Suppr超能文献

清热祛湿方对特应性皮炎的抗炎活性评价:抑制IL-33/ST2信号转导的潜在机制

Evaluation of Anti-Inflammatory Activities of Qingre-Qushi Recipe (QRQS) against Atopic Dermatitis: Potential Mechanism of Inhibition of IL-33/ST2 Signal Transduction.

作者信息

Chen Mengjiao, Ding Peijun, Yang Lili, He Xufeng, Gao Chunjie, Yang Guoxun, Zhang Huimin

机构信息

Department of Dermatology, Shuguang Hospital Affiliated to Shanghai University of Traditional Chinese Medicine, Shanghai 200000, China.

School of Pharmacy, Fudan University, Shanghai 200000, China.

出版信息

Evid Based Complement Alternat Med. 2017;2017:2489842. doi: 10.1155/2017/2489842. Epub 2017 Jul 2.

Abstract

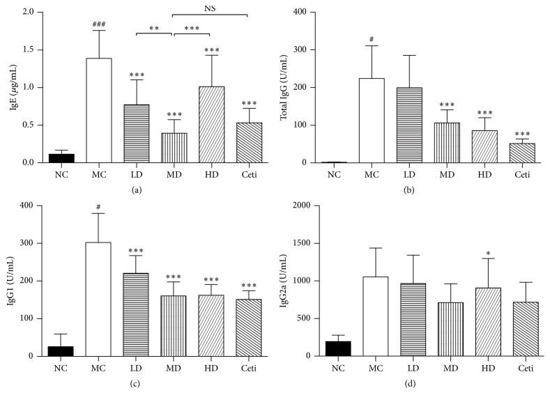
To evaluate the anti-inflammatory activities of QRQS against AD and the inhibitory molecular mechanisms of IL-33/ST2 signal transduction, BALB/c mice were divided into six groups (normal control, OVA control, low-dose of QRQS, middle-dose of QRQS, high-dose of QRQS, and cetirizine) and epicutaneously exposed to ovalbumin or PBS for 3 weeks and treated with QRQS for 2 weeks. Skin biopsies and blood samples were obtained for histological study, antibody analysis, and RNA isolation. HaCaT cells, stimulated by TNF- and IFN-, were treated with QRQS to evaluate mRNA and protein expression by RT-PCR and ELISA. QRQS decreased both epidermal and dermal thickness, alleviated dermatitis, and reduced IL-33 and ST2 positive cell numbers. The concentration of specific IgE, IgG, IgG1, and IgG2a antibodies in serum and the expression of IL-33, ST2, IL-1RAcP, IL-4, and IL-13 mRNA in the skin were suppressed. No significant difference exists in TNF- or IFN-. QRQS decreased IL-33 mRNA and protein secretion in HaCaT cells exposed to TNF- and IFN- in a time- and concentration-dependent manner. QRQS regulates related molecule expression of ovalbumin-induced dermatitis involved in the IL-33/ST2 signaling axis in the treatment of acute AD.

摘要

为了评估清热祛湿散(QRQS)对过敏性皮炎(AD)的抗炎活性以及白细胞介素-33(IL-33)/ST2信号转导的抑制分子机制,将BALB/c小鼠分为六组(正常对照组、卵清蛋白(OVA)对照组、低剂量QRQS组、中剂量QRQS组、高剂量QRQS组和西替利嗪组),经皮暴露于卵清蛋白或磷酸盐缓冲液(PBS)3周,并用QRQS治疗2周。获取皮肤活检组织和血液样本用于组织学研究、抗体分析和RNA分离。用肿瘤坏死因子(TNF)和干扰素(IFN)刺激人永生化角质形成细胞(HaCaT细胞),并用QRQS处理,通过逆转录聚合酶链反应(RT-PCR)和酶联免疫吸附测定(ELISA)评估mRNA和蛋白质表达。QRQS降低了表皮和真皮厚度,减轻了皮炎,并减少了IL-33和ST2阳性细胞数量。血清中特异性免疫球蛋白E(IgE)、免疫球蛋白G(IgG)、IgG1和IgG2a抗体的浓度以及皮肤中IL-33、ST2、白细胞介素-1受体辅助蛋白(IL-1RAcP)、白细胞介素-4(IL-4)和白细胞介素-13(IL-13)mRNA的表达均受到抑制。TNF或IFN无显著差异。QRQS以时间和浓度依赖性方式降低了暴露于TNF和IFN的HaCaT细胞中IL-33 mRNA和蛋白质的分泌。在急性AD的治疗中,QRQS调节了参与IL-33/ST2信号轴的卵清蛋白诱导性皮炎的相关分子表达。

https://cdn.ncbi.nlm.nih.gov/pmc/blobs/da9b/5511684/1d14439f1612/ECAM2017-2489842.001.jpg

文献AI研究员

20分钟写一篇综述,助力文献阅读效率提升50倍。

立即体验

用中文搜PubMed

大模型驱动的PubMed中文搜索引擎

马上搜索

文档翻译

学术文献翻译模型,支持多种主流文档格式。

立即体验