Suppr超能文献

8-苯乙烯基取代的珊瑚灵衍生物作为DNA结合荧光探针。

8-Styryl-substituted coralyne derivatives as DNA binding fluorescent probes.

作者信息

Pithan P M, Decker D, Druzhinin S I, Ihmels H, Schönherr H, Voß Y

机构信息

Department of Chemistry and Biology, University of Siegen, Center of Micro- and Nanochemistry and Engineering, Adolf-Reichwein-Str. 2, 57068 Siegen, Germany. Email:

出版信息

RSC Adv. 2017 Feb 8;7(18):10660-10667. doi: 10.1039/c6ra27684a.

Abstract

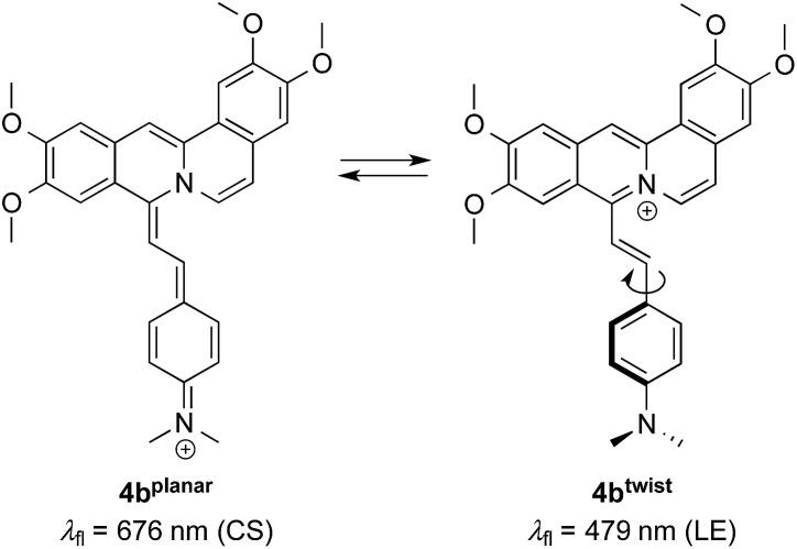
Six new 8-styryl-substituted coralyne derivatives were synthesized from coralyne () by a base catalysed Knoevenagel type reaction. It was shown by photometric and fluorimetric titrations of double stranded and quadruplex DNA to as well as by fluorimetric DNA denaturation experiments that these ligands bind to DNA with different binding modes at varying ligand-DNA ratios (LDR). Specifically, the addition of DNA caused initially a hypochromic effect in absorbance and, at a particular LDR, the development of a new red shifted absorption band with a hyperchromic effect. Furthermore, induced a significant and selective stabilization of quadruplex DNA towards unfolding (Δ = 31.6-32.9 °C at LDR = 5), which is even more pronounced as compared to the parent compound coralyne (). Most notably, the addition of DNA to the dimethylamino-substituted derivative leads to a new, strongly red-shifted emission band at 695 nm. Hence, this derivative is a fluorescent probe that changes its fluorescence colour from green to red in the presence of DNA and even allows the fluorimetric analysis of living cells by staining of the nucleoli.

摘要

通过碱催化的Knoevenagel型反应,由珊瑚碱()合成了六种新的8-苯乙烯基取代的珊瑚碱衍生物。通过对双链和四链体DNA与进行光度滴定和荧光滴定,以及荧光DNA变性实验表明,这些配体在不同的配体- DNA比例(LDR)下以不同的结合模式与DNA结合。具体而言,加入DNA最初会导致吸光度出现减色效应,并且在特定的LDR下,会出现一个新的具有增色效应的红移吸收带。此外,诱导四链体DNA对解折叠具有显著且选择性的稳定性(在LDR = 5时,Δ = 31.6 - 32.9 °C),与母体化合物珊瑚碱()相比,这种稳定性更为明显。最值得注意的是,向二甲基氨基取代的衍生物中加入DNA会在695 nm处产生一个新的、强烈红移的发射带。因此,这种衍生物是一种荧光探针,在DNA存在时其荧光颜色从绿色变为红色,甚至可以通过对核仁进行染色对活细胞进行荧光分析。

https://cdn.ncbi.nlm.nih.gov/pmc/blobs/d5f2/5361113/ae8acde62e95/c6ra27684a-s1.jpg

文献检索

告别复杂PubMed语法,用中文像聊天一样搜索,搜遍4000万医学文献。AI智能推荐,让科研检索更轻松。

立即免费搜索

文件翻译

保留排版,准确专业,支持PDF/Word/PPT等文件格式,支持 12+语言互译。

免费翻译文档

深度研究

AI帮你快速写综述,25分钟生成高质量综述,智能提取关键信息,辅助科研写作。

立即免费体验