these empirical contradictions by investigating the dual character of aesthetic liking as manifested in both the pleasure and interest components. Based on the Pleasure-Interest Model of Aesthetic Liking (PIA Model; Graf and Landwehr, 2015), two studies investigated the formation of pleasure and interest and their relationship with aesthetic liking responses. Using abstract art as the stimuli, Study 1 employed a 3 (stimulus fluency: low, medium, high) × 2 (processing style: automatic, controlled) × 2 (aesthetic response: pleasure, interest) experimental design to examine the processing dynamics responsible for experiencing aesthetic pleasure versus aesthetic interest. We find that the effect of stimulus fluency on pleasure is mediated by a gut-level fluency experience. Stimulus fluency and interest, by contrast, are related through a process of disfluency reduction, such that disfluent stimuli that grow more fluent due to processing efforts become interesting. The second study employed product designs (bikes, chairs, and lamps) as stimuli and a 2 (fluency: low, high) × 2 (processing style: automatic, controlled) × 3 (product type: bike, chair, lamp) experimental design to examine pleasure and interest as mediators of the relationship between stimulus fluency and design attractiveness. With respect to lamps and chairs, the results suggest that the effect of stimulus fluency on attractiveness is fully mediated by aesthetic pleasure, especially in the automatic processing style. Conversely, disfluent product designs can enhance design attractiveness judgments due to interest when a controlled processing style is adopted.

摘要

尽管现有研究已经证实审美愉悦和审美兴趣是两种不同的积极审美反应,但关于审美偏好的实证研究通常仅考虑审美喜好来捕捉参与者的审美反应。这在文献中引发了一些基本矛盾;一些研究发现易于处理的刺激特征与审美喜好之间存在正相关,而另一些研究则表明存在负相关。本研究通过调查审美喜好的双重特征(表现为愉悦和兴趣成分)来解决这些实证矛盾。基于审美喜好的愉悦-兴趣模型(PIA模型;格拉夫和兰德韦尔,2015),两项研究调查了愉悦和兴趣的形成及其与审美喜好反应的关系。以抽象艺术为刺激物,研究1采用3(刺激流畅性:低、中、高)×2(加工方式:自动、控制)×2(审美反应:愉悦、兴趣)实验设计,以检验产生审美愉悦与审美兴趣的加工动态过程。我们发现刺激流畅性对愉悦的影响是由一种本能水平的流畅性体验介导的。相比之下,刺激流畅性和兴趣是通过减少不流畅的过程相关联的,即由于加工努力而变得更流畅的不流畅刺激会变得有趣。第二项研究以产品设计(自行车、椅子和灯具)为刺激物,采用2(流畅性:低、高)×2(加工方式:自动、控制)×3(产品类型:自行车、椅子、灯具)实验设计,以检验愉悦和兴趣作为刺激流畅性与设计吸引力之间关系的中介变量。对于灯具和椅子,结果表明刺激流畅性对吸引力的影响完全由审美愉悦介导,尤其是在自动加工方式下。相反,当采用控制加工方式时,不流畅的产品设计由于兴趣而可以提高设计吸引力判断。

https://cdn.ncbi.nlm.nih.gov/pmc/blobs/ed49/5276863/4664adfe8353/fpsyg-08-00015-g001.jpg

文献AI研究员

20分钟写一篇综述,助力文献阅读效率提升50倍。

立即体验

用中文搜PubMed

大模型驱动的PubMed中文搜索引擎

马上搜索

文档翻译

学术文献翻译模型,支持多种主流文档格式。

立即体验