Suppr超能文献

4 月龄与 6 月龄开始添加辅食对小于 34 孕周早产儿的影响:一项随机、开放标签、多中心试验。

Complementary feeding at 4 versus 6 months of age for preterm infants born at less than 34 weeks of gestation: a randomised, open-label, multicentre trial.

机构信息

All India Institute of Medical Sciences, Delhi, India.

All India Institute of Medical Sciences, Delhi, India.

出版信息

Lancet Glob Health. 2017 May;5(5):e501-e511. doi: 10.1016/S2214-109X(17)30074-8.

Abstract

BACKGROUND

Evidence on the optimal time to initiation of complementary feeding in preterm infants is scarce. We examined the effect of initiation of complementary feeding at 4 months versus 6 months of corrected age on weight for age at 12 months corrected age in preterm infants less than 34 weeks of gestation.

METHODS

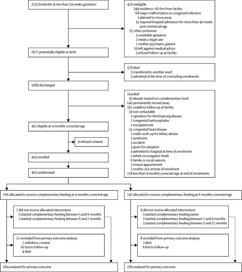
In this open-label, randomised trial, we enrolled infants born at less than 34 weeks of gestation with no major malformation from three public health facilities in India. Eligible infants were tracked from birth and randomly assigned (1:1) at 4 months corrected age to receive complementary feeding at 4 months corrected age (4 month group), or continuation of milk feeding and initiation of complementary feeding at 6 months corrected age (6 month group), using computer generated randomisation schedule of variable block size, stratified by gestation (30 weeks or less, and 31-33 weeks). Iron supplementation was provided as standard. Participants and the implementation team could not be masked to group assignment, but outcome assessors were masked. Primary outcome was weight for age Z-score at 12 months corrected age (WAZ) based on WHO Multicentre Growth Reference Study growth standards. Analyses were by intention to treat. The trial is registered with Clinical Trials Registry of India, number CTRI/2012/11/003149.

FINDINGS

Between March 20, 2013, and April 24, 2015, 403 infants were randomly assigned: 206 to receive complementary feeding from 4 months and 197 to receive complementary feeding from 6 months. 22 infants in the 4 month group (four deaths, two withdrawals, 16 lost to follow-up) and eight infants in the 6 month group (two deaths, six lost to follow-up) were excluded from analysis of primary outcome. There was no difference in WAZ between two groups: -1·6 (SD 1·2) in the 4 month group versus -1·6 (SD 1·3) in the 6 month group (mean difference 0·005, 95% CI -0·24 to 0·25; p=0·965). There were more hospital admissions in the 4 month group compared with the 6 month group: 2·5 episodes per 100 infant-months in the 4 month group versus 1·4 episodes per 100 infant-months in the 6 month group (incidence rate ratio 1·8, 95% CI 1·0-3·1, p=0·03). 34 (18%) of 188 infants in the 4 month group required hospital admission, compared with 18 (9%) of 192 infants in the 6 month group.

INTERPRETATION

Although there was no evidence of effect for the primary endpoint of WAZ, the higher rate of hospital admission in the 4 month group suggests a recommendation to initiate complementary feeding at 6 months over 4 months of corrected age in infants less than 34 weeks of gestation.

FUNDING

Indian Council of Medical Research supported the study until Nov 14, 2015. Subsequently, Shuchita Gupta's salary was supported for 2 months by an institute fellowship from All India Institute Of Medical Sciences, and a grant by Wellcome Trust thereafter.

摘要

背景

早产儿开始补充喂养的最佳时间的证据很少。我们研究了在小于 34 周胎龄的早产儿中,校正年龄 4 个月与 6 个月时开始补充喂养对校正年龄 12 个月时体重与年龄比值的影响。

方法

这是一项在印度的三个公共卫生机构进行的、针对胎龄小于 34 周且无重大畸形的婴儿的开放标签、随机试验。从出生起就对合格的婴儿进行追踪,并在校正年龄 4 个月时随机(1:1)分为两组,4 个月校正年龄时接受补充喂养(4 月龄组),或继续母乳喂养并在 6 个月校正年龄时开始补充喂养(6 月龄组),使用计算机生成的可变大小的分组随机分配方案,按胎龄(30 周或更短,31-33 周)分层。标准提供铁补充剂。参与者和实施团队不能对分组进行盲法,但结果评估者是盲法的。主要结局是基于世界卫生组织多中心生长参考研究生长标准的校正年龄 12 个月时的体重与年龄比值(WAZ)。分析采用意向治疗。该试验已在印度临床试验注册中心注册,编号为 CTRI/2012/11/003149。

结果

在 2013 年 3 月 20 日至 2015 年 4 月 24 日期间,共有 403 名婴儿被随机分配:206 名接受 4 个月龄的补充喂养,197 名接受 6 个月龄的补充喂养。4 月龄组有 22 名婴儿(4 例死亡,2 例退出,16 例失访)和 6 月龄组的 8 名婴儿(2 例死亡,6 例失访)被排除在主要结局分析之外。两组之间的 WAZ 没有差异:4 月龄组为-1.6(SD 1.2),6 月龄组为-1.6(SD 1.3)(平均差值 0.005,95%CI-0.24 至 0.25;p=0.965)。4 月龄组的住院人数明显多于 6 月龄组:4 月龄组每 100 个婴儿-月有 2.5 个住院病例,6 月龄组每 100 个婴儿-月有 1.4 个住院病例(发病率比 1.8,95%CI 1.0-3.1,p=0.03)。4 月龄组有 34 名(18%)婴儿需要住院治疗,而 6 月龄组有 18 名(9%)婴儿需要住院治疗。

解释

虽然主要结局的 WAZ 没有证据表明有效果,但 4 月龄组更高的住院率表明,建议在小于 34 周胎龄的婴儿中,校正年龄 6 个月时开始补充喂养,而不是 4 个月时开始。

经费

印度医学研究理事会在 2015 年 11 月 14 日之前支持这项研究。此后,Shuchita Gupta 的工资由全印医学科学院的研究所奖学金支持了两个月,并随后由惠康信托基金提供了一笔赠款。

https://cdn.ncbi.nlm.nih.gov/pmc/blobs/61bc/5388893/a9e11516875a/gr1.jpg

文献检索

告别复杂PubMed语法,用中文像聊天一样搜索,搜遍4000万医学文献。AI智能推荐,让科研检索更轻松。

立即免费搜索

文件翻译

保留排版,准确专业,支持PDF/Word/PPT等文件格式,支持 12+语言互译。

免费翻译文档

深度研究

AI帮你快速写综述,25分钟生成高质量综述,智能提取关键信息,辅助科研写作。

立即免费体验