• 文献检索
  • 文档翻译
  • 深度研究
  • 学术资讯
  • Suppr Zotero 插件Zotero 插件
  • 邀请有礼
  • 套餐&价格
  • 历史记录
应用&插件
Suppr Zotero 插件Zotero 插件浏览器插件Mac 客户端Windows 客户端微信小程序
定价
高级版会员购买积分包购买API积分包
服务
文献检索文档翻译深度研究API 文档MCP 服务
关于我们
关于 Suppr公司介绍联系我们用户协议隐私条款
关注我们

Suppr 超能文献

核心技术专利:CN118964589B侵权必究
粤ICP备2023148730 号-1Suppr @ 2026

文献检索

告别复杂PubMed语法,用中文像聊天一样搜索,搜遍4000万医学文献。AI智能推荐,让科研检索更轻松。

立即免费搜索

文件翻译

保留排版,准确专业,支持PDF/Word/PPT等文件格式,支持 12+语言互译。

免费翻译文档

深度研究

AI帮你快速写综述,25分钟生成高质量综述,智能提取关键信息,辅助科研写作。

立即免费体验

人类受试者自主神经系统节律与地磁活动的同步性。

Synchronization of Human Autonomic Nervous System Rhythms with Geomagnetic Activity in Human Subjects.

作者信息

McCraty Rollin, Atkinson Mike, Stolc Viktor, Alabdulgader Abdullah A, Vainoras Alfonsas, Ragulskis Minvydas

机构信息

HeartMath Institute, Boulder Creek, CA 95006, USA.

NASA Ames Research Center, Moffett Field, CA 94035, USA.

出版信息

Int J Environ Res Public Health. 2017 Jul 13;14(7):770. doi: 10.3390/ijerph14070770.

DOI:10.3390/ijerph14070770
PMID:28703754
原文链接:https://pmc.ncbi.nlm.nih.gov/articles/PMC5551208/
Abstract

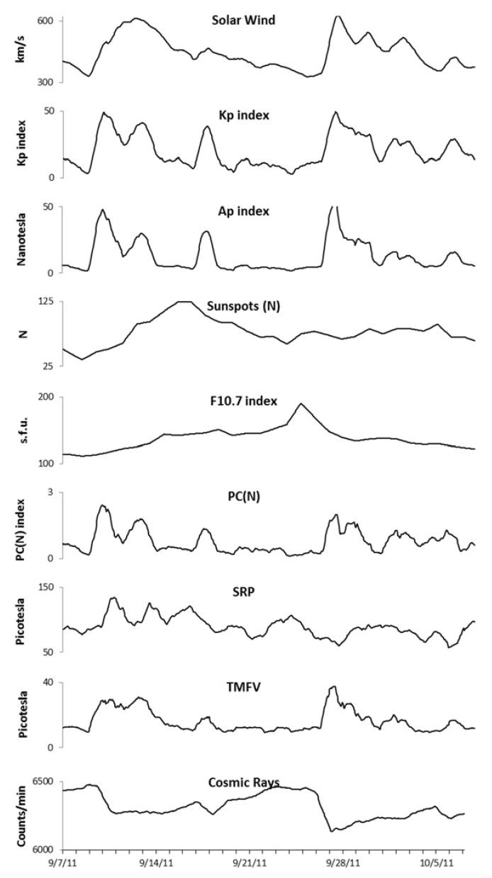
A coupling between geomagnetic activity and the human nervous system's function was identified by virtue of continuous monitoring of heart rate variability (HRV) and the time-varying geomagnetic field over a 31-day period in a group of 10 individuals who went about their normal day-to-day lives. A time series correlation analysis identified a response of the group's autonomic nervous systems to various dynamic changes in the solar, cosmic ray, and ambient magnetic field. Correlation coefficients and values were calculated between the HRV variables and environmental measures during three distinct time periods of environmental activity. There were significant correlations between the group's HRV and solar wind speed, Kp, Ap, solar radio flux, cosmic ray counts, Schumann resonance power, and the total variations in the magnetic field. In addition, the time series data were time synchronized and normalized, after which all circadian rhythms were removed. It was found that the participants' HRV rhythms synchronized across the 31-day period at a period of approximately 2.5 days, even though all participants were in separate locations. Overall, this suggests that daily autonomic nervous system activity not only responds to changes in solar and geomagnetic activity, but is synchronized with the time-varying magnetic fields associated with geomagnetic field-line resonances and Schumann resonances.

摘要

通过对10名正常生活的个体进行为期31天的心率变异性(HRV)和时变地磁场的连续监测,确定了地磁场活动与人类神经系统功能之间的耦合关系。时间序列相关性分析确定了该组自主神经系统对太阳、宇宙射线和环境磁场各种动态变化的反应。在环境活动的三个不同时间段内,计算了HRV变量与环境测量值之间的相关系数和 值。该组的HRV与太阳风速、Kp、Ap、太阳射电通量、宇宙射线计数、舒曼共振功率以及磁场的总变化之间存在显著相关性。此外,对时间序列数据进行了时间同步和归一化处理,之后去除了所有昼夜节律。结果发现,尽管所有参与者都在不同地点,但他们的HRV节律在31天内以约2.5天的周期同步。总体而言,这表明日常自主神经系统活动不仅对太阳和地磁场活动的变化做出反应,而且与与地磁场线共振和舒曼共振相关的时变磁场同步。

https://cdn.ncbi.nlm.nih.gov/pmc/blobs/f1bb/5551208/00e8866e519d/ijerph-14-00770-g006.jpg
https://cdn.ncbi.nlm.nih.gov/pmc/blobs/f1bb/5551208/42f9efe7bd33/ijerph-14-00770-g001.jpg
https://cdn.ncbi.nlm.nih.gov/pmc/blobs/f1bb/5551208/de84ff195ace/ijerph-14-00770-g002.jpg
https://cdn.ncbi.nlm.nih.gov/pmc/blobs/f1bb/5551208/51634cce689a/ijerph-14-00770-g003.jpg
https://cdn.ncbi.nlm.nih.gov/pmc/blobs/f1bb/5551208/ff978f75ffb2/ijerph-14-00770-g004.jpg
https://cdn.ncbi.nlm.nih.gov/pmc/blobs/f1bb/5551208/f13d6208166a/ijerph-14-00770-g005.jpg
https://cdn.ncbi.nlm.nih.gov/pmc/blobs/f1bb/5551208/00e8866e519d/ijerph-14-00770-g006.jpg
https://cdn.ncbi.nlm.nih.gov/pmc/blobs/f1bb/5551208/42f9efe7bd33/ijerph-14-00770-g001.jpg
https://cdn.ncbi.nlm.nih.gov/pmc/blobs/f1bb/5551208/de84ff195ace/ijerph-14-00770-g002.jpg
https://cdn.ncbi.nlm.nih.gov/pmc/blobs/f1bb/5551208/51634cce689a/ijerph-14-00770-g003.jpg
https://cdn.ncbi.nlm.nih.gov/pmc/blobs/f1bb/5551208/ff978f75ffb2/ijerph-14-00770-g004.jpg
https://cdn.ncbi.nlm.nih.gov/pmc/blobs/f1bb/5551208/f13d6208166a/ijerph-14-00770-g005.jpg
https://cdn.ncbi.nlm.nih.gov/pmc/blobs/f1bb/5551208/00e8866e519d/ijerph-14-00770-g006.jpg

相似文献

1
Synchronization of Human Autonomic Nervous System Rhythms with Geomagnetic Activity in Human Subjects.人类受试者自主神经系统节律与地磁活动的同步性。
Int J Environ Res Public Health. 2017 Jul 13;14(7):770. doi: 10.3390/ijerph14070770.
2
Long-Term Study of Heart Rate Variability Responses to Changes in the Solar and Geomagnetic Environment.长期研究心率变异性对太阳和地磁环境变化的反应。
Sci Rep. 2018 Feb 8;8(1):2663. doi: 10.1038/s41598-018-20932-x.
3
Alternating light-darkness-influenced human electrocardiographic magnetoreception in association with geomagnetic pulsations.明暗交替与地磁脉动相关联对人类心电图磁感受的影响。
Biomed Pharmacother. 2001;55 Suppl 1:63s-75s. doi: 10.1016/s0753-3322(01)90007-1.
4
Exploring the relationship between geomagnetic activity and human heart rate variability.探讨地磁活动与人心率变异性之间的关系。
Eur J Appl Physiol. 2020 Jun;120(6):1371-1381. doi: 10.1007/s00421-020-04369-7. Epub 2020 Apr 18.
5
Graded response of heart rate variability, associated with an alteration of geomagnetic activity in a subarctic area.心率变异性的分级反应,与亚北极地区地磁活动的变化有关。
Biomed Pharmacother. 2002;56 Suppl 2:284s-288s. doi: 10.1016/s0753-3322(02)00303-7.
6
Regulation of autonomic nervous system in space and magnetic storms.空间与磁暴中自主神经系统的调节
Adv Space Res. 1998;22(2):227-34. doi: 10.1016/s0273-1177(98)80014-8.
7
The global coherence initiative: creating a coherent planetary standing wave.全球连贯倡议:创造一个连贯的行星驻波。
Glob Adv Health Med. 2012 Mar;1(1):64-77. doi: 10.7453/gahmj.2012.1.1.013.
8
Influence of dietary behavior on the circadian rhythm of the autonomic nervous system as assessed by heart rate variability.饮食行为对自主神经系统昼夜节律的影响评估:心率变异性。
Physiol Behav. 2013 Jun 13;118:122-8. doi: 10.1016/j.physbeh.2013.05.010. Epub 2013 May 14.
9
Rhythms in the central nervous system and 1/f fluctuations of the heart rate.中枢神经系统的节律与心率的1/f波动。
Front Med Biol Eng. 1994;6(2):117-30.
10
Cardiac autonomic modulation and sleepiness: physiological consequences of sleep deprivation due to 40 h of prolonged wakefulness.心脏自主神经调制与嗜睡:40小时持续清醒导致睡眠剥夺的生理后果
Physiol Behav. 2014 Feb 10;125:45-53. doi: 10.1016/j.physbeh.2013.11.011. Epub 2013 Nov 27.

引用本文的文献

1
Detection and Analysis of Circadian Biomarkers for Metabolic Syndrome Using Wearable Data: Cross-Sectional Study.利用可穿戴数据检测和分析代谢综合征的昼夜生物标志物:横断面研究
JMIR Med Inform. 2025 Jul 16;13:e69328. doi: 10.2196/69328.
2
Correlation between Rhythmic Changes in Body Temperature of Small Passerine Birds (Chloris chloris) and Nontidal Gravity Fluctuation in a 12- to 30-min Period Range.小型雀形目鸟类(绿雀)体温的节律变化与12至30分钟时间段内非潮汐重力波动之间的相关性。
Dokl Biol Sci. 2025 Jun 2. doi: 10.1134/S0012496625600101.
3
Impact of a Generated Magnetic Field at the Schumann Resonance Frequency on Skin Blood Perfusion and Peripheral Pulse Amplitudes.

本文引用的文献

1
Long-Term Study of Heart Rate Variability Responses to Changes in the Solar and Geomagnetic Environment.长期研究心率变异性对太阳和地磁环境变化的反应。
Sci Rep. 2018 Feb 8;8(1):2663. doi: 10.1038/s41598-018-20932-x.
2
Similar Spectral Power Densities Within the Schumann Resonance and a Large Population of Quantitative Electroencephalographic Profiles: Supportive Evidence for Koenig and Pobachenko.舒曼共振内相似的频谱功率密度与大量定量脑电图图谱:对柯尼希和波巴琴科的支持性证据。
PLoS One. 2016 Jan 19;11(1):e0146595. doi: 10.1371/journal.pone.0146595. eCollection 2016.
3
Annual incidence of mortality related to hypertensive disease in Canada and associations with heliophysical parameters.
舒曼共振频率下产生的磁场对皮肤血液灌注和外周脉搏振幅的影响。
Cureus. 2025 Apr 29;17(4):e83182. doi: 10.7759/cureus.83182. eCollection 2025 Apr.
4
Potential influence of geomagnetic activity on blood pressure statistical fluctuations at mid-magnetic latitudes.地磁活动对中磁纬度地区血压统计波动的潜在影响。
Commun Med (Lond). 2025 Apr 28;5(1):143. doi: 10.1038/s43856-025-00822-w.
5
Effects of light, electromagnetic fields and water on biological rhythms.光、电磁场和水对生物节律的影响。
Biomed J. 2024 Dec 12;48(3):100824. doi: 10.1016/j.bj.2024.100824.
6
Global study of long term heart rhythm synchronization in groups.全球范围内对群组的长期心脏节律同步性进行的研究。
Sci Rep. 2024 Nov 19;14(1):28627. doi: 10.1038/s41598-024-79264-8.
7
Space Travel: The Radiation and Microgravity Effects on the Cardiovascular System.太空旅行:心血管系统的辐射和微重力影响。
Int J Mol Sci. 2024 Nov 3;25(21):11812. doi: 10.3390/ijms252111812.
8
Association between Ultradian Rhythms of Body Temperature in Small Mammals and Earth's Crust Stress.小哺乳动物体温超日节律与地壳应力的关系。
Bull Exp Biol Med. 2024 May;177(1):104-108. doi: 10.1007/s10517-024-06140-w. Epub 2024 Jul 4.
9
Validation of the Awareness Atlas-a new measure of the manifestation of consciousness.意识图谱的验证——一种意识表现的新测量方法。
Front Psychol. 2024 Mar 21;15:1283980. doi: 10.3389/fpsyg.2024.1283980. eCollection 2024.
10
Effect of Heliogeophysical and Atmospheric Factors on the Degree of Synchronization of Ultradian Rhythms of Body Temperature in Mice.地磁、大气因素对小鼠体温超日周期节律同步化程度的影响。
Bull Exp Biol Med. 2023 Jul;175(3):382-387. doi: 10.1007/s10517-023-05872-5. Epub 2023 Aug 10.
加拿大高血压疾病相关死亡率的年发病率及其与日地物理参数的关联。
Int J Biometeorol. 2016 Jan;60(1):9-20. doi: 10.1007/s00484-015-1000-3. Epub 2015 Apr 26.
4
Heart Rate Variability: New Perspectives on Physiological Mechanisms, Assessment of Self-regulatory Capacity, and Health risk.心率变异性:生理机制、自我调节能力评估及健康风险的新视角
Glob Adv Health Med. 2015 Jan;4(1):46-61. doi: 10.7453/gahmj.2014.073.
5
Cardiac coherence, self-regulation, autonomic stability, and psychosocial well-being.心脏协调、自我调节、自主稳定和心理社会健康。
Front Psychol. 2014 Sep 29;5:1090. doi: 10.3389/fpsyg.2014.01090. eCollection 2014.
6
A healthy heart is not a metronome: an integrative review of the heart's anatomy and heart rate variability.健康的心脏不是节拍器:对心脏解剖结构和心率变异性的综合综述。
Front Psychol. 2014 Sep 30;5:1040. doi: 10.3389/fpsyg.2014.01040. eCollection 2014.
7
The global coherence initiative: creating a coherent planetary standing wave.全球连贯倡议:创造一个连贯的行星驻波。
Glob Adv Health Med. 2012 Mar;1(1):64-77. doi: 10.7453/gahmj.2012.1.1.013.
8
Cardiac vagal tone is associated with social engagement and self-regulation.心脏迷走神经张力与社会参与和自我调节有关。
Biol Psychol. 2013 May;93(2):279-86. doi: 10.1016/j.biopsycho.2013.02.013. Epub 2013 Mar 1.
9
Association between sense of coherence and heart rate variability in healthy subjects.健康受试者的综合感知与心率变异性的关系。
Environ Health Prev Med. 2004 Nov;9(6):272-4. doi: 10.1007/BF02898142.
10
Cardiac coherence and posttraumatic stress disorder in combat veterans.参战退伍军人的心脏相干性与创伤后应激障碍
Altern Ther Health Med. 2010 Jul-Aug;16(4):52-60.