• 文献检索
  • 文档翻译
  • 深度研究
  • 学术资讯
  • Suppr Zotero 插件Zotero 插件
  • 邀请有礼
  • 套餐&价格
  • 历史记录
应用&插件
Suppr Zotero 插件Zotero 插件浏览器插件Mac 客户端Windows 客户端微信小程序
定价
高级版会员购买积分包购买API积分包
服务
文献检索文档翻译深度研究API 文档MCP 服务
关于我们
关于 Suppr公司介绍联系我们用户协议隐私条款
关注我们

Suppr 超能文献

核心技术专利:CN118964589B侵权必究
粤ICP备2023148730 号-1Suppr @ 2026

文献检索

告别复杂PubMed语法,用中文像聊天一样搜索,搜遍4000万医学文献。AI智能推荐,让科研检索更轻松。

立即免费搜索

文件翻译

保留排版,准确专业,支持PDF/Word/PPT等文件格式,支持 12+语言互译。

免费翻译文档

深度研究

AI帮你快速写综述,25分钟生成高质量综述,智能提取关键信息,辅助科研写作。

立即免费体验

利用时间感知探索自闭症谱系障碍中对情绪刺激的内隐敏感性

Using Time Perception to Explore Implicit Sensitivity to Emotional Stimuli in Autism Spectrum Disorder.

作者信息

Jones Catherine R G, Lambrechts Anna, Gaigg Sebastian B

机构信息

School of Psychology, Cardiff University, Tower Building, Cardiff, CF10 3AT, UK.

Department of Psychology, City University London, Northampton Square, London, EC1V 0HB, UK.

出版信息

J Autism Dev Disord. 2017 Jul;47(7):2054-2066. doi: 10.1007/s10803-017-3120-6.

DOI:10.1007/s10803-017-3120-6
PMID:28429189
原文链接:https://pmc.ncbi.nlm.nih.gov/articles/PMC5487748/
Abstract

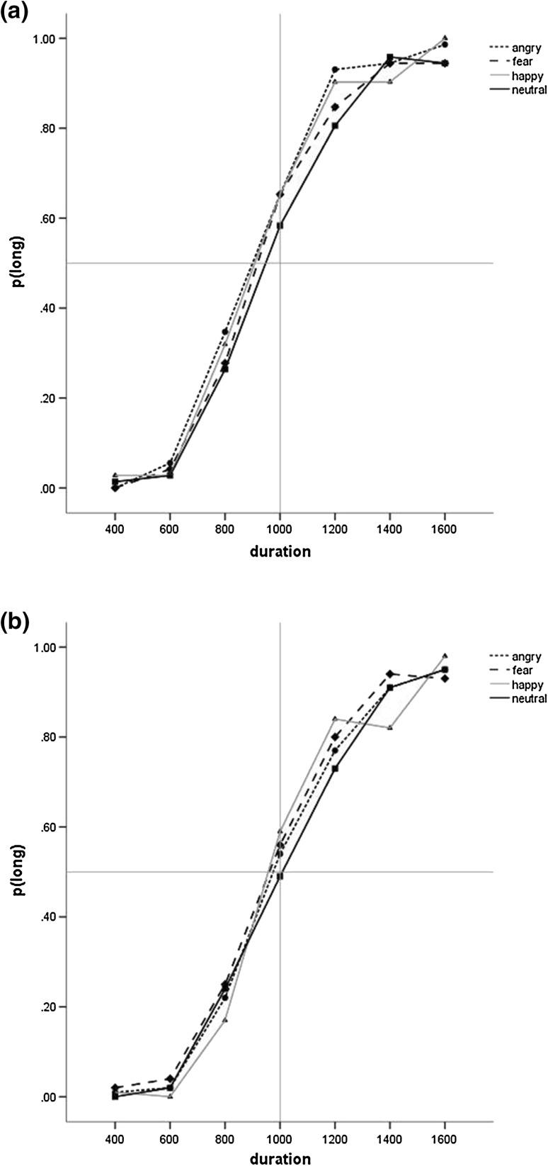
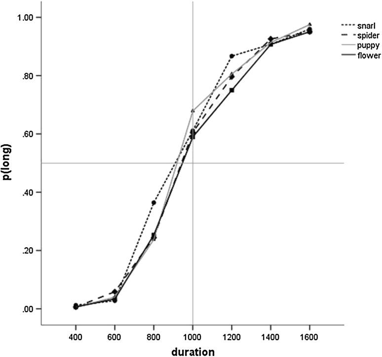
Establishing whether implicit responses to emotional cues are intact in autism spectrum disorder (ASD) is fundamental to ascertaining why their emotional understanding is compromised. We used a temporal bisection task to assess for responsiveness to face and wildlife images that varied in emotional salience. There were no significant differences between an adult ASD and comparison group, with both showing implicit overestimation of emotional stimuli. Further, there was no correlation between overestimation of emotional stimuli and autistic traits in undergraduate students. These data do not suggest a fundamental insensitivity to the arousing content of emotional images in ASD, or in individuals with a high degree of autistic traits. The findings have implications for understanding how emotional stimuli are processed in ASD.

摘要

确定自闭症谱系障碍(ASD)患者对情绪线索的内隐反应是否完整,对于弄清楚他们的情绪理解为何受损至关重要。我们使用了一个时间二分任务来评估对情绪显著性不同的面部和野生动物图像的反应能力。成年自闭症谱系障碍患者组与对照组之间没有显著差异,两组均表现出对情绪刺激的内隐高估。此外,在本科生中,对情绪刺激的高估与自闭症特征之间没有相关性。这些数据并不表明自闭症谱系障碍患者或具有高度自闭症特征的个体对情绪图像的激发内容存在根本的不敏感性。这些发现对于理解自闭症谱系障碍中情绪刺激是如何被处理具有启示意义。

https://cdn.ncbi.nlm.nih.gov/pmc/blobs/6230/5487748/cfb9851c4556/10803_2017_3120_Fig5_HTML.jpg
https://cdn.ncbi.nlm.nih.gov/pmc/blobs/6230/5487748/f64b5020a073/10803_2017_3120_Fig1_HTML.jpg
https://cdn.ncbi.nlm.nih.gov/pmc/blobs/6230/5487748/ac4be9224559/10803_2017_3120_Fig2_HTML.jpg
https://cdn.ncbi.nlm.nih.gov/pmc/blobs/6230/5487748/cacc074d3002/10803_2017_3120_Fig3_HTML.jpg
https://cdn.ncbi.nlm.nih.gov/pmc/blobs/6230/5487748/de0faf7872a3/10803_2017_3120_Fig4_HTML.jpg
https://cdn.ncbi.nlm.nih.gov/pmc/blobs/6230/5487748/cfb9851c4556/10803_2017_3120_Fig5_HTML.jpg
https://cdn.ncbi.nlm.nih.gov/pmc/blobs/6230/5487748/f64b5020a073/10803_2017_3120_Fig1_HTML.jpg
https://cdn.ncbi.nlm.nih.gov/pmc/blobs/6230/5487748/ac4be9224559/10803_2017_3120_Fig2_HTML.jpg
https://cdn.ncbi.nlm.nih.gov/pmc/blobs/6230/5487748/cacc074d3002/10803_2017_3120_Fig3_HTML.jpg
https://cdn.ncbi.nlm.nih.gov/pmc/blobs/6230/5487748/de0faf7872a3/10803_2017_3120_Fig4_HTML.jpg
https://cdn.ncbi.nlm.nih.gov/pmc/blobs/6230/5487748/cfb9851c4556/10803_2017_3120_Fig5_HTML.jpg

相似文献

1
Using Time Perception to Explore Implicit Sensitivity to Emotional Stimuli in Autism Spectrum Disorder.利用时间感知探索自闭症谱系障碍中对情绪刺激的内隐敏感性
J Autism Dev Disord. 2017 Jul;47(7):2054-2066. doi: 10.1007/s10803-017-3120-6.
2
Processing of Spontaneous Emotional Responses in Adolescents and Adults with Autism Spectrum Disorders: Effect of Stimulus Type.自闭症谱系障碍青少年和成年人的自发情绪反应处理:刺激类型的影响。
Autism Res. 2015 Oct;8(5):534-44. doi: 10.1002/aur.1468. Epub 2015 Mar 3.
3
Enhanced Early Visual Responses During Implicit Emotional Faces Processing in Autism Spectrum Disorder.自闭症谱系障碍中情绪面孔加工的早期视觉反应增强。
J Autism Dev Disord. 2019 Mar;49(3):871-886. doi: 10.1007/s10803-018-3787-3.
4
Morphing technique reveals intact perception of object motion and disturbed perception of emotional expressions by low-functioning adolescents with Autism Spectrum Disorder.变形技术揭示了患有自闭症谱系障碍的低功能青少年对物体运动的完整感知以及对情感表达的感知障碍。
Res Dev Disabil. 2015 Dec;47:393-404. doi: 10.1016/j.ridd.2015.09.025. Epub 2015 Oct 27.
5
Altered Medial Frontal and Superior Temporal Response to Implicit Processing of Emotions in Autism.自闭症患者内侧额叶和颞上回对情绪内隐加工的反应改变
Autism Res. 2016 Jan;9(1):55-66. doi: 10.1002/aur.1496. Epub 2015 May 11.
6
Autism and emotional face-viewing.自闭症与情绪面孔观察
Autism Res. 2017 May;10(5):901-910. doi: 10.1002/aur.1730. Epub 2016 Nov 28.
7
Typical integration of emotion cues from bodies and faces in Autism Spectrum Disorder.自闭症谱系障碍中来自身体和面部的情绪线索的典型整合。
Cognition. 2017 Aug;165:82-87. doi: 10.1016/j.cognition.2017.05.011. Epub 2017 May 16.
8
Differences in neural activity when processing emotional arousal and valence in autism spectrum disorders.自闭症谱系障碍中处理情绪唤醒和效价时的神经活动差异。
Hum Brain Mapp. 2016 Feb;37(2):443-61. doi: 10.1002/hbm.23041. Epub 2015 Nov 3.
9
Testing the effects of expression, intensity and age on emotional face processing in ASD.测试表达、强度和年龄对 ASD 中情绪面孔处理的影响。
Neuropsychologia. 2019 Mar 18;126:128-137. doi: 10.1016/j.neuropsychologia.2017.06.023. Epub 2017 Jun 21.
10
Transdiagnostic deviant facial recognition for implicit negative emotion in autism and schizophrenia.自闭症和精神分裂症中隐性负性情绪的跨诊断面部识别异常。
Eur Neuropsychopharmacol. 2018 Feb;28(2):264-275. doi: 10.1016/j.euroneuro.2017.12.005. Epub 2017 Dec 21.

引用本文的文献

1
Neural Mechanisms of Social Interaction Perception: Observing Interpersonal Synchrony Modulates Action Observation Network Activation and Is Spared in Autism.社会互动感知的神经机制:观察人际同步会调节动作观察网络的激活,而自闭症患者则不会受到影响。
Hum Brain Mapp. 2024 Oct 15;45(15):e70052. doi: 10.1002/hbm.70052.
2
Me, myself and you: How self-consciousness influences time perception.我、自己和你:自我意识如何影响时间感知。
Atten Percept Psychophys. 2023 Nov;85(8):2626-2636. doi: 10.3758/s13414-023-02767-5. Epub 2023 Aug 10.
3
'No idea of time': Parents report differences in autistic children's behaviour relating to time in a mixed-methods study.

本文引用的文献

1
Central tendency effects in time interval reproduction in autism.自闭症患者时间间隔再现中的集中趋势效应。
Sci Rep. 2016 Jun 28;6:28570. doi: 10.1038/srep28570.
2
Autistic Traits and Enhanced Perceptual Representation of Pitch and Time.自闭症特质与音高和时间的增强知觉表象。
J Autism Dev Disord. 2018 Apr;48(4):1350-1358. doi: 10.1007/s10803-015-2517-3.
3
Timing in turn-taking and its implications for processing models of language.轮流发言中的时间安排及其对语言处理模型的影响。
“对时间毫无概念”:在一项混合方法研究中,家长报告了自闭症儿童与时间相关的行为差异。
Autism. 2021 Aug;25(6):1797-1808. doi: 10.1177/13623613211010014. Epub 2021 Apr 30.
4
Time perception and autistic spectrum condition: A systematic review.时间感知与自闭症谱系障碍:系统综述。
Autism Res. 2019 Oct;12(10):1440-1462. doi: 10.1002/aur.2170. Epub 2019 Jul 23.
5
Neural Correlates of Duration Discrimination in Young Adults with Autism Spectrum Disorder, Attention-Deficit/Hyperactivity Disorder and Their Comorbid Presentation.患有自闭症谱系障碍、注意力缺陷多动障碍及其共病表现的年轻人持续时间辨别能力的神经关联。
Front Psychiatry. 2018 Nov 14;9:569. doi: 10.3389/fpsyt.2018.00569. eCollection 2018.
Front Psychol. 2015 Jun 12;6:731. doi: 10.3389/fpsyg.2015.00731. eCollection 2015.
4
The relationship between auditory processing and restricted, repetitive behaviors in adults with autism spectrum disorders.自闭症谱系障碍成人的听觉处理与受限的重复行为之间的关系。
J Autism Dev Disord. 2015 Mar;45(3):658-68. doi: 10.1007/s10803-014-2219-2.
5
Time reproduction performance is associated with age and working memory in high-functioning youth with autism spectrum disorder.在高功能自闭症谱系障碍青年中,时间再现表现与年龄和工作记忆相关。
Autism Res. 2015 Feb;8(1):29-37. doi: 10.1002/aur.1401. Epub 2014 Jul 30.
6
Impairments in facial affect recognition associated with autism spectrum disorders: a meta-analysis.与自闭症谱系障碍相关的面部表情识别障碍:一项荟萃分析。
Dev Psychopathol. 2014 Nov;26(4 Pt 1):933-45. doi: 10.1017/S0954579414000479. Epub 2014 Jun 10.
7
Time perception and dynamics of facial expressions of emotions.时间感知与情绪面部表情的动态变化
PLoS One. 2014 May 16;9(5):e97944. doi: 10.1371/journal.pone.0097944. eCollection 2014.
8
Time estimation among low-functioning individuals with autism spectrum disorders: evidence of poor sensitivity to variability of short durations.低功能自闭症谱系障碍个体的时间估计:对短时间变异性敏感性差的证据。
Autism Res. 2014 Apr;7(2):237-44. doi: 10.1002/aur.1364. Epub 2014 Feb 26.
9
Facial emotion modulates the neural mechanisms responsible for short interval time perception.面部表情会调节负责短间隔时间感知的神经机制。
Brain Topogr. 2015 Jan;28(1):104-12. doi: 10.1007/s10548-013-0350-6. Epub 2013 Dec 27.
10
Calculating and reporting effect sizes to facilitate cumulative science: a practical primer for t-tests and ANOVAs.计算并报告效应量以促进累积科学:t检验和方差分析实用入门指南
Front Psychol. 2013 Nov 26;4:863. doi: 10.3389/fpsyg.2013.00863.