Ashton N J, Hye A, Leckey C A, Jones A R, Gardner A, Elliott C, Wetherell J L, Lenze E J, Killick R, Marchant N L
Old Age Psychiatry, Institute of Psychiatry, Psychology and Neuroscience, Maurice Wohl Institute Clinical Neuroscience Institute, King's College London, London, UK.
NIHR Biomedical Research Centre for Mental Health and Biomedical Research Unit for Dementia at South London and Maudsley NHS Foundation, London, UK.
Transl Psychiatry. 2017 Jun 6;7(6):e1148. doi: 10.1038/tp.2017.113.
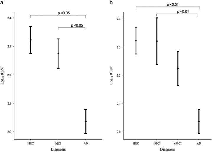
The repressor element 1-silencing transcription (REST) factor is a key regulator of the aging brain's stress response. It is reduced in conditions of stress and Alzheimer's disease (AD), which suggests that increasing REST may be neuroprotective. REST can be measured peripherally in blood plasma. Our study aimed to (1) examine plasma REST levels in relation to clinical and biological markers of neurodegeneration and (2) alter plasma REST levels through a stress-reduction intervention-mindfulness training. In study 1, REST levels were compared across the following four well-characterized groups: healthy elderly (n=65), mild cognitive impairment who remained stable (stable MCI, n=36), MCI who later converted to dementia (converter MCI, n=29) and AD (n=65) from the AddNeuroMed cohort. REST levels declined with increasing severity of risk and impairment (healthy elderly>stable MCI>converter MCI>AD, F=6.35, P<0.001). REST levels were also positively associated with magnetic resonance imaging-based hippocampal and entorhinal atrophy and other putative blood-based biomarkers of AD (Ps<0.05). In study 2, REST was measured in 81 older adults with psychiatric risk factors for AD before and after a mindfulness-based stress reduction intervention or an education-based placebo intervention. Mindfulness-based training caused an increase in REST compared with the placebo intervention (F=8.57, P=0.006), and increased REST was associated with a reduction in psychiatric symptoms associated with stress and AD risk (Ps<0.02). Our data confirm plasma REST associations with clinical severity and neurodegeneration, and originally, that REST is modifiable by a psychological intervention with clinical benefit.
阻遏元件1沉默转录(REST)因子是衰老大脑应激反应的关键调节因子。在应激和阿尔茨海默病(AD)情况下,其水平会降低,这表明增加REST可能具有神经保护作用。REST可在血浆中进行外周测量。我们的研究旨在:(1)研究血浆REST水平与神经退行性变的临床和生物学标志物之间的关系;(2)通过减压干预——正念训练来改变血浆REST水平。在研究1中,对以下四个特征明确的组的REST水平进行了比较:健康老年人(n = 65)、保持稳定的轻度认知障碍患者(稳定型MCI,n = 36)、后来转变为痴呆的MCI患者(转变型MCI,n = 29)以及来自AddNeuroMed队列的AD患者(n = 65)。REST水平随着风险和损伤严重程度的增加而下降(健康老年人>稳定型MCI>转变型MCI>AD,F = 6.35,P < 0.001)。REST水平还与基于磁共振成像的海马和内嗅区萎缩以及AD的其他假定血液生物标志物呈正相关(P < 0.05)。在研究2中,对81名有AD精神风险因素的老年人在进行基于正念减压干预或基于教育的安慰剂干预前后测量了REST。与安慰剂干预相比,基于正念的训练使REST增加(F = 8.57,P = 0.006),并且REST增加与与应激和AD风险相关的精神症状减轻有关(P < 0.02)。我们的数据证实了血浆REST与临床严重程度和神经退行性变之间的关联,并且首次表明REST可通过具有临床益处的心理干预进行调节。