• 文献检索
  • 文档翻译
  • 深度研究
  • 学术资讯
  • Suppr Zotero 插件Zotero 插件
  • 邀请有礼
  • 套餐&价格
  • 历史记录
应用&插件
Suppr Zotero 插件Zotero 插件浏览器插件Mac 客户端Windows 客户端微信小程序
定价
高级版会员购买积分包购买API积分包
服务
文献检索文档翻译深度研究API 文档MCP 服务
关于我们
关于 Suppr公司介绍联系我们用户协议隐私条款
关注我们

Suppr 超能文献

核心技术专利:CN118964589B侵权必究
粤ICP备2023148730 号-1Suppr @ 2026

文献检索

告别复杂PubMed语法,用中文像聊天一样搜索,搜遍4000万医学文献。AI智能推荐,让科研检索更轻松。

立即免费搜索

文件翻译

保留排版,准确专业,支持PDF/Word/PPT等文件格式,支持 12+语言互译。

免费翻译文档

深度研究

AI帮你快速写综述,25分钟生成高质量综述,智能提取关键信息,辅助科研写作。

立即免费体验

患者的血红蛋白浓度、总血红蛋白量和血浆容量:贫血的影响。

Hemoglobin concentration, total hemoglobin mass and plasma volume in patients: implications for anemia.

机构信息

Division of Surgery and Interventional Science, University College London, UK.

Anaesthesia and Critical Care Research Unit, University Hospital Southampton NHS Foundation Trust, Southampton, UK.

出版信息

Haematologica. 2017 Sep;102(9):1477-1485. doi: 10.3324/haematol.2017.169680. Epub 2017 Jun 8.

DOI:10.3324/haematol.2017.169680
PMID:28596281
原文链接:https://pmc.ncbi.nlm.nih.gov/articles/PMC5685237/
Abstract

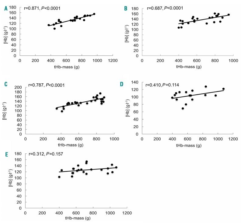
In practice, clinicians generally consider anemia (circulating hemoglobin concentration < 120 g.l in non-pregnant females and < 130 g.l in males) as due to impaired hemoglobin synthesis or increased erythrocyte loss or destruction. Rarely is a rise in plasma volume relative to circulating total hemoglobin mass considered as a cause. But does this matter? We explored this issue in patients, measuring hemoglobin concentration, total hemoglobin mass (optimized carbon monoxide rebreathing method) and thereby calculating plasma volume in healthy volunteers, surgical patients, and those with inflammatory bowel disease, chronic liver disease or heart failure. We studied 109 participants. Hemoglobin mass correlated well with its concentration in the healthy, surgical and inflammatory bowel disease groups (r=0.687-0.871, <0.001). However, they were poorly related in liver disease (r=0.410, =0.11) and heart failure patients (r=0.312, =0.16). Here, hemoglobin mass explained little of the variance in its concentration (adjusted R=0.109 and 0.052; =0.11 and 0.16), whilst plasma volume did (R change 0.724 and 0.805 in heart and liver disease respectively, <0.0001). Exemplar patients with identical (normal or raised) total hemoglobin masses were diagnosed as profoundly anemic (or not) depending on differences in plasma volume that had not been measured or even considered as a cause. The traditional inference that anemia generally reflects hemoglobin deficiency may be misleading, potentially resulting in inappropriate tests and therapeutic interventions to address 'hemoglobin deficiency' not 'plasma volume excess'. Measurement of total hemoglobin mass and plasma volume is now simple, cheap and safe, and its more routine use is advocated.

摘要

在实践中,临床医生通常将贫血(非妊娠女性循环血红蛋白浓度<120g/L,男性<130g/L)归因于血红蛋白合成受损或红细胞丢失或破坏增加。很少考虑血浆量相对于循环总血红蛋白质量的增加是一个原因。但这有关系吗?我们在健康志愿者、手术患者和患有炎症性肠病、慢性肝病或心力衰竭的患者中测量了血红蛋白浓度、总血红蛋白质量(优化的一氧化碳再呼吸法),并计算了血浆体积,从而探讨了这个问题。我们研究了 109 名参与者。血红蛋白质量与健康、手术和炎症性肠病组的浓度密切相关(r=0.687-0.871,<0.001)。然而,在肝病(r=0.410,=0.11)和心力衰竭患者中,相关性较差(r=0.312,=0.16)。在这里,血红蛋白质量解释了其浓度变化的一小部分(调整后的 R 值分别为 0.109 和 0.052;=0.11 和 0.16),而血浆体积则解释了大部分(在心脏病和肝病中 R 值分别变化 0.724 和 0.805,<0.0001)。具有相同(正常或升高)总血红蛋白质量的典型患者被诊断为严重贫血(或不贫血),这取决于未测量甚至未被视为原因的血浆体积差异。一般认为贫血通常反映血红蛋白缺乏的传统推论可能具有误导性,可能导致不适当的测试和治疗干预,以解决“血红蛋白缺乏”而不是“血浆体积过多”。目前,总血红蛋白质量和血浆体积的测量既简单、廉价又安全,提倡更常规地使用。

https://cdn.ncbi.nlm.nih.gov/pmc/blobs/298a/5685237/d05a6e2dcb64/1021477.fig5.jpg
https://cdn.ncbi.nlm.nih.gov/pmc/blobs/298a/5685237/00c97caf5249/1021477.fig1.jpg
https://cdn.ncbi.nlm.nih.gov/pmc/blobs/298a/5685237/6b878ec7d4c8/1021477.fig2.jpg
https://cdn.ncbi.nlm.nih.gov/pmc/blobs/298a/5685237/ed3f3cb0d376/1021477.fig3.jpg
https://cdn.ncbi.nlm.nih.gov/pmc/blobs/298a/5685237/806159c41e90/1021477.fig4.jpg
https://cdn.ncbi.nlm.nih.gov/pmc/blobs/298a/5685237/d05a6e2dcb64/1021477.fig5.jpg
https://cdn.ncbi.nlm.nih.gov/pmc/blobs/298a/5685237/00c97caf5249/1021477.fig1.jpg
https://cdn.ncbi.nlm.nih.gov/pmc/blobs/298a/5685237/6b878ec7d4c8/1021477.fig2.jpg
https://cdn.ncbi.nlm.nih.gov/pmc/blobs/298a/5685237/ed3f3cb0d376/1021477.fig3.jpg
https://cdn.ncbi.nlm.nih.gov/pmc/blobs/298a/5685237/806159c41e90/1021477.fig4.jpg
https://cdn.ncbi.nlm.nih.gov/pmc/blobs/298a/5685237/d05a6e2dcb64/1021477.fig5.jpg

相似文献

1
Hemoglobin concentration, total hemoglobin mass and plasma volume in patients: implications for anemia.患者的血红蛋白浓度、总血红蛋白量和血浆容量:贫血的影响。
Haematologica. 2017 Sep;102(9):1477-1485. doi: 10.3324/haematol.2017.169680. Epub 2017 Jun 8.
2
Blood volume and hemoglobin mass in long-term heart transplant recipients with and without Anemia.长期心脏移植受者中伴有和不伴有贫血者的血容量和血红蛋白量
J Cardiothorac Surg. 2021 Jun 2;16(1):159. doi: 10.1186/s13019-021-01510-1.
3
Plasma Volume Is Normal but Heterogeneously Distributed, and True Anemia Is Highly Prevalent in Patients With Stable Heart Failure.在稳定型心力衰竭患者中,血浆容量正常但分布不均,且真性贫血极为普遍。
J Card Fail. 2017 Feb;23(2):138-144. doi: 10.1016/j.cardfail.2016.08.008. Epub 2016 Aug 22.
4
Comparison of blood volume characteristics in anemic patients with low versus preserved left ventricular ejection fractions.左心室射血分数降低与保留的贫血患者血容量特征比较。
Am J Cardiol. 2008 Oct 15;102(8):1069-72. doi: 10.1016/j.amjcard.2008.05.058. Epub 2008 Jul 31.
5
Soluble TNFα receptor type I and hepcidin as determinants of development of anemia in the long-term follow-up of heart failure patients.可溶性肿瘤坏死因子受体 I 和铁调素作为心力衰竭患者长期随访中贫血发展的决定因素。
Clin Biochem. 2012 Nov;45(16-17):1455-8. doi: 10.1016/j.clinbiochem.2012.05.011. Epub 2012 May 17.
6
Differences in blood volume components between hyporesponders and responders to erythropoietin alfa: the heart failure with preserved ejection fraction (HFPEF) anemia trial.低反应者与促红细胞生成素阿尔法反应者之间的血容量成分差异:射血分数保留的心力衰竭(HFPEF)贫血试验。
J Card Fail. 2013 Oct;19(10):685-91. doi: 10.1016/j.cardfail.2013.08.508.
7
Hemoglobin Kinetics and Long-term Prognosis in Heart Failure.心力衰竭中的血红蛋白动力学与长期预后
Rev Esp Cardiol (Engl Ed). 2016 Sep;69(9):820-6. doi: 10.1016/j.rec.2016.02.028. Epub 2016 Jun 16.
8
Utility of a blood volume monitor in the management of anemia in dialysis by computing the total hemoglobin mass.通过计算总血红蛋白量,血液容量监测仪在透析患者贫血管理中的应用价值。
Hemodial Int. 2019 Oct;23(4):419-425. doi: 10.1111/hdi.12776. Epub 2019 Aug 8.
9
Obesity and hemoglobin content impact peak oxygen uptake in human heart failure.肥胖和血红蛋白含量影响心力衰竭患者的峰值摄氧量。
Eur J Prev Cardiol. 2018 Dec;25(18):1937-1946. doi: 10.1177/2047487318802695. Epub 2018 Sep 24.
10
Application of the optimized carbon monoxide rebreathing method for the measurement of total haemoglobin mass in chronic liver disease.优化一氧化碳重复呼吸法在慢性肝病患者总血红蛋白质量测量中的应用。
Physiol Rep. 2020 Mar;8(6):e14402. doi: 10.14814/phy2.14402.

引用本文的文献

1
Addressing Anemia in High-Altitude Populations: Global Impact, Prevalence, Challenges, and Potential Solutions.解决高海拔人群的贫血问题:全球影响、患病率、挑战及潜在解决方案
Am J Hematol. 2025 Sep;100(9):1590-1602. doi: 10.1002/ajh.27761. Epub 2025 Jul 2.
2
Exploring the Moderation Effects of Race on the Relationship Among Sex Hormones, Biomarkers, and Psychological Symptoms in Female Older Adults.探讨种族对老年女性性激素、生物标志物和心理症状之间关系的调节作用。
Clin Nurs Res. 2025 Jun 19:10547738251344980. doi: 10.1177/10547738251344980.
3
Assessment of hemoglobin mass and blood volumes at moderate altitude using carbon monoxide rebreathing method.

本文引用的文献

1
Hemoglobin assessment: precision and practicability evaluated in the Netherlands-the HAPPEN study.血红蛋白评估:在荷兰进行的HAPPEN研究中对其准确性和实用性的评估
Transfusion. 2016 Aug;56(8):1984-93. doi: 10.1111/trf.13546. Epub 2016 Mar 9.
2
Safety of the CO-Rebreathing Method in Patients with Coronary Artery Disease.冠状动脉疾病患者中CO再呼吸法的安全性。
Med Sci Sports Exerc. 2016 Jan;48(1):33-8. doi: 10.1249/MSS.0000000000000729.
3
Peripheral Venous Hemoglobin and Red Blood Cell Mass Mismatch in Volume Overload Systolic Heart Failure: Implications for Patient Management.
使用一氧化碳再呼吸法评估中度海拔地区的血红蛋白含量和血容量。
Medicine (Baltimore). 2025 Jun 6;104(23):e42762. doi: 10.1097/MD.0000000000042762.
4
In vitro and in vivo anticancer activity of nickel (II) tetraazamacrocyclic diperchlorate complex, [(Ni-Me[14]diene)(ClO)] against ehrlich ascites carcinoma (EAC) and MCF7 cells.高氯酸镍(II)四氮杂大环配合物[(Ni-Me[14]二烯)(ClO)]对艾氏腹水癌(EAC)和MCF7细胞的体外和体内抗癌活性
Med Oncol. 2025 May 23;42(6):218. doi: 10.1007/s12032-025-02762-w.
5
Clinical importance of distinguishing true anemia from dilutional pseudo-anemia: Consequences of a 3-year follow-up volume assessment in a heart failure patient.区分真性贫血与稀释性假性贫血的临床重要性:一名心力衰竭患者3年随访容量评估的结果
Clin Case Rep. 2024 Jun 10;12(6):e9071. doi: 10.1002/ccr3.9071. eCollection 2024 Jun.
6
Efficacy and safety of Ferrous iron on the prevention of Vascular cOgnitive impaiRment among patients with cerebral Infarction/TIA (FAVORITE): rationale and design of a multicentre randomised trial.亚铁对脑梗死/短暂性脑缺血发作患者预防血管性认知障碍的疗效和安全性(FAVORITE):一项多中心随机试验的原理与设计
Stroke Vasc Neurol. 2025 Feb 25;10(1):136-141. doi: 10.1136/svn-2023-002644.
7
The effect of chronic habitual exercise on oxygen carrying capacity and blood compartment volumes in older adults.慢性习惯性运动对老年人携氧能力和血液容量的影响。
J Appl Physiol (1985). 2024 Apr 1;136(4):984-993. doi: 10.1152/japplphysiol.00706.2023. Epub 2024 Feb 29.
8
Associations of dietary, sociodemographic, and anthropometric factors with anemia among the Zhuang ethnic adults: a cross-sectional study in Guangxi Zhuang Autonomous Region, China.壮族成年人群中饮食、社会人口学和人体测量学因素与贫血的关联:中国广西壮族自治区的一项横断面研究
BMC Public Health. 2023 Oct 6;23(1):1934. doi: 10.1186/s12889-023-16697-2.
9
Cardiopulmonary exercise testing before and after intravenous iron in preoperative patients: a prospective clinical study.术前患者静脉补铁前后的心肺运动试验:一项前瞻性临床研究。
Perioper Med (Lond). 2023 Jul 3;12(1):31. doi: 10.1186/s13741-023-00319-x.
10
Validation of a clinically applicable device for fast and accurate quantification of blood volume.验证一种临床适用的设备,用于快速准确地定量血液量。
J Clin Lab Anal. 2023 May;37(9-10):e24928. doi: 10.1002/jcla.24928. Epub 2023 Jun 18.
容量超负荷型收缩性心力衰竭患者外周静脉血红蛋白与红细胞量不匹配:对患者管理的意义
J Cardiovasc Transl Res. 2015 Oct;8(7):404-10. doi: 10.1007/s12265-015-9650-4. Epub 2015 Sep 8.
4
Anaemia predicts cardiovascular events in patients with stable coronary artery disease.贫血可预测稳定型冠状动脉疾病患者的心血管事件。
Neth Heart J. 2005 Aug;13(7-8):254-258.
5
Comparison of total haemoglobin mass measured with the optimized carbon monoxide rebreathing method across different Radiometer™ ABL-80 and OSM-3 hemoximeters.使用优化的一氧化碳重呼吸法在不同的Radiometer™ ABL-80和OSM-3血氧计上测量的总血红蛋白量的比较。
Physiol Meas. 2014 Dec;35(12):N41-9. doi: 10.1088/0967-3334/35/12/N41.
6
Global, regional, and national trends in haemoglobin concentration and prevalence of total and severe anaemia in children and pregnant and non-pregnant women for 1995-2011: a systematic analysis of population-representative data.全球、区域和国家在 1995-2011 年期间儿童和孕妇及非孕妇的血红蛋白浓度和总贫血及严重贫血患病率的趋势:人群代表性数据的系统分析。
Lancet Glob Health. 2013 Jul;1(1):e16-25. doi: 10.1016/S2214-109X(13)70001-9. Epub 2013 Jun 25.
7
Preoperative anemia increases mortality and postoperative morbidity after cardiac surgery.术前贫血会增加心脏手术后的死亡率和术后发病率。
J Cardiothorac Surg. 2014 Aug 5;9:137. doi: 10.1186/1749-8090-9-137.
8
Prevalence of anemia in inflammatory bowel diseases in european countries: a systematic review and individual patient data meta-analysis.欧洲国家炎症性肠病贫血患病率:系统评价与个体患者数据荟萃分析
Inflamm Bowel Dis. 2014 May;20(5):936-45. doi: 10.1097/01.MIB.0000442728.74340.fd.
9
Application of the optimized CO-rebreathing method for determination of hemoglobin mass in patients with polycythemia vera.优化后的一氧化碳重复呼吸法在真性红细胞增多症患者血红蛋白质量测定中的应用。
Ann Hematol. 2014 Jul;93(7):1159-65. doi: 10.1007/s00277-014-2020-5. Epub 2014 Feb 1.
10
Capillary versus venous haemoglobin determination in the assessment of healthy blood donors.评估健康献血者时的毛细血管与静脉血红蛋白测定。
Vox Sang. 2013 May;104(4):317-23. doi: 10.1111/vox.12006. Epub 2013 Jan 7.