• 文献检索
  • 文档翻译
  • 深度研究
  • 学术资讯
  • Suppr Zotero 插件Zotero 插件
  • 邀请有礼
  • 套餐&价格
  • 历史记录
应用&插件
Suppr Zotero 插件Zotero 插件浏览器插件Mac 客户端Windows 客户端微信小程序
定价
高级版会员购买积分包购买API积分包
服务
文献检索文档翻译深度研究API 文档MCP 服务
关于我们
关于 Suppr公司介绍联系我们用户协议隐私条款
关注我们

Suppr 超能文献

核心技术专利:CN118964589B侵权必究
粤ICP备2023148730 号-1Suppr @ 2026

文献检索

告别复杂PubMed语法,用中文像聊天一样搜索,搜遍4000万医学文献。AI智能推荐,让科研检索更轻松。

立即免费搜索

文件翻译

保留排版,准确专业,支持PDF/Word/PPT等文件格式,支持 12+语言互译。

免费翻译文档

深度研究

AI帮你快速写综述,25分钟生成高质量综述,智能提取关键信息,辅助科研写作。

立即免费体验

用于回收轻、重稀土金属的半胱氨酸功能化壳聚糖磁性纳米颗粒:吸附动力学和吸附等温线

Cysteine-Functionalized Chitosan Magnetic Nano-Based Particles for the Recovery of Light and Heavy Rare Earth Metals: Uptake Kinetics and Sorption Isotherms.

作者信息

Galhoum Ahmed A, Mafhouz Mohammad G, Abdel-Rehem Sayed T, Gomaa Nabawia A, Atia Asem A, Vincent Thierry, Guibal Eric

机构信息

Ecole des mines d'Alès, Centre des Matériaux des Mines d'Alès, 6 avenue de Clavières, F-30319 Alès cedex, France.

Nuclear Materials Authority, P.O. Box 530, El-Maadi, Cairo, Egypt.

出版信息

Nanomaterials (Basel). 2015 Feb 4;5(1):154-179. doi: 10.3390/nano5010154.

DOI:10.3390/nano5010154
PMID:28347004
原文链接:https://pmc.ncbi.nlm.nih.gov/articles/PMC5312863/
Abstract

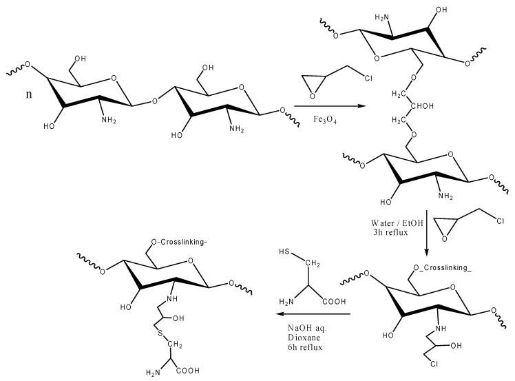
Cysteine-functionalized chitosan magnetic nano-based particles were synthesized for the sorption of light and heavy rare earth (RE) metal ions (La(III), Nd(III) and Yb(III)). The structural, surface, and magnetic properties of nano-sized sorbent were investigated by elemental analysis, FTIR, XRD, TEM and VSM (vibrating sample magnetometry). Experimental data show that the pseudo second-order rate equation fits the kinetic profiles well, while sorption isotherms are described by the Langmuir model. Thermodynamic constants (ΔG°, ΔH°) demonstrate the spontaneous and endothermic nature of sorption. Yb(III) (heavy RE) was selectively sorbed while light RE metal ions La(III) and Nd(III) were concentrated/enriched in the solution. Cationic species RE(III) in aqueous solution can be adsorbed by the combination of chelating and anion-exchange mechanisms. The sorbent can be efficiently regenerated using acidified thiourea.

摘要

合成了半胱氨酸功能化的壳聚糖磁性纳米基颗粒,用于吸附轻、重稀土(RE)金属离子(La(III)、Nd(III)和Yb(III))。通过元素分析、傅里叶变换红外光谱(FTIR)、X射线衍射(XRD)、透射电子显微镜(TEM)和振动样品磁强计(VSM)对纳米尺寸吸附剂的结构、表面和磁性进行了研究。实验数据表明,准二级速率方程能很好地拟合动力学曲线,而吸附等温线可用朗缪尔模型描述。热力学常数(ΔG°、ΔH°)表明吸附具有自发性和吸热性。Yb(III)(重稀土)被选择性吸附,而轻稀土金属离子La(III)和Nd(III)在溶液中被浓缩/富集。水溶液中的阳离子稀土物种RE(III)可通过螯合和阴离子交换机制的结合被吸附。该吸附剂可用酸化硫脲高效再生。

https://cdn.ncbi.nlm.nih.gov/pmc/blobs/0b5c/5312863/5287020b76a7/nanomaterials-05-00154-g009.jpg
https://cdn.ncbi.nlm.nih.gov/pmc/blobs/0b5c/5312863/6d2af5ad1e89/nanomaterials-05-00154-g001.jpg
https://cdn.ncbi.nlm.nih.gov/pmc/blobs/0b5c/5312863/40dcc1f11740/nanomaterials-05-00154-g002.jpg
https://cdn.ncbi.nlm.nih.gov/pmc/blobs/0b5c/5312863/af7cbd9b0433/nanomaterials-05-00154-g003.jpg
https://cdn.ncbi.nlm.nih.gov/pmc/blobs/0b5c/5312863/80e2a917de20/nanomaterials-05-00154-g004.jpg
https://cdn.ncbi.nlm.nih.gov/pmc/blobs/0b5c/5312863/e3cb81edc63e/nanomaterials-05-00154-g005.jpg
https://cdn.ncbi.nlm.nih.gov/pmc/blobs/0b5c/5312863/83f5463500bc/nanomaterials-05-00154-g006.jpg
https://cdn.ncbi.nlm.nih.gov/pmc/blobs/0b5c/5312863/3d1bceaa2c9b/nanomaterials-05-00154-g007.jpg
https://cdn.ncbi.nlm.nih.gov/pmc/blobs/0b5c/5312863/8c800005c9bd/nanomaterials-05-00154-g008.jpg
https://cdn.ncbi.nlm.nih.gov/pmc/blobs/0b5c/5312863/5287020b76a7/nanomaterials-05-00154-g009.jpg
https://cdn.ncbi.nlm.nih.gov/pmc/blobs/0b5c/5312863/6d2af5ad1e89/nanomaterials-05-00154-g001.jpg
https://cdn.ncbi.nlm.nih.gov/pmc/blobs/0b5c/5312863/40dcc1f11740/nanomaterials-05-00154-g002.jpg
https://cdn.ncbi.nlm.nih.gov/pmc/blobs/0b5c/5312863/af7cbd9b0433/nanomaterials-05-00154-g003.jpg
https://cdn.ncbi.nlm.nih.gov/pmc/blobs/0b5c/5312863/80e2a917de20/nanomaterials-05-00154-g004.jpg
https://cdn.ncbi.nlm.nih.gov/pmc/blobs/0b5c/5312863/e3cb81edc63e/nanomaterials-05-00154-g005.jpg
https://cdn.ncbi.nlm.nih.gov/pmc/blobs/0b5c/5312863/83f5463500bc/nanomaterials-05-00154-g006.jpg
https://cdn.ncbi.nlm.nih.gov/pmc/blobs/0b5c/5312863/3d1bceaa2c9b/nanomaterials-05-00154-g007.jpg
https://cdn.ncbi.nlm.nih.gov/pmc/blobs/0b5c/5312863/8c800005c9bd/nanomaterials-05-00154-g008.jpg
https://cdn.ncbi.nlm.nih.gov/pmc/blobs/0b5c/5312863/5287020b76a7/nanomaterials-05-00154-g009.jpg

相似文献

1
Cysteine-Functionalized Chitosan Magnetic Nano-Based Particles for the Recovery of Light and Heavy Rare Earth Metals: Uptake Kinetics and Sorption Isotherms.用于回收轻、重稀土金属的半胱氨酸功能化壳聚糖磁性纳米颗粒:吸附动力学和吸附等温线
Nanomaterials (Basel). 2015 Feb 4;5(1):154-179. doi: 10.3390/nano5010154.
2
Enhancement of Cerium Sorption onto Urea-Functionalized Magnetite Chitosan Microparticles by Sorbent Sulfonation-Application to Ore Leachate.尿素功能化磁铁矿壳聚糖微球对铈吸附的增强作用-用于矿石浸出液。
Molecules. 2022 Nov 4;27(21):7562. doi: 10.3390/molecules27217562.
3
Synthesis and characterization of poly(carboxymethyl)-cellulose for enhanced La(III) sorption.聚(羧甲基)纤维素的合成与表征及其对镧(III)的吸附增强作用。
Carbohydr Polym. 2017 Feb 10;157:1809-1820. doi: 10.1016/j.carbpol.2016.11.064. Epub 2016 Nov 23.
4
Sorption of Ce(III) on magnetic/olive pomace nanocomposite: isotherm, kinetic and thermodynamic studies.磁性橄榄渣纳米复合材料对 Ce(III)的吸附:等温线、动力学和热力学研究。
Environ Sci Pollut Res Int. 2021 Oct;28(40):56782-56794. doi: 10.1007/s11356-021-14662-3. Epub 2021 Jun 1.
5
Mesoporous Magnetic Cysteine Functionalized Chitosan Nanocomposite for Selective Uranyl Ions Sorption: Experimental, Structural Characterization, and Mechanistic Studies.用于选择性吸附铀酰离子的介孔磁性半胱氨酸功能化壳聚糖纳米复合材料:实验、结构表征及机理研究
Polymers (Basel). 2022 Jun 24;14(13):2568. doi: 10.3390/polym14132568.
6
Functionalization of Magnetic Chitosan Particles for the Sorption of U(VI), Cu(II) and Zn(II)-Hydrazide Derivative of Glycine-Grafted Chitosan.用于吸附U(VI)、Cu(II)和Zn(II)的甘氨酸接枝壳聚糖酰肼衍生物磁性壳聚糖颗粒的功能化
Materials (Basel). 2017 May 16;10(5):539. doi: 10.3390/ma10050539.
7
Optimization, equilibrium, kinetic, thermodynamic and desorption studies on the sorption of Cu(II) from an aqueous solution using marine green algae: Halimeda gracilis.采用海洋绿藻:扁枝藻对水溶液中 Cu(II)的吸附进行优化、平衡、动力学、热力学和解吸研究。
Ecotoxicol Environ Saf. 2015 Nov;121:199-210. doi: 10.1016/j.ecoenv.2015.03.040. Epub 2015 Apr 10.
8
Nd(III) and Gd(III) Sorption on Mesoporous Amine-Functionalized Polymer/SiO Composite.三价钕(Nd(III))和三价钆(Gd(III))在介孔胺功能化聚合物/二氧化硅复合材料上的吸附。
Molecules. 2021 Feb 17;26(4):1049. doi: 10.3390/molecules26041049.
9
One-Pot synthesis, characterization and adsorption studies of amine-functionalized magnetite nanoparticles for removal of Cr (VI) and Ni (II) ions from aqueous solution: kinetic, isotherm and thermodynamic studies.一锅法合成、表征及胺功能化磁铁矿纳米粒子对水溶液中Cr(VI)和Ni(II)离子的吸附研究:动力学、等温线及热力学研究
J Environ Health Sci Eng. 2016 Jul 26;14:11. doi: 10.1186/s40201-016-0252-0. eCollection 2016.
10
Montmorillonite surface properties and sorption characteristics for heavy metal removal from aqueous solutions.蒙脱石的表面性质及其从水溶液中去除重金属的吸附特性
J Hazard Mater. 2009 Jul 15;166(1):538-46. doi: 10.1016/j.jhazmat.2008.11.085. Epub 2008 Dec 3.

引用本文的文献

1
Enhanced Lutetium Ion Sorption from Aqueous Solutions Using Activated Ion Exchangers.使用活性离子交换剂增强从水溶液中吸附镥离子
Polymers (Basel). 2024 Jan 12;16(2):220. doi: 10.3390/polym16020220.
2
Dewatered Sludge Decorated with Nanoparticles for Alum Sludge Conditioning towards the Concept of "End-of-Waste".用于明矾污泥调理的纳米颗粒修饰脱水污泥:迈向“废物终了”概念
Nanomaterials (Basel). 2023 Nov 5;13(21):2903. doi: 10.3390/nano13212903.
3
Synthesis of fungal chitosan-polystyrene modified by nanoparticles of binary metals for the removal of heavy metals from waste aqueous media.

本文引用的文献

1
Synthesis and Characterization of Multifunctional Chitosan- MnFe₂O Nanoparticles for Magnetic Hyperthermia and Drug Delivery.用于磁热疗和药物递送的多功能壳聚糖-MnFe₂O纳米粒子的合成与表征
Materials (Basel). 2010 Jul 13;3(7):4051-4065. doi: 10.3390/ma3074051.
2
Selective uptake of rare earths from aqueous solutions by EDTA-functionalized magnetic and nonmagnetic nanoparticles.通过乙二胺四乙酸功能化的磁性和非磁性纳米颗粒从水溶液中选择性摄取稀土元素。
ACS Appl Mater Interfaces. 2014 Apr 9;6(7):4980-8. doi: 10.1021/am406027y. Epub 2014 Mar 27.
3
Application of magnetic chitosan composites for the removal of toxic metal and dyes from aqueous solutions.
二元金属纳米粒子改性真菌壳聚糖-聚苯乙烯的合成及其对废水介质中重金属的去除
RSC Adv. 2023 Oct 10;13(42):29735-29748. doi: 10.1039/d3ra04451c. eCollection 2023 Oct 4.
4
Superparamagnetic Multifunctionalized Chitosan Nanohybrids for Efficient Copper Adsorption: Comparative Performance, Stability, and Mechanism Insights.用于高效铜吸附的超顺磁性多功能壳聚糖纳米杂化物:比较性能、稳定性及机理洞察
Polymers (Basel). 2023 Feb 24;15(5):1157. doi: 10.3390/polym15051157.
5
Chitosan Nanoparticles as Potential Nano-Sorbent for Removal of Toxic Environmental Pollutants.壳聚糖纳米颗粒作为去除有毒环境污染物的潜在纳米吸附剂
Nanomaterials (Basel). 2023 Jan 21;13(3):447. doi: 10.3390/nano13030447.
6
Enhancement of Cerium Sorption onto Urea-Functionalized Magnetite Chitosan Microparticles by Sorbent Sulfonation-Application to Ore Leachate.尿素功能化磁铁矿壳聚糖微球对铈吸附的增强作用-用于矿石浸出液。
Molecules. 2022 Nov 4;27(21):7562. doi: 10.3390/molecules27217562.
7
Mesoporous Magnetic Cysteine Functionalized Chitosan Nanocomposite for Selective Uranyl Ions Sorption: Experimental, Structural Characterization, and Mechanistic Studies.用于选择性吸附铀酰离子的介孔磁性半胱氨酸功能化壳聚糖纳米复合材料:实验、结构表征及机理研究
Polymers (Basel). 2022 Jun 24;14(13):2568. doi: 10.3390/polym14132568.
8
Magnetite-based adsorbents for sequestration of radionuclides: a review.用于封存放射性核素的磁性吸附剂:综述
RSC Adv. 2018 Jan 11;8(5):2521-2540. doi: 10.1039/c7ra12299c. eCollection 2018 Jan 9.
9
Tailoring Nanoadsorbent Surfaces: Separation of Rare Earths and Late Transition Metals in Recycling of Magnet Materials.定制纳米吸附剂表面:磁体材料回收中稀土和后期过渡金属的分离
Nanomaterials (Basel). 2022 Mar 16;12(6):974. doi: 10.3390/nano12060974.
10
Fabrication, Characterization and Evaluation of an Alginate-Lignin Composite for Rare-Earth Elements Recovery.用于稀土元素回收的海藻酸钠-木质素复合材料的制备、表征及评价
Materials (Basel). 2022 Jan 26;15(3):944. doi: 10.3390/ma15030944.
磁性壳聚糖复合材料在去除水溶液中有毒金属和染料中的应用。
Adv Colloid Interface Sci. 2013 Dec;201-202:68-93. doi: 10.1016/j.cis.2013.10.002. Epub 2013 Oct 11.
4
Synthesis of ethylenediamine modified chitosan and evaluation for removal of divalent metal ions.乙二胺改性壳聚糖的合成及其对二价金属离子去除的评价。
Carbohydr Polym. 2013 Sep 12;97(2):530-6. doi: 10.1016/j.carbpol.2013.04.102. Epub 2013 May 13.
5
Mercury(II) removal with modified magnetic chitosan adsorbents.用改性磁壳聚糖吸附剂去除汞(II)。
Molecules. 2013 May 24;18(6):6193-214. doi: 10.3390/molecules18066193.
6
Recognition and enrichment specificity of Fe₃O₄ magnetic nanoparticles surface modified by chitosan and Staphylococcus aureus enterotoxins A antiserum.壳聚糖和金黄色葡萄球菌肠毒素 A 抗血清修饰的 Fe3O4 磁性纳米粒子的识别和富集特异性。
Colloids Surf B Biointerfaces. 2013 Mar 1;103:107-13. doi: 10.1016/j.colsurfb.2012.10.013. Epub 2012 Oct 23.
7
Selective solid-phase extraction of uranium by salicylideneimine-functionalized hydrothermal carbon.水杨醛亚胺功能化水热碳对铀的选择性固相萃取。
J Hazard Mater. 2012 Aug 30;229-230:321-30. doi: 10.1016/j.jhazmat.2012.06.004. Epub 2012 Jun 12.
8
Adsorption of chromium (VI) by ethylenediamine-modified cross-linked magnetic chitosan resin: isotherms, kinetics and thermodynamics.乙二胺改性交联磁性壳聚糖树脂对六价铬的吸附:等温线、动力学和热力学。
J Hazard Mater. 2011 Jan 15;185(1):306-14. doi: 10.1016/j.jhazmat.2010.09.034. Epub 2010 Sep 17.
9
Adsorption of platinum(IV) and palladium(II) from aqueous solution by magnetic cross-linking chitosan nanoparticles modified with ethylenediamine.用乙二胺改性的磁性交联壳聚糖纳米粒子从水溶液中吸附铂(IV)和钯(II)。
J Hazard Mater. 2010 Oct 15;182(1-3):518-24. doi: 10.1016/j.jhazmat.2010.06.062. Epub 2010 Jun 19.
10
Adsorption behavior of uranium(VI) and other ionic species on cross-linked chitosan resins modified with chelating moieties.铀(VI)及其他离子物种在螯合基团改性的交联壳聚糖树脂上的吸附行为
Talanta. 2009 Sep 15;79(4):1031-5. doi: 10.1016/j.talanta.2009.03.035. Epub 2009 Mar 26.