Suppr超能文献

格蕾特·斯特恩蒙太奇照片中的怪诞与情感识别:性别与年龄差异

Bizarreness and Emotion Identification in Grete Stern Photomontages: Gender and Age Disparities.

作者信息

Rosales-Lagarde Alejandra, Martínez-Alcalá Claudia Isabel, Pliego-Pastrana Patricia, Molina-Trinidad Eva María, Díaz José-Luis

机构信息

Cátedras CONACyT, Consejo Nacional de Ciencia y TecnologíaMexico City, Mexico; Área Académica de Gerontología, Universidad Autónoma del Estado de HidalgoPachuca, Mexico.

Área Académica de Gerontología, Universidad Autónoma del Estado de Hidalgo Pachuca, Mexico.

出版信息

Front Psychol. 2017 Mar 22;8:414. doi: 10.3389/fpsyg.2017.00414. eCollection 2017.

Abstract

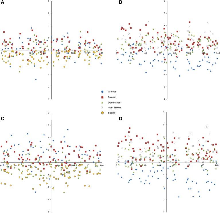
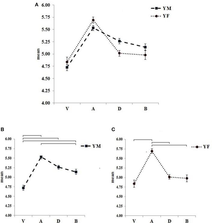
Although the International Affective Picture System (IAPS) is used to evaluate emotions (valence, arousal, and dominance evoked by a large set of photographs), bizarre images in works of art have not been assessed with the IAPS procedures. Understood here as strange, non-sense, and absurd mental contents or expressions accompanied by surprise and confusion emotions, bizarreness was assessed after healthy adult volunteers assigned this specified variable to 140 Grete Stern's photomontages overtly intended to illustrate strange, absurd, and non-sensical contents in dream reports. The images were presented to 21 Young Males (YM) and 30 Young Females (YF) who were instructed to use the IAPS Self-Assessment Manikin, along with an additional bizarre-to-normal scale, to evaluate their response to them. The valence and the bizarre-to-normal ratings showed a dissimilar pattern of distribution between genders. Ratings of scales were different, and a greater variation in scales occurred according to gender. When bizarreness was appraised, gender differences became more evident especially for YF, who rated half of the images as bizarre, and with a diminished feeling of control, while the neutral and normal images were deemed more pleased and controlled. Valence, bizarreness, and dominance formed a different component than arousal in both groups. Negative correlations between valence and dominance, and between valence and bizarreness were also found in both groups, plus a positive one for dominance and bizarreness in YF, along with curvilinear relationships among all scales. On a second experiment, 10 photomontages evaluated by YF as or as were administered to 18 Old Males (OM) and 28 Old Females (OF). OF's arousal showed less neutral evaluations than OM's. In OF the bizarre images evoked either more excitation or calmness than in OM. The distribution of the bizarre-to-normal scale was significantly different across the evaluations in YM, YF, OM, and OF. The use of this extended IAPS instrument to explore bizarreness and emotional variables in response to art images seems suitable and potentially valuable to characterize bizarre, absurd, or non-sensical mental states and their brain correlates.

摘要

尽管国际情感图片系统(IAPS)用于评估情绪(由大量照片引发的效价、唤醒和支配感),但艺术作品中的奇异图像尚未通过IAPS程序进行评估。在这里,奇异被理解为奇怪、无意义和荒谬的心理内容或表达,并伴有惊讶和困惑的情绪。在健康成年志愿者将这个特定变量分配给140幅格蕾特·施特恩的蒙太奇照片后,对奇异进行了评估,这些照片公然旨在说明梦境报告中的奇怪、荒谬和无意义的内容。这些图像展示给了21名年轻男性(YM)和30名年轻女性(YF),他们被要求使用IAPS自我评估人体模型以及一个额外的从奇异到正常的量表来评估他们对这些图像的反应。效价和从奇异到正常的评分在性别之间呈现出不同的分布模式。量表的评分不同,并且根据性别在量表上出现了更大的差异。当评估奇异时,性别差异变得更加明显,尤其是对于年轻女性来说,她们将一半的图像评为奇异,并且控制感减弱,而中性和正常的图像则被认为更令人愉悦且可控。在两组中,效价、奇异和支配形成了与唤醒不同的成分。在两组中还发现了效价与支配之间以及效价与奇异之间的负相关,此外在年轻女性中支配与奇异之间存在正相关,并且所有量表之间存在曲线关系。在第二个实验中,将10幅被年轻女性评为奇异或非常奇异的蒙太奇照片展示给了18名老年男性(OM)和28名老年女性(OF)。老年女性的唤醒表现出比老年男性更少的中性评价。在老年女性中,奇异图像比在老年男性中引发了更多的兴奋或平静。在年轻男性、年轻女性、老年男性和老年女性中,从奇异到正常量表的分布在评估中存在显著差异。使用这种扩展的IAPS工具来探索对艺术图像反应中的奇异和情绪变量,似乎适合且可能有价值来表征奇异、荒谬或无意义的心理状态及其大脑关联。

https://cdn.ncbi.nlm.nih.gov/pmc/blobs/31d5/5360721/61c980d0f0ad/fpsyg-08-00414-g0001.jpg

文献检索

告别复杂PubMed语法,用中文像聊天一样搜索,搜遍4000万医学文献。AI智能推荐,让科研检索更轻松。

立即免费搜索

文件翻译

保留排版,准确专业,支持PDF/Word/PPT等文件格式,支持 12+语言互译。

免费翻译文档

深度研究

AI帮你快速写综述,25分钟生成高质量综述,智能提取关键信息,辅助科研写作。

立即免费体验