• 文献检索
  • 文档翻译
  • 深度研究
  • 学术资讯
  • Suppr Zotero 插件Zotero 插件
  • 邀请有礼
  • 套餐&价格
  • 历史记录
应用&插件
Suppr Zotero 插件Zotero 插件浏览器插件Mac 客户端Windows 客户端微信小程序
定价
高级版会员购买积分包购买API积分包
服务
文献检索文档翻译深度研究API 文档MCP 服务
关于我们
关于 Suppr公司介绍联系我们用户协议隐私条款
关注我们

Suppr 超能文献

核心技术专利:CN118964589B侵权必究
粤ICP备2023148730 号-1Suppr @ 2026

文献检索

告别复杂PubMed语法,用中文像聊天一样搜索,搜遍4000万医学文献。AI智能推荐,让科研检索更轻松。

立即免费搜索

文件翻译

保留排版,准确专业,支持PDF/Word/PPT等文件格式,支持 12+语言互译。

免费翻译文档

深度研究

AI帮你快速写综述,25分钟生成高质量综述,智能提取关键信息,辅助科研写作。

立即免费体验

促进理解还是加剧偏见:关于机构对卫生人员对待难民申请者获得医疗保健态度影响的横断面调查。

Encouraging understanding or increasing prejudices: A cross-sectional survey of institutional influence on health personnel attitudes about refugee claimants' access to health care.

作者信息

Rousseau Cécile, Oulhote Youssef, Ruiz-Casares Mónica, Cleveland Janet, Greenaway Christina

机构信息

Department of Social and Cultural Psychiatry, McGill University, Montreal, Quebec, Canada.

Harvard T.H. Chan School of Public Health, Harvard University, Boston, Massachusetts, United States of America.

出版信息

PLoS One. 2017 Feb 14;12(2):e0170910. doi: 10.1371/journal.pone.0170910. eCollection 2017.

DOI:10.1371/journal.pone.0170910
PMID:28196129
原文链接:https://pmc.ncbi.nlm.nih.gov/articles/PMC5308802/
Abstract

BACKGROUND

This paper investigates the personal, professional and institutional predictors of health institution personnel's attitudes regarding access to healthcare for refugee claimants in Canada.

METHODS

In Montreal, the staff of five hospitals and two primary care centres (n = 1772) completed an online questionnaire documenting demographics, occupation, exposure to refugee claimant patients, and attitudes regarding healthcare access for refugee claimants. We used structural equations modeling to investigate the associations between professional and institutional factors with latent functions of positive and negative attitudes toward refugee's access to healthcare.

RESULTS

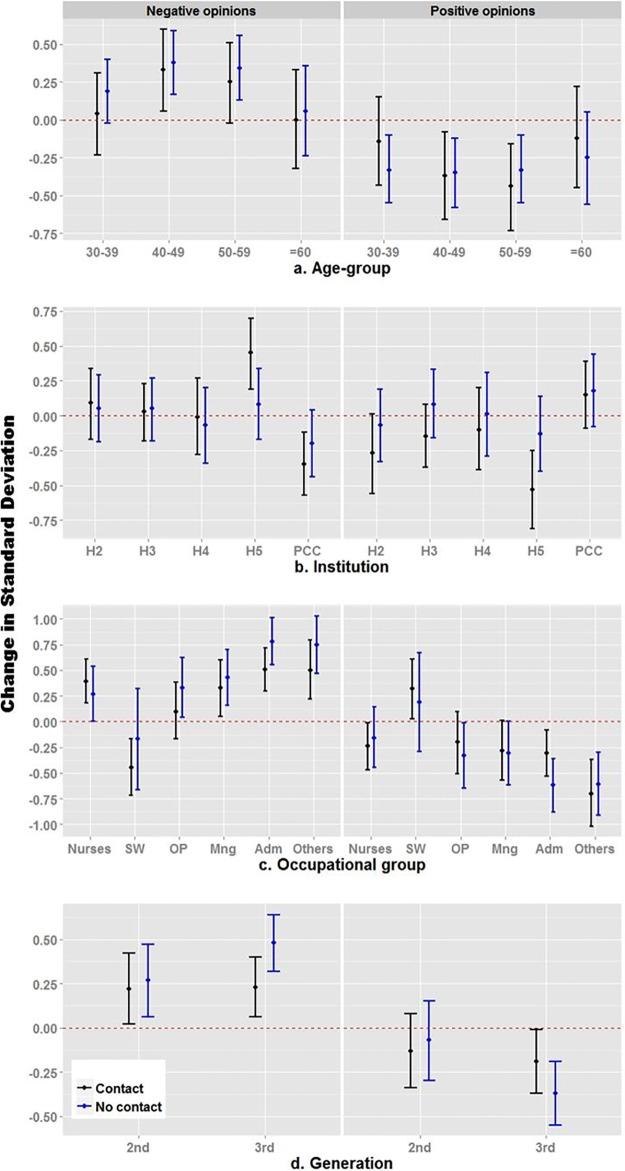
Younger participants, social workers, participants from primary care centres, and from 1st migrant generation had the lowest scores of negative attitudes. Respondents who experienced contact with refugees had lower scores of negative attitudes (B = -14% standard deviation [SD]; 95% CI: -24, -4%). However, direct contact with refugees increased scores of negative attitudes in the institution with the most negative attitudes by 36% SD (95% CI: 1, 71%).

INTERPRETATION

Findings suggest that institutions influence individuals' attitudes about refugee claimants' access to health care and that, in an institutional context of negative attitudes, contact with refugees may further confirm negative perceptions about this vulnerable group.

摘要

背景

本文调查了加拿大医疗机构人员对难民申请者获得医疗保健服务的态度的个人、职业和机构预测因素。

方法

在蒙特利尔,五家医院和两个初级保健中心的工作人员(n = 1772)完成了一份在线问卷,记录了人口统计学、职业、接触难民申请者患者的情况以及对难民申请者获得医疗保健服务的态度。我们使用结构方程模型来研究专业和机构因素与对难民获得医疗保健服务的积极和消极态度的潜在功能之间的关联。

结果

年轻参与者、社会工作者、来自初级保健中心的参与者以及第一代移民的消极态度得分最低。有过与难民接触经历的受访者消极态度得分较低(B = -14%标准差[SD];95%置信区间:-24,-4%)。然而,在消极态度最为严重的机构中,与难民的直接接触使消极态度得分提高了36%标准差(95%置信区间:1,71%)。

解读

研究结果表明,机构会影响个人对难民申请者获得医疗保健服务的态度,而且在消极态度的机构环境中,与难民接触可能会进一步强化对这一弱势群体的负面看法。

https://cdn.ncbi.nlm.nih.gov/pmc/blobs/d712/5308802/1171676f65fb/pone.0170910.g002.jpg
https://cdn.ncbi.nlm.nih.gov/pmc/blobs/d712/5308802/f54c67fe8926/pone.0170910.g001.jpg
https://cdn.ncbi.nlm.nih.gov/pmc/blobs/d712/5308802/1171676f65fb/pone.0170910.g002.jpg
https://cdn.ncbi.nlm.nih.gov/pmc/blobs/d712/5308802/f54c67fe8926/pone.0170910.g001.jpg
https://cdn.ncbi.nlm.nih.gov/pmc/blobs/d712/5308802/1171676f65fb/pone.0170910.g002.jpg

相似文献

1
Encouraging understanding or increasing prejudices: A cross-sectional survey of institutional influence on health personnel attitudes about refugee claimants' access to health care.促进理解还是加剧偏见:关于机构对卫生人员对待难民申请者获得医疗保健态度影响的横断面调查。
PLoS One. 2017 Feb 14;12(2):e0170910. doi: 10.1371/journal.pone.0170910. eCollection 2017.
2
Canadian Health Personnel Attitudes Toward Refugee Claimants' Entitlement to Health Care.加拿大卫生人员对难民申请者享受医疗保健权利的态度。
J Int Migr Integr. 2022;23(3):1341-1356. doi: 10.1007/s12134-021-00892-4. Epub 2021 Sep 10.
3
Refugee claimant women and barriers to health and social services post-birth.难民申请人妇女和产后获得卫生和社会服务的障碍。
Can J Public Health. 2011 Jul-Aug;102(4):286-90. doi: 10.1007/BF03404050.
4
Knowledge of Healthcare Coverage for Refugee Claimants: Results from a Survey of Health Service Providers in Montreal.难民申请者的医保覆盖情况:蒙特利尔医疗服务提供者调查结果
PLoS One. 2016 Jan 20;11(1):e0146798. doi: 10.1371/journal.pone.0146798. eCollection 2016.
5
Health Inequity and "Restoring Fairness" Through the Canadian Refugee Health Policy Reforms: A Literature Review.通过加拿大难民健康政策改革实现健康公平与“恢复公平”:文献综述
J Immigr Minor Health. 2018 Feb;20(1):203-213. doi: 10.1007/s10903-016-0486-z.
6
Healthcare service delivery to refugee children from the Democratic Republic of Congo living in Durban, South Africa: a caregivers' perspective.南非德班的难民儿童(来自刚果民主共和国)的医疗服务提供:照顾者的观点。
BMC Med. 2018 Sep 27;16(1):163. doi: 10.1186/s12916-018-1153-0.
7
Health workers' perceptions of access to care for children and pregnant women with precarious immigration status: health as a right or a privilege?卫生工作者对脆弱移民身份的儿童和孕妇获得医疗保健的看法:健康是一项权利还是一种特权?
Soc Sci Med. 2013 Sep;93:78-85. doi: 10.1016/j.socscimed.2013.06.008. Epub 2013 Jun 18.
8
Refugee and refugee-claimant women and infants post-birth: migration histories as a predictor of Canadian health system response to needs.难民及难民申请妇女和婴儿产后情况:移民历史作为加拿大卫生系统对需求反应的预测指标
Can J Public Health. 2007 Jul-Aug;98(4):287-91. doi: 10.1007/BF03405405.
9
Assessment of attitudes and targeted educational needs for refugee care providers in a Ugandan hospital.乌干达一家医院对难民护理提供者的态度及针对性教育需求评估
Int J Med Educ. 2018 Aug 24;9:221-225. doi: 10.5116/ijme.5b64.9630.
10
Othering refugees: Psychotherapists' attitudes toward patients with and without a refugee background.将难民他者化:心理治疗师对有难民背景和无难民背景患者的态度。
Psychother Res. 2023 Jun;33(5):654-668. doi: 10.1080/10503307.2022.2150097. Epub 2022 Dec 6.

引用本文的文献

1
Investigation of differences in xenophobia, prosociality level, and sociodemographic characteristics in nursing students.调查护理专业学生的仇外心理、亲社会水平和社会人口学特征的差异。
Brain Behav. 2023 Dec;13(12):e3277. doi: 10.1002/brb3.3277. Epub 2023 Oct 11.
2
An Analysis of Admissions to a Refugee Child Mental Health Unit in the Context of the COVID-19 Pandemic.《COVID-19 大流行背景下的难民儿童心理健康病房入院情况分析》
Clin Child Psychol Psychiatry. 2022 Jan;27(1):136-144. doi: 10.1177/13591045211058337. Epub 2021 Nov 25.
3
Intersection of Migration and Access to Health Care: Experiences and Perceptions of Female Economic Migrants in Canada.

本文引用的文献

1
STRUCTURAL RACISM AND HEALTH INEQUITIES: Old Issues, New Directions.结构性种族主义与健康不平等:老问题,新方向。
Du Bois Rev. 2011 Apr;8(1):115-132. doi: 10.1017/S1742058X11000130.
2
Contextual effect of positive intergroup contact on outgroup prejudice.积极的群体间接触对外群偏见的情境影响。
Proc Natl Acad Sci U S A. 2014 Mar 18;111(11):3996-4000. doi: 10.1073/pnas.1320901111. Epub 2014 Mar 3.
3
Sites of institutional racism in public health policy making in New Zealand.新西兰公共卫生政策制定中的制度性种族主义场所。
移民与获得医疗保健服务的交集:加拿大女性经济移民的经历和看法。
Int J Environ Res Public Health. 2020 May 23;17(10):3682. doi: 10.3390/ijerph17103682.
4
Challenges and burden of the Coronavirus 2019 (COVID-19) pandemic for child and adolescent mental health: a narrative review to highlight clinical and research needs in the acute phase and the long return to normality.2019年冠状病毒病(COVID-19)大流行对儿童和青少年心理健康的挑战与负担:一项叙述性综述,以突出急性期及长期恢复正常状态下的临床和研究需求。
Child Adolesc Psychiatry Ment Health. 2020 May 12;14:20. doi: 10.1186/s13034-020-00329-3. eCollection 2020.
5
Mental Health of Refugee Children and Youth: Epidemiology, Interventions, and Future Directions.难民儿童和青少年的心理健康:流行病学、干预措施和未来方向。
Annu Rev Public Health. 2020 Apr 2;41:159-176. doi: 10.1146/annurev-publhealth-040119-094230. Epub 2020 Jan 7.
6
Commentary on the Organisation of Occupational Health and Safety in Southern Africa, the International Labour Organization and Policies in General.南非职业健康与安全组织评论、国际劳工组织以及一般政策。
Ann Glob Health. 2018 Aug 31;84(3):500-503. doi: 10.29024/aogh.2333.
7
Addressing Mental Health Needs of Refugees.解决难民的心理健康需求。
Can J Psychiatry. 2018 May;63(5):287-289. doi: 10.1177/0706743717746664. Epub 2017 Dec 4.
8
[Health care for refugees or the history of a pending issue].[难民医疗或一个悬而未决问题的历史]
Aten Primaria. 2017 Oct;49(8):448-449. doi: 10.1016/j.aprim.2017.03.004. Epub 2017 Jun 7.
Soc Sci Med. 2014 Apr;106:214-20. doi: 10.1016/j.socscimed.2014.01.055. Epub 2014 Feb 4.
4
Systemic racism and U.S. health care.系统性种族主义与美国医疗保健。
Soc Sci Med. 2014 Feb;103:7-14. doi: 10.1016/j.socscimed.2013.09.006.
5
Health workers' perceptions of access to care for children and pregnant women with precarious immigration status: health as a right or a privilege?卫生工作者对脆弱移民身份的儿童和孕妇获得医疗保健的看法:健康是一项权利还是一种特权?
Soc Sci Med. 2013 Sep;93:78-85. doi: 10.1016/j.socscimed.2013.06.008. Epub 2013 Jun 18.
6
The contact caveat: negative contact predicts increased prejudice more than positive contact predicts reduced prejudice.接触警示:负面接触比正面接触更能预测增加偏见。
Pers Soc Psychol Bull. 2012 Dec;38(12):1629-43. doi: 10.1177/0146167212457953. Epub 2012 Aug 31.
7
Enter at your own risk: government changes to comprehensive care for newly arrived Canadian refugees.自担风险进入:政府对新抵达的加拿大难民综合护理的变更。
CMAJ. 2012 Nov 20;184(17):1875-6. doi: 10.1503/cmaj.120938. Epub 2012 Aug 27.
8
When can categorical variables be treated as continuous? A comparison of robust continuous and categorical SEM estimation methods under suboptimal conditions.类别变量在何时可以视为连续变量?在次优条件下稳健连续和类别 SEM 估计方法的比较。
Psychol Methods. 2012 Sep;17(3):354-73. doi: 10.1037/a0029315. Epub 2012 Jul 16.
9
The state of research on racial/ethnic discrimination in the receipt of health care.关于在获得医疗保健方面种族/民族歧视的研究现状。
Am J Public Health. 2012 May;102(5):953-66. doi: 10.2105/AJPH.2012.300773.
10
Access to health care for undocumented migrant children and pregnant women: the paradox between values and attitudes of health care professionals.无证件移民儿童和孕妇获得医疗保健的机会:医疗保健专业人员价值观和态度之间的矛盾。
Matern Child Health J. 2013 Feb;17(2):292-8. doi: 10.1007/s10995-012-0973-3.