Suppr超能文献

用于识别中国人群中超声诊断的脂肪性肝病的非侵入性预测模型的外部验证

External validation of non-invasive prediction models for identifying ultrasonography-diagnosed fatty liver disease in a Chinese population.

作者信息

Shen Ya-Nan, Yu Ming-Xing, Gao Qian, Li Yan-Yan, Huang Jian-Jun, Sun Chen-Ming, Qiao Nan, Zhang Hai-Xia, Wang Hui, Lu Qing, Wang Tong

机构信息

Department of Health Statistics, School of Public Health, Shanxi Medical University, Taiyuan Department of Neurosurgery, General Hospital of Datong Coal Mining Group, Datong, China Department of Epidemiology and Biostatistics, Michigan State University, East Lansing, Michigan.

出版信息

Medicine (Baltimore). 2017 Jul;96(30):e7610. doi: 10.1097/MD.0000000000007610.

Abstract

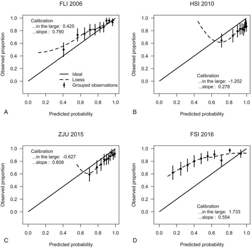
Several prediction models for fatty liver disease (FLD) are available with limited externally validation and less comprehensive evaluation. The aim was to perform external validation and direct comparison of 4 prediction models (the Fatty Liver Index, the Hepatic Steatosis Index, the ZJU index, and the Framingham Steatosis Index) for FLD both in the overall population and the obese subpopulation.This cross-sectional study included 4247 subjects aged 20 to 65 years recruited from the north of Shanxi Province in China. Anthropometric and biochemical features were collected using standard protocols. FLD was diagnosed by liver ultrasonography. We assessed all models in terms of discrimination, calibration, and decision curve analysis.The original models performed well in terms of discrimination for the overall population, with the area under the receiver operating characteristic curves (AUCs) around 0.85, while AUCs for obese individuals were around 0.68. Nevertheless, the predicted risks did not match well with the observed risks both in the overall population and the obese subpopulation. The FLI 2006 was 1 of the 2 best models in terms of discrimination (AUCs were 0.87 and 0.72 for the overall population and the obese subgroup, respectively) and had the best performance in terms of calibration, and attained the highest net benefit.The FLI 2006 is overall the best tool to identify high risk individuals and has great clinical utility. Nonetheless, it does not perform well enough to quantify the actual risk of FLD, which need to be (re)calibrated for clinical use.

摘要

目前有几种针对脂肪肝疾病(FLD)的预测模型,但外部验证有限且评估不够全面。目的是在总体人群和肥胖亚组中对4种FLD预测模型(脂肪肝指数、肝脂肪变性指数、浙江大学指数和弗雷明汉姆脂肪变性指数)进行外部验证和直接比较。

这项横断面研究纳入了从中国山西省北部招募的4247名年龄在20至65岁之间的受试者。使用标准方案收集人体测量和生化特征。通过肝脏超声诊断FLD。我们从区分度、校准度和决策曲线分析方面评估了所有模型。

原始模型在总体人群的区分度方面表现良好,受试者工作特征曲线(AUC)下面积约为0.85,而肥胖个体的AUC约为0.68。然而,在总体人群和肥胖亚组中,预测风险与观察到的风险均不太匹配。就区分度而言,FLI 2006是2个最佳模型之一(总体人群和肥胖亚组的AUC分别为0.87和0.72),在校准度方面表现最佳,净效益最高。

总体而言,FLI 2006是识别高危个体的最佳工具,具有很大的临床实用性。尽管如此,它在量化FLD实际风险方面表现不够理想,需要(重新)校准以供临床使用。

https://cdn.ncbi.nlm.nih.gov/pmc/blobs/fcc9/5627840/605ab98e800d/medi-96-e7610-g005.jpg

文献AI研究员

20分钟写一篇综述,助力文献阅读效率提升50倍。

立即体验

用中文搜PubMed

大模型驱动的PubMed中文搜索引擎

马上搜索

文档翻译

学术文献翻译模型,支持多种主流文档格式。

立即体验