Suppr超能文献

创伤酸和几种除草剂对人乳腺癌细胞的毒理学效应:分析化合物的体外细胞毒性评估。

Toxicological Effects of Traumatic Acid and Selected Herbicides on Human Breast Cancer Cells: In Vitro Cytotoxicity Assessment of Analyzed Compounds.

机构信息

Department of Chemistry, Biology and Biotechnology, Faculty of Civil and Environmental Engineering, Bialystok University of Technology, Białystok, Poland, Wiejska 45E Street, 15-351 Białystok, Poland.

出版信息

Molecules. 2019 May 2;24(9):1710. doi: 10.3390/molecules24091710.

Abstract

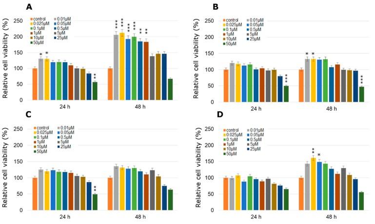
The main consequence of herbicides use is the presence of their residues in food of plant origin. A growing body of evidence indicates that herbicides cause detrimental effects upon human health while demonstrating a direct link of pesticides exposure with the occurrence of human chronic diseases, including cancer. There is a pressing need to develop our knowledge regarding interactions of food contaminants and food components both in vitro and in vivo. Pesticides are highly undesirable food contaminants, and traumatic acid (TA) is a very beneficial food ingredient, therefore we decided to study if TA may act as a compound that delays the stimulatory effect of pesticides on breast cancer cells. To analyze the potential effects that selected herbicides (MCPA, mesotrione, bifenox and dichlobenil) may have upon cancerous cells, we conducted studies of the cytotoxicity of physiological concentrations of four pesticides and the mix of TA with tested herbicides in three different breast cancer cell lines (MCF-7, ZR-75-1 and MDA-MB-231) and one normal healthy breast cell line MCF-12A. Based on the obtained results we conclude that TA in a concentration-dependent manner might influence selected effects of the studied herbicides for particular cancer cells lines.

摘要

除草剂使用的主要后果是其残留存在于植物源性食品中。越来越多的证据表明,除草剂对人类健康造成有害影响,同时证明了接触农药与人类慢性病(包括癌症)的发生之间存在直接联系。人们迫切需要在体外和体内研究食物污染物和食物成分的相互作用。农药是高度不受欢迎的食物污染物,而创伤酸(TA)是一种非常有益的食物成分,因此我们决定研究 TA 是否可以作为一种化合物,延迟农药对乳腺癌细胞的刺激作用。为了分析选定的除草剂(MCPA、mesotrione、bifenox 和 dichlobenil)可能对癌细胞产生的潜在影响,我们研究了四种农药的生理浓度以及 TA 与测试除草剂在三种不同乳腺癌细胞系(MCF-7、ZR-75-1 和 MDA-MB-231)和一种正常健康乳腺细胞系 MCF-12A 中的混合物的细胞毒性。根据获得的结果,我们得出结论,TA 可能以浓度依赖的方式影响研究除草剂对特定癌细胞系的某些作用。

https://cdn.ncbi.nlm.nih.gov/pmc/blobs/b899/6539929/eebd7bf415dd/molecules-24-01710-g001.jpg

文献AI研究员

20分钟写一篇综述,助力文献阅读效率提升50倍。

立即体验

用中文搜PubMed

大模型驱动的PubMed中文搜索引擎

马上搜索

文档翻译

学术文献翻译模型,支持多种主流文档格式。

立即体验