Suppr超能文献

一种增强视听联结倾向的简单有效方法。

A simple and efficient method to enhance audiovisual binding tendencies.

作者信息

Odegaard Brian, Wozny David R, Shams Ladan

机构信息

Department of Psychology, University of California, Los Angeles, Los Angeles, CA, United States.

Department of Bioengineering, University of California, Los Angeles, Los Angeles, CA, United States.

出版信息

PeerJ. 2017 Apr 25;5:e3143. doi: 10.7717/peerj.3143. eCollection 2017.

Abstract

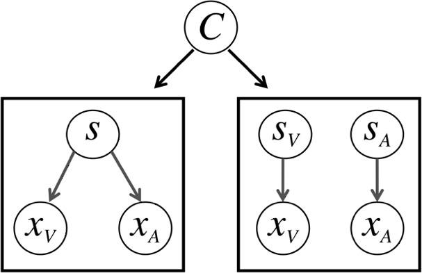
Individuals vary in their tendency to bind signals from multiple senses. For the same set of sights and sounds, one individual may frequently integrate multisensory signals and experience a unified percept, whereas another individual may rarely bind them and often experience two distinct sensations. Thus, while this binding/integration tendency is specific to each individual, it is not clear how plastic this tendency is in adulthood, and how sensory experiences may cause it to change. Here, we conducted an exploratory investigation which provides evidence that (1) the brain's tendency to bind in spatial perception is plastic, (2) that it can change following brief exposure to simple audiovisual stimuli, and (3) that exposure to temporally synchronous, spatially discrepant stimuli provides the most effective method to modify it. These results can inform current theories about how the brain updates its internal model of the surrounding sensory world, as well as future investigations seeking to increase integration tendencies.

摘要

个体在整合多种感官信号的倾向上存在差异。对于同一组视觉和听觉信息,一个人可能经常整合多感官信号并体验到统一的感知,而另一个人可能很少将它们结合起来,常常体验到两种不同的感觉。因此,虽然这种结合/整合倾向因人而异,但尚不清楚这种倾向在成年期有多具可塑性,以及感官体验如何导致其发生变化。在这里,我们进行了一项探索性研究,提供了以下证据:(1)大脑在空间感知中进行结合的倾向具有可塑性;(2)在短暂接触简单视听刺激后它会发生变化;(3)接触时间同步、空间不一致的刺激是改变这种倾向的最有效方法。这些结果可以为当前关于大脑如何更新其周围感官世界内部模型的理论提供参考,也可以为未来旨在增强整合倾向的研究提供参考。

https://cdn.ncbi.nlm.nih.gov/pmc/blobs/7ece/5407282/5030e823a0cf/peerj-05-3143-g001.jpg

文献检索

告别复杂PubMed语法,用中文像聊天一样搜索,搜遍4000万医学文献。AI智能推荐,让科研检索更轻松。

立即免费搜索

文件翻译

保留排版,准确专业,支持PDF/Word/PPT等文件格式,支持 12+语言互译。

免费翻译文档

深度研究

AI帮你快速写综述,25分钟生成高质量综述,智能提取关键信息,辅助科研写作。

立即免费体验