• 文献检索
  • 文档翻译
  • 深度研究
  • 学术资讯
  • Suppr Zotero 插件Zotero 插件
  • 邀请有礼
  • 套餐&价格
  • 历史记录
应用&插件
Suppr Zotero 插件Zotero 插件浏览器插件Mac 客户端Windows 客户端微信小程序
定价
高级版会员购买积分包购买API积分包
服务
文献检索文档翻译深度研究API 文档MCP 服务
关于我们
关于 Suppr公司介绍联系我们用户协议隐私条款
关注我们

Suppr 超能文献

核心技术专利:CN118964589B侵权必究
粤ICP备2023148730 号-1Suppr @ 2026

文献检索

告别复杂PubMed语法,用中文像聊天一样搜索,搜遍4000万医学文献。AI智能推荐,让科研检索更轻松。

立即免费搜索

文件翻译

保留排版,准确专业,支持PDF/Word/PPT等文件格式,支持 12+语言互译。

免费翻译文档

深度研究

AI帮你快速写综述,25分钟生成高质量综述,智能提取关键信息,辅助科研写作。

立即免费体验

趋化因子(CCL3、CCL4 和 CCL5)抑制单核细胞中 ATP 诱导的 IL-1 释放。

Chemokines (CCL3, CCL4, and CCL5) Inhibit ATP-Induced Release of IL-1 by Monocytic Cells.

机构信息

Laboratory of Experimental Surgery, Department of General and Thoracic Surgery, Justus-Liebig-University Giessen, Giessen, Germany.

Department of Biochemistry, Faculty of Medicine, Universities of Giessen and Marburg Lung Center, Giessen, Germany.

出版信息

Mediators Inflamm. 2017;2017:1434872. doi: 10.1155/2017/1434872. Epub 2017 Jul 5.

DOI:10.1155/2017/1434872
PMID:28757683
原文链接:https://pmc.ncbi.nlm.nih.gov/articles/PMC5516742/
Abstract

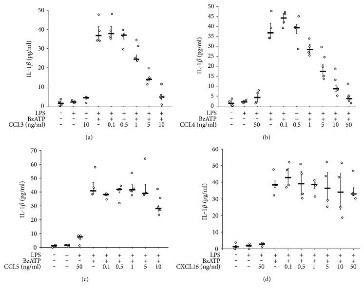
Chemokines and ATP are among the mediators of inflammatory sites that can enter the circulation via damaged blood vessels. The main function of chemokines is leukocyte mobilization, and ATP typically triggers inflammasome assembly. IL-1, a potent inflammasome-dependent cytokine of innate immunity, is essential for pathogen defense. However, excessive IL-1 may cause life-threatening systemic inflammation. Here, we hypothesize that chemokines control ATP-dependent secretion of monocytic IL-1. Lipopolysaccharide-primed human monocytic U937 cells were stimulated with the P2X7 agonist BzATP for 30 min to induce IL-1 release. CCL3, CCL4, and CCL5 dose dependently inhibited BzATP-stimulated release of IL-1, whereas CXCL16 was ineffective. The effect of CCL3 was confirmed for primary mononuclear leukocytes. It was blunted after silencing CCR1 or calcium-independent phospholipase A2 (iPLA2) by siRNA and was sensitive to antagonists of nicotinic acetylcholine receptors containing subunits 7 and 9. U937 cells secreted small factors in response to CCL3 that mediated the inhibition of IL-1 release. We suggest that CCL chemokines inhibit ATP-induced release of IL-1 from U937 cells by a triple-membrane-passing mechanism involving CCR, iPLA2, release of small mediators, and nicotinic acetylcholine receptor subunits 7 and 9. We speculate that whenever chemokines and ATP enter the circulation concomitantly, systemic release of IL-1 is minimized.

摘要

趋化因子和 ATP 是炎症部位的介质之一,它们可以通过受损的血管进入循环系统。趋化因子的主要功能是动员白细胞,而 ATP 通常会引发炎症小体的组装。IL-1 是先天免疫中一种有效的炎症小体依赖性细胞因子,对病原体防御至关重要。然而,过量的 IL-1 可能会导致危及生命的全身炎症。在这里,我们假设趋化因子控制着单核细胞 IL-1 的 ATP 依赖性分泌。用 P2X7 激动剂 BzATP 刺激脂多糖预刺激的人单核细胞 U937 细胞 30 分钟,以诱导 IL-1 释放。CCL3、CCL4 和 CCL5 呈剂量依赖性抑制 BzATP 刺激的 IL-1 释放,而 CXCL16 则无效。CCL3 的作用在原代单核细胞中得到了证实。用 siRNA 沉默 CCR1 或钙非依赖性磷脂酶 A2(iPLA2)后,其作用减弱,并且对含有亚基 7 和 9 的烟碱型乙酰胆碱受体拮抗剂敏感。U937 细胞分泌小因子以响应 CCL3,介导 IL-1 释放的抑制。我们认为,CCL 趋化因子通过涉及 CCR、iPLA2、小介质释放和烟碱型乙酰胆碱受体亚基 7 和 9 的三重膜传递机制抑制 U937 细胞中 ATP 诱导的 IL-1 释放。我们推测,只要趋化因子和 ATP 同时进入循环系统,全身释放的 IL-1 就会最小化。

https://cdn.ncbi.nlm.nih.gov/pmc/blobs/7f3c/5516742/21dbcae46486/MI2017-1434872.007.jpg
https://cdn.ncbi.nlm.nih.gov/pmc/blobs/7f3c/5516742/fdc01cc34283/MI2017-1434872.001.jpg
https://cdn.ncbi.nlm.nih.gov/pmc/blobs/7f3c/5516742/f8e956c0b610/MI2017-1434872.002.jpg
https://cdn.ncbi.nlm.nih.gov/pmc/blobs/7f3c/5516742/7acc39c77144/MI2017-1434872.003.jpg
https://cdn.ncbi.nlm.nih.gov/pmc/blobs/7f3c/5516742/a67d910fe657/MI2017-1434872.004.jpg
https://cdn.ncbi.nlm.nih.gov/pmc/blobs/7f3c/5516742/6f79571be68e/MI2017-1434872.005.jpg
https://cdn.ncbi.nlm.nih.gov/pmc/blobs/7f3c/5516742/96d3125eb044/MI2017-1434872.006.jpg
https://cdn.ncbi.nlm.nih.gov/pmc/blobs/7f3c/5516742/21dbcae46486/MI2017-1434872.007.jpg
https://cdn.ncbi.nlm.nih.gov/pmc/blobs/7f3c/5516742/fdc01cc34283/MI2017-1434872.001.jpg
https://cdn.ncbi.nlm.nih.gov/pmc/blobs/7f3c/5516742/f8e956c0b610/MI2017-1434872.002.jpg
https://cdn.ncbi.nlm.nih.gov/pmc/blobs/7f3c/5516742/7acc39c77144/MI2017-1434872.003.jpg
https://cdn.ncbi.nlm.nih.gov/pmc/blobs/7f3c/5516742/a67d910fe657/MI2017-1434872.004.jpg
https://cdn.ncbi.nlm.nih.gov/pmc/blobs/7f3c/5516742/6f79571be68e/MI2017-1434872.005.jpg
https://cdn.ncbi.nlm.nih.gov/pmc/blobs/7f3c/5516742/96d3125eb044/MI2017-1434872.006.jpg
https://cdn.ncbi.nlm.nih.gov/pmc/blobs/7f3c/5516742/21dbcae46486/MI2017-1434872.007.jpg

相似文献

1
Chemokines (CCL3, CCL4, and CCL5) Inhibit ATP-Induced Release of IL-1 by Monocytic Cells.趋化因子(CCL3、CCL4 和 CCL5)抑制单核细胞中 ATP 诱导的 IL-1 释放。
Mediators Inflamm. 2017;2017:1434872. doi: 10.1155/2017/1434872. Epub 2017 Jul 5.
2
β-Nicotinamide Adenine Dinucleotide (β-NAD) Inhibits ATP-Dependent IL-1β Release from Human Monocytic Cells.β-烟酰胺腺嘌呤二核苷酸(β-NAD)抑制人单核细胞中 ATP 依赖性白介素-1β的释放。
Int J Mol Sci. 2018 Apr 10;19(4):1126. doi: 10.3390/ijms19041126.
3
SLPI Inhibits ATP-Mediated Maturation of IL-1β in Human Monocytic Leukocytes: A Novel Function of an Old Player.SLPI 抑制人单核白血病细胞中 ATP 介导的 IL-1β成熟:旧分子的新功能。
Front Immunol. 2019 Apr 4;10:664. doi: 10.3389/fimmu.2019.00664. eCollection 2019.
4
Phosphocholine-Modified Macromolecules and Canonical Nicotinic Agonists Inhibit ATP-Induced IL-1β Release.磷酸胆碱修饰的大分子与经典烟碱激动剂可抑制ATP诱导的IL-1β释放。
J Immunol. 2015 Sep 1;195(5):2325-34. doi: 10.4049/jimmunol.1400974. Epub 2015 Jul 22.
5
Surfactant inhibits ATP-induced release of interleukin-1β via nicotinic acetylcholine receptors.表面活性剂通过烟碱型乙酰胆碱受体抑制ATP诱导的白细胞介素-1β释放。
J Lipid Res. 2017 Jun;58(6):1055-1066. doi: 10.1194/jlr.M071506. Epub 2017 Apr 12.
6
Activation of endothelial NO synthase and P2X7 receptor modification mediates the cholinergic control of ATP-induced interleukin-1β release by mononuclear phagocytes.内皮型一氧化氮合酶的激活和 P2X7 受体的修饰介导了胆碱能神经对单核吞噬细胞中 ATP 诱导的白细胞介素-1β释放的控制作用。
Front Immunol. 2023 Mar 9;14:1140592. doi: 10.3389/fimmu.2023.1140592. eCollection 2023.
7
Alpha-1 Antitrypsin Inhibits ATP-Mediated Release of Interleukin-1β CD36 and Nicotinic Acetylcholine Receptors.α-1 抗胰蛋白酶抑制三磷酸腺苷介导的白细胞介素-1β、CD36 和烟碱型乙酰胆碱受体的释放。
Front Immunol. 2018 Apr 25;9:877. doi: 10.3389/fimmu.2018.00877. eCollection 2018.
8
C-Reactive Protein Stimulates Nicotinic Acetylcholine Receptors to Control ATP-Mediated Monocytic Inflammasome Activation.C 反应蛋白刺激烟碱型乙酰胆碱受体以控制三磷酸腺苷介导的单核细胞炎症小体激活。
Front Immunol. 2018 Jul 30;9:1604. doi: 10.3389/fimmu.2018.01604. eCollection 2018.
9
Canonical and Novel Non-Canonical Cholinergic Agonists Inhibit ATP-Induced Release of Monocytic Interleukin-1β via Different Combinations of Nicotinic Acetylcholine Receptor Subunits α7, α9 and α10.典型和新型非典型胆碱能激动剂通过烟碱型乙酰胆碱受体亚基α7、α9和α10的不同组合抑制ATP诱导的单核细胞白细胞介素-1β释放。
Front Cell Neurosci. 2017 Jul 5;11:189. doi: 10.3389/fncel.2017.00189. eCollection 2017.
10
Amyloid Beta Peptide (Aβ) Reverses the Cholinergic Control of Monocytic IL-1β Release.β淀粉样肽(Aβ)逆转单核细胞IL-1β释放的胆碱能控制。
J Clin Med. 2020 Sep 7;9(9):2887. doi: 10.3390/jcm9092887.

引用本文的文献

1
Regulatory B Cells Expressing Granzyme B from Tolerant Renal Transplant Patients: Highly Differentiated B Cells with a Unique Pathway with a Specific Regulatory Profile and Strong Interactions with Immune System Cells.耐受肾移植患者中表达颗粒酶 B 的调节性 B 细胞:具有独特调控表型和与免疫系统细胞强烈相互作用的高度分化 B 细胞,具有特定途径。
Cells. 2024 Jul 31;13(15):1287. doi: 10.3390/cells13151287.
2
The causal relationship between immune cells mediating FIT3L, CCL4, OSM, and skin-derived deteriorated tumors.介导 FIT3L、CCL4、OSM 的免疫细胞与皮肤来源恶化肿瘤之间的因果关系。
Skin Res Technol. 2024 Jul;30(7):e13774. doi: 10.1111/srt.13774.
3

本文引用的文献

1
Inhibition of α9α10 nicotinic acetylcholine receptors prevents chemotherapy-induced neuropathic pain.抑制α9α10烟碱型乙酰胆碱受体可预防化疗引起的神经性疼痛。
Proc Natl Acad Sci U S A. 2017 Mar 7;114(10):E1825-E1832. doi: 10.1073/pnas.1621433114. Epub 2017 Feb 21.
2
Phosphocholine - an agonist of metabotropic but not of ionotropic functions of α9-containing nicotinic acetylcholine receptors.磷酸胆碱——一种包含α9 的烟碱型乙酰胆碱受体代谢型而不是离子型功能的激动剂。
Sci Rep. 2016 Jun 28;6:28660. doi: 10.1038/srep28660.
3
Purinergic regulation of the immune system.
ATP-induced cell death: a novel hypothesis for osteoporosis.
ATP诱导的细胞死亡:骨质疏松症的一种新假说。
Front Cell Dev Biol. 2023 Dec 14;11:1324213. doi: 10.3389/fcell.2023.1324213. eCollection 2023.
4
Differential chromatin accessibility in peripheral blood mononuclear cells underlies COVID-19 disease severity prior to seroconversion.COVID-19 患者在血清转换之前,外周血单核细胞中的差异染色质可及性与疾病严重程度相关。
Sci Rep. 2022 Jul 9;12(1):11714. doi: 10.1038/s41598-022-15668-8.
5
Nanoparticles reduce monocytes within the lungs to improve outcomes after influenza virus infection in aged mice.纳米颗粒减少肺部中的单核细胞,从而改善老年小鼠流感病毒感染后的预后。
JCI Insight. 2022 Aug 8;7(15):e156320. doi: 10.1172/jci.insight.156320.
6
Differential chromatin accessibility in peripheral blood mononuclear cells underlies COVID-19 disease severity prior to seroconversion.血清转化前,外周血单个核细胞中染色质可及性差异是新冠病毒疾病严重程度的基础。
Res Sq. 2022 Apr 7:rs.3.rs-1479864. doi: 10.21203/rs.3.rs-1479864/v1.
7
Anti-inflammatory Activity of the Protein Z-Dependent Protease Inhibitor.蛋白Z依赖性蛋白酶抑制剂的抗炎活性
TH Open. 2021 Jun 25;5(2):e220-e229. doi: 10.1055/s-0041-1730037. eCollection 2021 Apr.
8
Integrated Gene Expression Profiling Analysis Reveals Probable Molecular Mechanism and Candidate Biomarker in Anti-TNFα Non-Response IBD Patients.整合基因表达谱分析揭示抗TNFα无反应性IBD患者可能的分子机制和候选生物标志物。
J Inflamm Res. 2020 Feb 12;13:81-95. doi: 10.2147/JIR.S236262. eCollection 2020.
9
Macrophage polarization is linked to Ca-independent phospholipase Aβ-derived lipids and cross-cell signaling in mice.巨噬细胞极化与 Ca 非依赖性磷脂酶 Aβ衍生脂质和小鼠中的细胞间信号转导有关。
J Lipid Res. 2020 Feb;61(2):143-158. doi: 10.1194/jlr.RA119000281. Epub 2019 Dec 9.
10
SLPI Inhibits ATP-Mediated Maturation of IL-1β in Human Monocytic Leukocytes: A Novel Function of an Old Player.SLPI 抑制人单核白血病细胞中 ATP 介导的 IL-1β成熟:旧分子的新功能。
Front Immunol. 2019 Apr 4;10:664. doi: 10.3389/fimmu.2019.00664. eCollection 2019.
嘌呤能免疫系统调节。
Nat Rev Immunol. 2016 Mar;16(3):177-92. doi: 10.1038/nri.2016.4.
4
Insights into the Role of Chemokines, Damage-Associated Molecular Patterns, and Lymphocyte-Derived Mediators from Computational Models of Trauma-Induced Inflammation.从创伤诱导炎症的计算模型洞察趋化因子、损伤相关分子模式和淋巴细胞衍生介质的作用
Antioxid Redox Signal. 2015 Dec 10;23(17):1370-87. doi: 10.1089/ars.2015.6398.
5
Phosphocholine-Modified Macromolecules and Canonical Nicotinic Agonists Inhibit ATP-Induced IL-1β Release.磷酸胆碱修饰的大分子与经典烟碱激动剂可抑制ATP诱导的IL-1β释放。
J Immunol. 2015 Sep 1;195(5):2325-34. doi: 10.4049/jimmunol.1400974. Epub 2015 Jul 22.
6
Calcium-independent phospholipases A2 and their roles in biological processes and diseases.不依赖钙的磷脂酶A2及其在生物过程和疾病中的作用。
J Lipid Res. 2015 Sep;56(9):1643-68. doi: 10.1194/jlr.R058701. Epub 2015 May 28.
7
The systemic immune response to trauma: an overview of pathophysiology and treatment.创伤的全身免疫反应:病理生理学与治疗概述
Lancet. 2014 Oct 18;384(9952):1455-65. doi: 10.1016/S0140-6736(14)60687-5. Epub 2014 Oct 17.
8
Mechanisms and functions of inflammasomes.炎性小体的作用机制和功能。
Cell. 2014 May 22;157(5):1013-22. doi: 10.1016/j.cell.2014.04.007.
9
Immunoinflammatory response in critically ill patients: severe sepsis and/or trauma.危重症患者的免疫炎症反应:严重脓毒症和/或创伤。
Mediators Inflamm. 2013;2013:362793. doi: 10.1155/2013/362793. Epub 2013 Nov 24.
10
Inflammasomes and host defenses against bacterial infections.炎性小体与宿主防御细菌感染
Curr Opin Microbiol. 2013 Feb;16(1):23-31. doi: 10.1016/j.mib.2012.11.008. Epub 2013 Jan 11.