Suppr超能文献

急性入院老年内科患者常规实验室检查与长期死亡率之间的关联:一项队列研究

Association between routine laboratory tests and long-term mortality among acutely admitted older medical patients: a cohort study.

作者信息

Klausen Henrik Hedegaard, Petersen Janne, Bandholm Thomas, Juul-Larsen Helle Gybel, Tavenier Juliette, Eugen-Olsen Jesper, Andersen Ove

机构信息

Optimed, Clinical Research Centre, Copenhagen University Hospital, Hvidovre, Denmark.

Department of Public Health, Section of Biostatistics, University of Copenhagen, Copenhagen, Denmark.

出版信息

BMC Geriatr. 2017 Mar 1;17(1):62. doi: 10.1186/s12877-017-0434-3.

Abstract

BACKGROUND

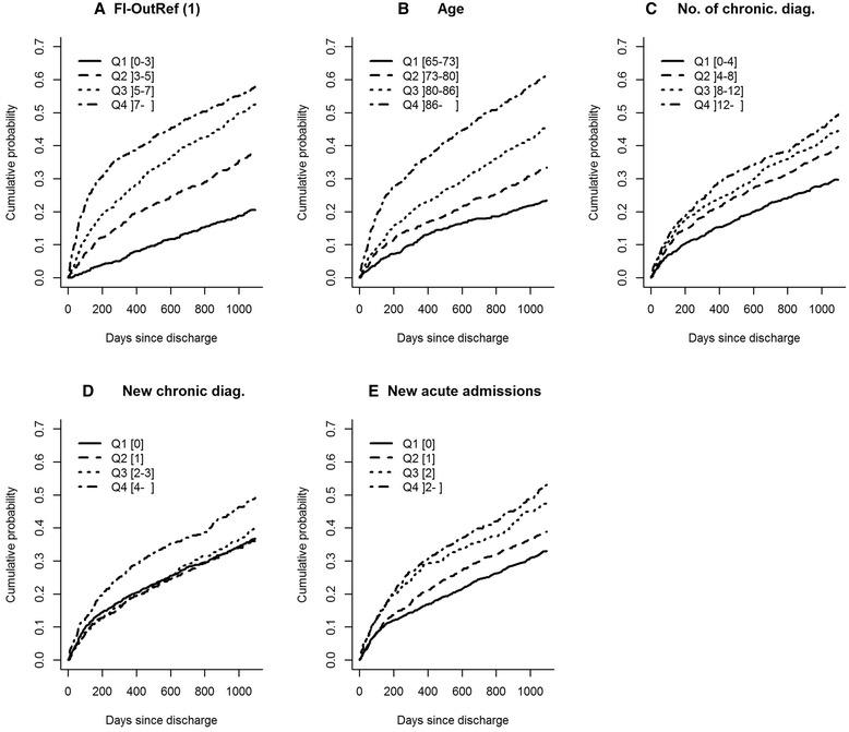
Older people have the highest incidence of acute medical admissions. Old age and acute hospital admissions are associated with a high risk of adverse health outcomes after discharge, such as reduced physical performance, readmissions and mortality. Hospitalisations in this population are often by acute admission and through the emergency department. This, along with the rapidly increasing proportion of older people, warrants the need for clinically feasible tools that can systematically assess vulnerability in older medical patients upon acute hospital admission. These are essential for prioritising treatment during hospitalisation and after discharge. Here we explore whether an abbreviated form of the FI-Lab frailty index, calculated as the number of admission laboratory test results outside of the reference interval (FI-OutRef) was associated with long term mortality among acutely admitted older medical patients. Secondly, we investigate other markers of aging (age, total number of chronic diagnoses, new chronic diagnoses, and new acute admissions) and their associations with long-term mortality.

METHODS

A cohort study of acutely admitted medical patients aged 65 or older. Survival time within a 3 years post-discharge follow up period was used as the outcome. The associations between the markers and survival time were investigated by Cox regression analyses. For analyses, all markers were grouped by quartiles.

RESULTS

A total of 4,005 patients were included. Among the 3,172 patients without a cancer diagnosis, mortality within 3 years was 39.9%. Univariate and multiple regression analyses for each marker showed that all were significantly associated with post-discharge survival. The changes between the estimates for the FI-OutRef quartiles in the univariate- and the multiple analyses were negligible. Among all the markers investigated, FI-OutRef had the highest hazard ratio of the fourth quartile versus the first quartile: 3.45 (95% CI: 2.83-s4.22, P < 0.001).

CONCLUSION

Among acutely admitted older medical patients, FI-OutRef was strongly associated with long-term mortality. This association was independent of age, sex, and number of chronic diagnoses, new chronic diagnoses, and new acute admissions. Hence FI-OutRef could be a biomarker of advancement of aging within the acute care setting.

摘要

背景

老年人急性医疗入院的发生率最高。老年和急性住院与出院后不良健康结局的高风险相关,如身体机能下降、再次入院和死亡。该人群的住院通常是急性入院且通过急诊科。这一点,连同老年人比例的迅速增加,使得需要有临床可行的工具,能够在老年内科患者急性入院时系统地评估其脆弱性。这些对于住院期间和出院后的治疗优先级确定至关重要。在此,我们探讨以超出参考区间的入院实验室检查结果数量计算的FI-Lab衰弱指数的简化形式(FI-OutRef)是否与急性入院的老年内科患者的长期死亡率相关。其次,我们研究衰老的其他标志物(年龄、慢性诊断总数、新的慢性诊断以及新的急性入院)及其与长期死亡率的关联。

方法

对65岁及以上急性入院的内科患者进行队列研究。将出院后3年随访期内的生存时间作为结局。通过Cox回归分析研究标志物与生存时间之间的关联。为进行分析,所有标志物按四分位数分组。

结果

共纳入4005例患者。在3172例无癌症诊断的患者中,3年内的死亡率为39.9%。对每个标志物的单变量和多变量回归分析表明,所有标志物均与出院后生存显著相关。单变量分析和多变量分析中FI-OutRef四分位数估计值之间的变化可忽略不计。在所有研究的标志物中,FI-OutRef在第四四分位数与第一四分位数相比时具有最高的风险比:3.45(95%CI:2.83 - 4.22,P < 0.001)。

结论

在急性入院的老年内科患者中,FI-OutRef与长期死亡率密切相关。这种关联独立于年龄、性别、慢性诊断数量、新的慢性诊断以及新的急性入院。因此,FI-OutRef可能是急性护理环境中衰老进展的生物标志物。

https://cdn.ncbi.nlm.nih.gov/pmc/blobs/415a/5333426/872bc68a3f3c/12877_2017_434_Fig1_HTML.jpg

文献AI研究员

20分钟写一篇综述,助力文献阅读效率提升50倍。

立即体验

用中文搜PubMed

大模型驱动的PubMed中文搜索引擎

马上搜索

文档翻译

学术文献翻译模型,支持多种主流文档格式。

立即体验