Suppr超能文献

优化一种测试方法,以评估透水混凝土在不同除冰盐存在下的抗冻融循环性能。

Optimizing a Test Method to Evaluate Resistance of Pervious Concrete to Cycles of Freezing and Thawing in the Presence of Different Deicing Salts.

作者信息

Tsang Chehong, Shehata Medhat H, Lotfy Abdurrahmaan

机构信息

Department of Civil Engineering, Ryerson University, Toronto, ON M5B 2K3, Canada.

Lafarge Canada Inc., 6509 Airport Road, Mississauga, ON L4V 1S7, Canada.

出版信息

Materials (Basel). 2016 Oct 28;9(11):878. doi: 10.3390/ma9110878.

Abstract

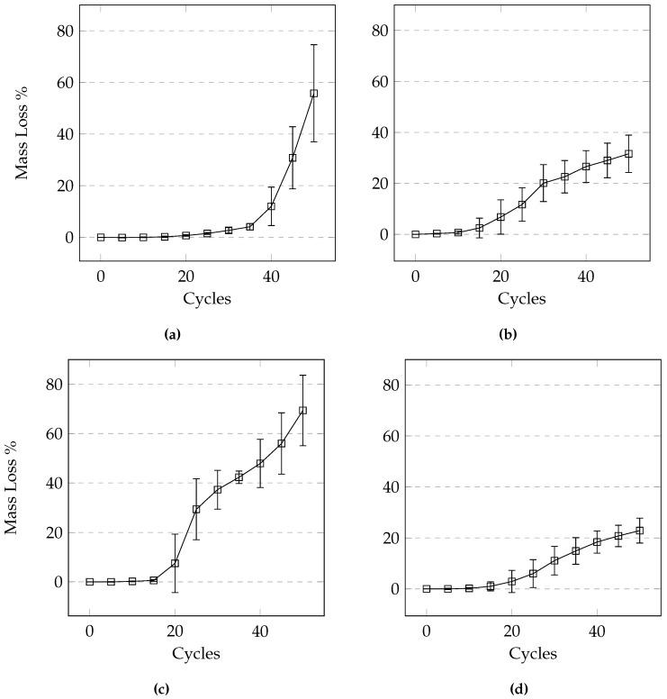
The lack of a standard test method for evaluating the resistance of pervious concrete to cycles of freezing and thawing in the presence of deicing salts is the motive behind this study. Different sample size and geometry, cycle duration, and level of submersion in brine solutions were investigated to achieve an optimized test method. The optimized test method was able to produce different levels of damage when different types of deicing salts were used. The optimized duration of one cycle was found to be 24 h with twelve hours of freezing at -18 °C and twelve hours of thawing at +21 °C, with the bottom 10 mm of the sample submerged in the brine solution. Cylinder samples with a diameter of 100 mm and height of 150 mm were used and found to produce similar results to 150 mm-cubes. Based on the obtained results a mass loss of 3%-5% is proposed as a failure criterion of cylindrical samples. For the materials and within the cycles of freezing/thawing investigated here, the deicers that caused the most damage were NaCl, CaCl 2 and urea, followed by MgCl 2 , potassium acetate, sodium acetate and calcium-magnesium acetate. More testing is needed to validate the effects of different deicers under long term exposures and different temperature ranges.

摘要

缺乏一种在除冰盐存在的情况下评估透水混凝土抗冻融循环性能的标准测试方法,是本研究的动机所在。研究了不同的样品尺寸和几何形状、循环持续时间以及在盐溶液中的浸没程度,以实现一种优化的测试方法。当使用不同类型的除冰盐时,优化后的测试方法能够产生不同程度的损伤。发现一个循环的优化持续时间为24小时,其中在-18°C下冷冻12小时,在+21°C下解冻12小时,样品底部10毫米浸没在盐溶液中。使用了直径为100毫米、高度为150毫米的圆柱样品,发现其结果与150毫米立方体的结果相似。基于所得结果,建议将3%-5%的质量损失作为圆柱样品的破坏标准。对于此处研究的材料和冻融循环,造成损害最大的除冰剂是氯化钠、氯化钙和尿素,其次是氯化镁、醋酸钾、醋酸钠和醋酸钙镁。需要进行更多测试以验证不同除冰剂在长期暴露和不同温度范围内的影响。

https://cdn.ncbi.nlm.nih.gov/pmc/blobs/b93a/5457218/f89793a28408/materials-09-00878-g001.jpg

文献AI研究员

20分钟写一篇综述,助力文献阅读效率提升50倍。

立即体验

用中文搜PubMed

大模型驱动的PubMed中文搜索引擎

马上搜索

文档翻译

学术文献翻译模型,支持多种主流文档格式。

立即体验