• 文献检索
  • 文档翻译
  • 深度研究
  • 学术资讯
  • Suppr Zotero 插件Zotero 插件
  • 邀请有礼
  • 套餐&价格
  • 历史记录
应用&插件
Suppr Zotero 插件Zotero 插件浏览器插件Mac 客户端Windows 客户端微信小程序
定价
高级版会员购买积分包购买API积分包
服务
文献检索文档翻译深度研究API 文档MCP 服务
关于我们
关于 Suppr公司介绍联系我们用户协议隐私条款
关注我们

Suppr 超能文献

核心技术专利:CN118964589B侵权必究
粤ICP备2023148730 号-1Suppr @ 2026

文献检索

告别复杂PubMed语法,用中文像聊天一样搜索,搜遍4000万医学文献。AI智能推荐,让科研检索更轻松。

立即免费搜索

文件翻译

保留排版,准确专业,支持PDF/Word/PPT等文件格式,支持 12+语言互译。

免费翻译文档

深度研究

AI帮你快速写综述,25分钟生成高质量综述,智能提取关键信息,辅助科研写作。

立即免费体验

美国成年人中与性别、年龄、社会经济地位和血统相关的腹部尺寸相对于身高的指标。

Indicators of abdominal size relative to height associated with sex, age, socioeconomic position and ancestry among US adults.

作者信息

Kahn Henry S, Bullard Kai McKeever

机构信息

Division of Diabetes Translation, Centers for Disease Control and Prevention, Atlanta, Georgia, United States of America.

出版信息

PLoS One. 2017 Mar 1;12(3):e0172245. doi: 10.1371/journal.pone.0172245. eCollection 2017.

DOI:10.1371/journal.pone.0172245
PMID:28248983
原文链接:https://pmc.ncbi.nlm.nih.gov/articles/PMC5332027/
Abstract

BACKGROUND/OBJECTIVES: The supine sagittal abdominal diameter (SAD) and standing waist circumference (WC) describe abdominal size. The SAD/height ratio (SADHtR) or WC/height ratio (WHtR) may better identify cardiometabolic disorders than BMI (weight/height2), but population-based distributions of SADHtR and WHtR are not widely available. Abdominal adiposity may differ by sociodemographic characteristics.

SUBJECTS/METHODS: Anthropometry, including SAD by sliding-beam caliper, was performed on 9894 non-pregnant adults ≥20 years in the US National Health and Nutrition Examination Surveys of 2011-2014. Applying survey design factors and sampling weights, we estimated nationally representative SADHtR and WHtR distributions by sex, age, educational attainment, and four ancestral groups.

RESULTS

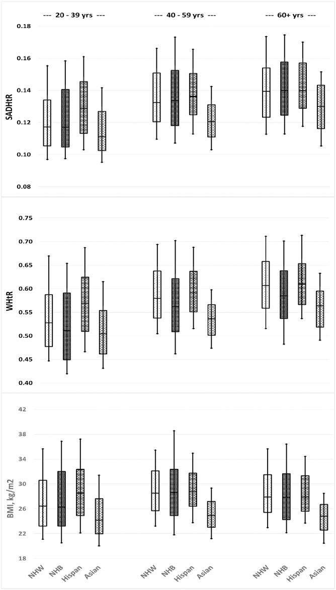
The median (10th percentile, 90th percentile) for men's SADHtR was 0.130 (0.103, 0.165) and WHtR 0.569 (0.467, 0.690). For women, median SADHtR was 0.132 (0.102, 0.175) and WHtR 0.586 (0.473, 0.738). Medians for SADHtR and WHtR increased steadily through age 79. The median BMI, however, reached maximum values at ages 40-49 (men) or 60-69 (women) and then declined. Low educational attainment, adjusted for age and ancestry, was associated with elevated SADHtR more strongly than elevated BMI. While non-Hispanic Asians had substantially lower BMI compared to all other ancestral groups (adjusted for sex, age and education), their relative reductions in SADHtR and WHtR, were less marked.

CONCLUSIONS

These cross-sectional data are consistent with monotonically increasing abdominal adipose tissue through the years of adulthood but decreasing mass in non-abdominal regions beyond middle age. They suggest also that visceral adipose tissue, estimated by SADHtR, expands differentially in association with low socioeconomic position. Insofar as Asians have lower BMIs than other populations, employing abdominal indicators may attenuate the adiposity differences reported between ancestral groups. Documenting the distribution and sociodemographic features of SADHtR and WHtR supports the clinical and epidemiologic adoption of these adiposity indicators.

摘要

背景/目的:仰卧位腹部矢状径(SAD)和站立位腰围(WC)描述腹部大小。SAD与身高之比(SADHtR)或WC与身高之比(WHtR)可能比体重指数(BMI,体重/身高²)能更好地识别心脏代谢紊乱,但基于人群的SADHtR和WHtR分布情况尚未广泛可得。腹部肥胖程度可能因社会人口学特征而异。

对象/方法:在美国2011 - 2014年国家健康与营养检查调查中,对9894名年龄≥20岁的非妊娠成年人进行了人体测量,包括使用游标卡尺测量SAD。应用调查设计因素和抽样权重,我们按性别、年龄、教育程度和四个祖先群体估算了具有全国代表性的SADHtR和WHtR分布情况。

结果

男性SADHtR的中位数(第10百分位数,第90百分位数)为0.130(0.103,0.165),WHtR为0.569(0.467,0.690)。女性SADHtR中位数为0.132(0.102,0.175),WHtR为0.586(0.473,0.738)。SADHtR和WHtR的中位数在79岁之前稳步上升。然而,BMI中位数在40 - 49岁(男性)或60 - 69岁(女性)达到最大值,然后下降。在调整年龄和祖先因素后,低教育程度与SADHtR升高的关联比与BMI升高的关联更强。虽然非西班牙裔亚洲人的BMI与所有其他祖先群体相比显著更低(已根据性别、年龄和教育程度进行调整),但他们的SADHtR和WHtR的相对降低幅度较小。

结论

这些横断面数据与成年期腹部脂肪组织持续增加但中年以后非腹部区域脂肪量减少一致。这些数据还表明,通过SADHtR估算的内脏脂肪组织与低社会经济地位相关的差异扩张情况。鉴于亚洲人的BMI低于其他人群,采用腹部指标可能会减弱不同祖先群体间报告的肥胖差异。记录SADHtR和WHtR的分布及社会人口学特征支持了这些肥胖指标在临床和流行病学中的应用。

https://cdn.ncbi.nlm.nih.gov/pmc/blobs/8c81/5332027/8aa4ecc9c77c/pone.0172245.g005.jpg
https://cdn.ncbi.nlm.nih.gov/pmc/blobs/8c81/5332027/1f9d731bf461/pone.0172245.g001.jpg
https://cdn.ncbi.nlm.nih.gov/pmc/blobs/8c81/5332027/4e3f131bf26b/pone.0172245.g002.jpg
https://cdn.ncbi.nlm.nih.gov/pmc/blobs/8c81/5332027/639e2fc9377e/pone.0172245.g003.jpg
https://cdn.ncbi.nlm.nih.gov/pmc/blobs/8c81/5332027/26497887e10b/pone.0172245.g004.jpg
https://cdn.ncbi.nlm.nih.gov/pmc/blobs/8c81/5332027/8aa4ecc9c77c/pone.0172245.g005.jpg
https://cdn.ncbi.nlm.nih.gov/pmc/blobs/8c81/5332027/1f9d731bf461/pone.0172245.g001.jpg
https://cdn.ncbi.nlm.nih.gov/pmc/blobs/8c81/5332027/4e3f131bf26b/pone.0172245.g002.jpg
https://cdn.ncbi.nlm.nih.gov/pmc/blobs/8c81/5332027/639e2fc9377e/pone.0172245.g003.jpg
https://cdn.ncbi.nlm.nih.gov/pmc/blobs/8c81/5332027/26497887e10b/pone.0172245.g004.jpg
https://cdn.ncbi.nlm.nih.gov/pmc/blobs/8c81/5332027/8aa4ecc9c77c/pone.0172245.g005.jpg

相似文献

1
Indicators of abdominal size relative to height associated with sex, age, socioeconomic position and ancestry among US adults.美国成年人中与性别、年龄、社会经济地位和血统相关的腹部尺寸相对于身高的指标。
PLoS One. 2017 Mar 1;12(3):e0172245. doi: 10.1371/journal.pone.0172245. eCollection 2017.
2
Beyond Body Mass Index: Advantages of Abdominal Measurements for Recognizing Cardiometabolic Disorders.超越体重指数:腹部测量在识别心脏代谢紊乱方面的优势。
Am J Med. 2016 Jan;129(1):74-81.e2. doi: 10.1016/j.amjmed.2015.08.010. Epub 2015 Aug 21.
3
Comparison of adiposity indicators associated with fasting-state insulinemia, triglyceridemia, and related risk biomarkers in a nationally representative, adult population.在一个具有全国代表性的成年人群体中,比较与空腹胰岛素血症、甘油三酯血症及相关风险生物标志物相关的肥胖指标。
Diabetes Res Clin Pract. 2018 Feb;136:7-15. doi: 10.1016/j.diabres.2017.11.019. Epub 2017 Nov 26.
4
Population distribution of the sagittal abdominal diameter (SAD) from a representative sample of US adults: comparison of SAD, waist circumference and body mass index for identifying dysglycemia.美国成年人代表性样本的腹矢状径(SAD)的人群分布:比较SAD、腰围和体重指数以识别血糖异常
PLoS One. 2014 Oct 1;9(10):e108707. doi: 10.1371/journal.pone.0108707. eCollection 2014.
5
Sociodemographic characteristics are associated with prevalence of high-risk waist circumference and high-risk waist-to-height ratio in U.S. adolescents.社会人口统计学特征与美国青少年高危腰围和高腰围身高比的流行情况相关。
BMC Pediatr. 2021 May 3;21(1):215. doi: 10.1186/s12887-021-02685-1.
6
Replacing the body mass index with the sagittal abdominal diameter (abdominal height).用矢状腹径(腹部高度)替代体质量指数。
Obesity (Silver Spring). 2023 Nov;31(11):2720-2722. doi: 10.1002/oby.23889. Epub 2023 Sep 25.
7
Associations between ultra- or minimally processed food intake and three adiposity indicators among US adults: NHANES 2011 to 2016.美国成年人超高加工或最低限度加工食品摄入与三种肥胖指标之间的关联:NHANES 2011 至 2016 年。
Obesity (Silver Spring). 2022 Sep;30(9):1887-1897. doi: 10.1002/oby.23507. Epub 2022 Aug 4.
8
Differences between adiposity indicators for predicting all-cause mortality in a representative sample of United States non-elderly adults.在美国非老年成年人代表性样本中,预测全因死亡率的肥胖指标差异。
PLoS One. 2012;7(11):e50428. doi: 10.1371/journal.pone.0050428. Epub 2012 Nov 30.
9
Cut-off values of body mass index, waist circumference, and waist-to-height ratio to identify excess abdominal fat: population-based screening of Japanese school children.用于识别腹部肥胖的体质指数、腰围和腰高比的截断值:日本学龄儿童的基于人群的筛查。
J Epidemiol. 2011;21(3):191-6. doi: 10.2188/jea.je20100116. Epub 2011 Mar 30.
10
Role of the waist/height ratio in the cardiometabolic risk assessment of children classified by body mass index.腰围/身高比在基于体质指数分类的儿童心血管代谢风险评估中的作用。
J Am Coll Cardiol. 2013 Aug 20;62(8):742-51. doi: 10.1016/j.jacc.2013.01.026. Epub 2013 Apr 2.

引用本文的文献

1
Opportunistic measurement of sagittal abdominal diameter with bone densitometry predicts death and cardiovascular events.利用骨密度测定法对腹部矢状径进行机会性测量可预测死亡和心血管事件。
JBMR Plus. 2025 Jan 27;9(4):ziaf020. doi: 10.1093/jbmrpl/ziaf020. eCollection 2025 Apr.
2
Effects of age and diet on triglyceride metabolism in mice.年龄和饮食对小鼠甘油三酯代谢的影响。
J Lipid Res. 2025 Jan;66(1):100706. doi: 10.1016/j.jlr.2024.100706. Epub 2024 Nov 19.
3
Effects of Age and Diet on Triglyceride Metabolism in Mice.年龄和饮食对小鼠甘油三酯代谢的影响。

本文引用的文献

1
Precision of recumbent anthropometry.卧位人体测量的精度。
Am J Hum Biol. 1993;5(2):159-167. doi: 10.1002/ajhb.1310050205.
2
Anthropometric Reference Data for Children and Adults: United States, 2011-2014.2011 - 2014年美国儿童和成人人体测量参考数据
Vital Health Stat 3 Anal Stud. 2016 Aug(39):1-46.
3
The Genetic Contribution of West-African Ancestry to Protection against Central Obesity in African-American Men but Not Women: Results from the ARIC and MESA Studies.西非血统对非裔美国男性而非女性预防中心性肥胖的遗传贡献:动脉粥样硬化风险社区(ARIC)研究和多族裔动脉粥样硬化研究(MESA)的结果
bioRxiv. 2024 Jul 22:2024.07.19.602944. doi: 10.1101/2024.07.19.602944.
4
Sagittal abdominal diameter and its socioeconomic correlates: perspective of sex differences.矢状腹部直径及其社会经济相关性:性别差异视角。
BMC Public Health. 2021 Mar 11;21(1):486. doi: 10.1186/s12889-020-09805-z.
5
Aging and plasma triglyceride metabolism.衰老与血浆甘油三酯代谢。
J Lipid Res. 2020 Aug;61(8):1161-1167. doi: 10.1194/jlr.R120000922. Epub 2020 Jun 25.
6
Relationship between obesity and blood pressure among employees in the Vhembe district municipality of Limpopo Province, South Africa.南非林波波省韦姆贝地区市政当局员工中肥胖与血压之间的关系。
Cardiovasc J Afr. 2019;30(6):361-368. doi: 10.5830/CVJA-2019-035. Epub 2019 Sep 12.
7
Alternative waist-to-height ratios associated with risk biomarkers in youth with diabetes: comparative models in the SEARCH for Diabetes in Youth Study.与糖尿病青少年风险生物标志物相关的替代腰围身高比:SEATCH 研究中的比较模型。
Int J Obes (Lond). 2019 Oct;43(10):1940-1950. doi: 10.1038/s41366-019-0354-8. Epub 2019 Mar 29.
8
Determinants of body fat distribution in humans may provide insight about obesity-related health risks.人体脂肪分布的决定因素可能有助于了解与肥胖相关的健康风险。
J Lipid Res. 2019 Oct;60(10):1710-1719. doi: 10.1194/jlr.R086975. Epub 2018 Aug 10.
9
Comparison of adiposity indicators associated with fasting-state insulinemia, triglyceridemia, and related risk biomarkers in a nationally representative, adult population.在一个具有全国代表性的成年人群体中,比较与空腹胰岛素血症、甘油三酯血症及相关风险生物标志物相关的肥胖指标。
Diabetes Res Clin Pract. 2018 Feb;136:7-15. doi: 10.1016/j.diabres.2017.11.019. Epub 2017 Nov 26.
Front Genet. 2016 Jun 1;7:89. doi: 10.3389/fgene.2016.00089. eCollection 2016.
4
Trends in adult body-mass index in 200 countries from 1975 to 2014: a pooled analysis of 1698 population-based measurement studies with 19·2 million participants.1975年至2014年200个国家成人身体质量指数的趋势:对1698项基于人群测量研究的汇总分析,涉及1920万参与者。
Lancet. 2016 Apr 2;387(10026):1377-1396. doi: 10.1016/S0140-6736(16)30054-X.
5
LMS tables for waist circumference and waist-height ratio in Colombian adults: analysis of nationwide data 2010.哥伦比亚成年人腰围和腰高比的LMS表:2010年全国数据的分析
Eur J Clin Nutr. 2016 Oct;70(10):1189-1196. doi: 10.1038/ejcn.2016.46. Epub 2016 Mar 30.
6
The Cut-Off Point and Boundary Values of Waist-to-Height Ratio as an Indicator for Cardiovascular Risk Factors in Chinese Adults from the PURE Study.基于PURE研究的中国成年人中作为心血管危险因素指标的腰高比的截断点和界值
PLoS One. 2015 Dec 7;10(12):e0144539. doi: 10.1371/journal.pone.0144539. eCollection 2015.
7
Prevalence of Obesity Among Adults and Youth: United States, 2011-2014.2011 - 2014年美国成年人及青少年肥胖症患病率
NCHS Data Brief. 2015 Nov(219):1-8.
8
Changing guards: time to move beyond body mass index for population monitoring of excess adiposity.换岗:是时候超越体重指数,以监测肥胖人口了。
QJM. 2016 Jul;109(7):443-446. doi: 10.1093/qjmed/hcv201. Epub 2015 Nov 1.
9
General and abdominal adiposity in a representative sample of Portuguese adults: dependency of measures and socio-demographic factors' influence.葡萄牙成年人代表性样本中的总体和腹部肥胖:测量指标的相关性及社会人口学因素的影响
Br J Nutr. 2016 Jan 14;115(1):185-92. doi: 10.1017/S0007114515004055. Epub 2015 Oct 22.
10
Educational inequality in the occurrence of abdominal obesity:Pró-Saúde Study.腹部肥胖发生中的教育不平等:健康促进研究
Rev Saude Publica. 2015;49:65. doi: 10.1590/S0034-8910.2015049005786. Epub 2015 Oct 9.