Suppr超能文献

用于去除有害金属和类金属的生物吸附剂。

Biosorbents for Removing Hazardous Metals and Metalloids.

作者信息

Inoue Katsutoshi, Parajuli Durga, Ghimire Kedar Nath, Biswas Biplob Kumar, Kawakita Hidetaka, Oshima Tatsuya, Ohto Keisuke

机构信息

Department of Applied Chemistry, Faculty of Science and Engineering, Saga University, Honjo-machi 1, Saga 840-8574, Japan.

Nanomaterial Research Institute, National Institute of Advanced Industrial Science and Technology (AIST), 1-1-1 Higashi, Tsukuba, Ibaragi 305-8565, Japan.

出版信息

Materials (Basel). 2017 Jul 26;10(8):857. doi: 10.3390/ma10080857.

Abstract

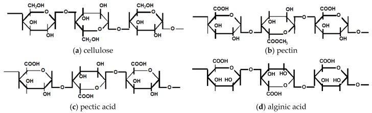
Biosorbents for remediating aquatic environmental media polluted with hazardous heavy metals and metalloids such as Pb(II), Cr(VI), Sb(III and V), and As(III and V) were prepared from lignin waste, orange and apple juice residues, seaweed and persimmon and grape wastes using simple and cheap methods. A lignophenol gel such as lignocatechol gel was prepared by immobilizing the catechol functional groups onto lignin from sawdust, while lignosulfonate gel was prepared directly from waste liquor generated during pulp production. These gels effectively removed Pb(II). Orange and apple juice residues, which are rich in pectic acid, were easily converted using alkali (e.g., calcium hydroxide) into biosorbents that effectively removed Pb(II). These materials also effectively removed Sb(III and V) and As(III and V) when these were preloaded with multi-valent metal ions such as Zr(IV) and Fe(III). Similar biosorbents were prepared from seaweed waste, which is rich in alginic acid. Other biosorbents, which effectively removed Cr(VI), were prepared by simply treating persimmon and grape wastes with concentrated sulfuric acid.

摘要

利用简单且廉价的方法,从木质素废料、橙子和苹果汁残渣、海藻以及柿子和葡萄废料中制备了用于修复被铅(II)、铬(VI)、锑(III和V)以及砷(III和V)等有害重金属和类金属污染的水生环境介质的生物吸附剂。通过将邻苯二酚官能团固定到锯末中的木质素上制备了一种木质酚凝胶,如木质邻苯二酚凝胶,而木质素磺酸盐凝胶则直接由纸浆生产过程中产生的废液制备而成。这些凝胶有效地去除了铅(II)。富含果胶酸的橙子和苹果汁残渣,使用碱(如氢氧化钙)很容易转化为能有效去除铅(II)的生物吸附剂。当这些材料预先负载多价金属离子(如锆(IV)和铁(III))时,它们也能有效地去除锑(III和V)以及砷(III和V)。由富含海藻酸的海藻废料制备了类似的生物吸附剂。通过用浓硫酸简单处理柿子和葡萄废料制备了其他能有效去除铬(VI)的生物吸附剂。

https://cdn.ncbi.nlm.nih.gov/pmc/blobs/067b/5578223/db24b97f380b/materials-10-00857-sch001.jpg

文献AI研究员

20分钟写一篇综述,助力文献阅读效率提升50倍。

立即体验

用中文搜PubMed

大模型驱动的PubMed中文搜索引擎

马上搜索

文档翻译

学术文献翻译模型,支持多种主流文档格式。

立即体验