Matsuura Toshiyuki, Takayama Kei, Kaneko Hiroki, Ye Fuxiang, Fukukita Hiroshi, Tsunekawa Taichi, Kataoka Keiko, Hwang Shiang-Jyi, Nagasaka Yosuke, Ito Yasuki, Terasaki Hiroko
Department of Ophthalmology, Nagoya University Graduate School of Medicine, Nagoya 466-8550, Japan.
Department of Ophthalmology, Nagoya University Graduate School of Medicine, Nagoya 466-8550, Japan; Department of Ophthalmology, Shanghai First People's Hospital, Shanghai Jiao Tong University School of Medicine, Shanghai 200240, China.
Oxid Med Cell Longev. 2017;2017:9548767. doi: 10.1155/2017/9548767. Epub 2017 Jan 24.
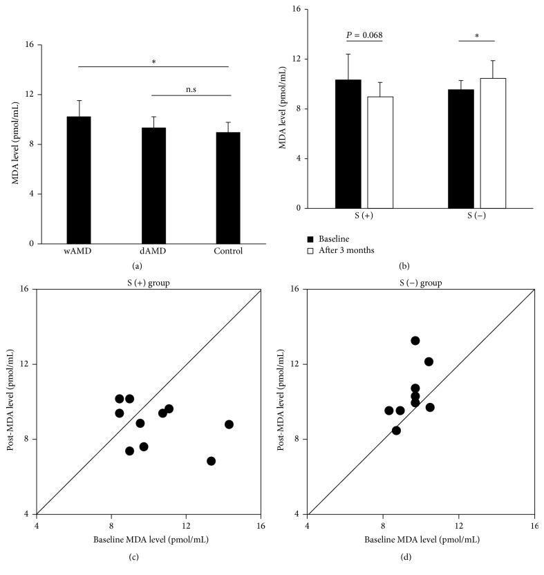
To compare serum levels of malondialdehyde (MDA) in patients with wet age-related macular degeneration (wAMD), patients with dry AMD (dAMD), and patients without AMD and to evaluate the efficacy of nutritional supplementation for treating elevated serum MDA in patients with wAMD. MDA levels were measured in sera from 20 patients with wAMD, 20 with dAMD, and 24 without AMD. Patients with wAMD were randomized to receive or not receive nutritional supplementation (10 patients in each group), and MDA levels were measured after 3 months of treatment. MDA levels in patients with wAMD were significantly greater compared with patients without AMD. In eyes with wAMD, there was a significant correlation between MDA levels and choroidal neovascularization lesion area. Serum MDA levels decreased in most patients that received supplementation and significantly increased in those who did not. Baseline serum MDA levels were elevated in patients with wAMD, and MDA levels were directly correlated with choroidal neovascularization lesion area. In addition, nutritional supplementation appeared to exert a protective effect against oxidative stress in patients with wAMD.
比较湿性年龄相关性黄斑变性(wAMD)患者、干性AMD(dAMD)患者和无AMD患者的血清丙二醛(MDA)水平,并评估营养补充剂治疗wAMD患者血清MDA升高的疗效。检测了20例wAMD患者、20例dAMD患者和24例无AMD患者血清中的MDA水平。将wAMD患者随机分为接受或不接受营养补充剂两组(每组10例),治疗3个月后检测MDA水平。与无AMD患者相比,wAMD患者的MDA水平显著更高。在wAMD眼中,MDA水平与脉络膜新生血管病变面积之间存在显著相关性。大多数接受补充剂治疗的患者血清MDA水平下降,而未接受补充剂治疗的患者血清MDA水平显著升高。wAMD患者的基线血清MDA水平升高,且MDA水平与脉络膜新生血管病变面积直接相关。此外,营养补充剂似乎对wAMD患者的氧化应激具有保护作用。