Suppr超能文献

化学防护对生长在富含颗粒污泥土壤中的小麦(普通小麦)重金属含量的影响。

The influence of chemical protection on the content of heavy metals in wheat (Triticum aestivum L.) growing on the soil enriched with granular sludge.

作者信息

Wołejko E, Łozowicka B, Kaczyński P, Konecki R, Grobela M

机构信息

Department of Chemistry, Biology and Biotechnology, Białystok University of Technology, Wiejska 45 E, 15-351, Białystok, Poland.

Laboratory of Pesticide Residues, Institute of Plant Protection - National Research Institute, Chełmońskiego 22, 15-195, Białystok, Poland.

出版信息

Environ Monit Assess. 2017 Aug;189(8):424. doi: 10.1007/s10661-017-6143-8. Epub 2017 Jul 31.

Abstract

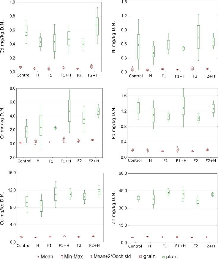
The presence of heavy metals in Triticum aestivum L. growing on the soil enriched with granular sludge after chemical protection was observed. The five variants of treatments using herbicide (Chwastox Turbo 340SL) and four fungicides (Topsin M 500SC, Amistar 250SC, Artea 330EC, and Falcon 460EC) were performed. On control and experimental plots, the concentration of Ni, Pb, Cr, and Cu in wheat leaves were in the range 0.32-0.99, 0.92-1.57, 0.89-6.31, and 7.08-12.59 mg/kg and in grains 0.03 to 0.11, 0.14-0.25, 0.11-0.76, and 1.06-1.46 mg/kg, respectively. The concentration of Pb in grain protected by MCPA and 2,4-D with thiophanate-methyl and azoxystrobin was higher than the maximum levels of 0.20 mg/kg D.M. The bioconcentration factor (BCF) differed and depended on chemical protection. The highest value of BCF was achieved for Cd. The statistical analysis showed a significant correlation between concentration of metals and quality parameters of wheat. One observed significant negative correlations between Ni/Zeleny sedimentation value (r = -0.51) and between Pb/starch content (r = -0.57). Positive correlations were observed between Cd/yield, the number of grains/ergosterol concentration (respectively, r = 0.41, r = 0.55, r = 0.56), and Zn/thousand grain weight (r = 0.50) at a p ≤ 0.05.

摘要

观察了在经过化学保护且富含颗粒污泥的土壤上生长的普通小麦中重金属的存在情况。进行了使用除草剂(Chwastox Turbo 340SL)和四种杀菌剂(甲基托布津500SC、阿米西达250SC、阿泰阿330EC和法尔肯460EC)的五种处理变体。在对照区和试验区,小麦叶片中镍、铅、铬和铜的浓度范围分别为0.32 - 0.99、0.92 - 1.57、0.89 - 6.31和7.08 - 12.59毫克/千克,籽粒中分别为0.03至0.11、0.14 - 0.25、0.11 - 0.76和1.06 - 1.46毫克/千克。受灭草灵、2,4 - D与甲基托布津和嘧菌酯保护的籽粒中铅的浓度高于0.20毫克/千克干物质的最高限量。生物富集系数(BCF)各不相同且取决于化学保护。镉的BCF值最高。统计分析表明金属浓度与小麦品质参数之间存在显著相关性。观察到镍与泽连尼沉降值之间(r = -0.51)以及铅与淀粉含量之间(r = -0.57)存在显著负相关。在p≤0.05时,观察到镉与产量、籽粒数量与麦角固醇浓度之间(分别为r = 0.41、r = 0.55、r = 0.56)以及锌与千粒重之间(r = 0.50)存在正相关。

https://cdn.ncbi.nlm.nih.gov/pmc/blobs/82f0/5537333/cce819e7e523/10661_2017_6143_Fig1_HTML.jpg

文献AI研究员

20分钟写一篇综述,助力文献阅读效率提升50倍。

立即体验

用中文搜PubMed

大模型驱动的PubMed中文搜索引擎

马上搜索

文档翻译

学术文献翻译模型,支持多种主流文档格式。

立即体验