• 文献检索
  • 文档翻译
  • 深度研究
  • 学术资讯
  • Suppr Zotero 插件Zotero 插件
  • 邀请有礼
  • 套餐&价格
  • 历史记录
应用&插件
Suppr Zotero 插件Zotero 插件浏览器插件Mac 客户端Windows 客户端微信小程序
定价
高级版会员购买积分包购买API积分包
服务
文献检索文档翻译深度研究API 文档MCP 服务
关于我们
关于 Suppr公司介绍联系我们用户协议隐私条款
关注我们

Suppr 超能文献

核心技术专利:CN118964589B侵权必究
粤ICP备2023148730 号-1Suppr @ 2026

文献检索

告别复杂PubMed语法,用中文像聊天一样搜索,搜遍4000万医学文献。AI智能推荐,让科研检索更轻松。

立即免费搜索

文件翻译

保留排版,准确专业,支持PDF/Word/PPT等文件格式,支持 12+语言互译。

免费翻译文档

深度研究

AI帮你快速写综述,25分钟生成高质量综述,智能提取关键信息,辅助科研写作。

立即免费体验

BiCuSeO-BiCuSO固溶体的结构与输运性质

Structure and Transport Properties of the BiCuSeO-BiCuSO Solid Solution.

作者信息

Berardan David, Li Jing, Amzallag Emilie, Mitra Sunanda, Sui Jiehe, Cai Wei, Dragoe Nita

机构信息

SP2M-ICMMO, Université Paris-Sud, Orsay F-91405, France.

School of Materials Science and Engineering, Harbin Institute of Technology, Harbin 150001, China.

出版信息

Materials (Basel). 2015 Mar 12;8(3):1043-1058. doi: 10.3390/ma8031043.

DOI:10.3390/ma8031043
PMID:28787987
原文链接:https://pmc.ncbi.nlm.nih.gov/articles/PMC5455453/
Abstract

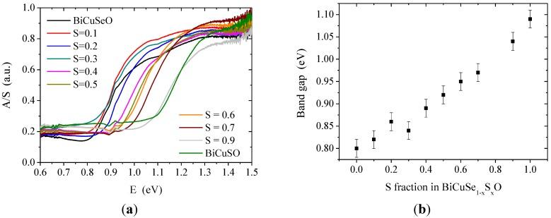
In this paper, we report on the crystal structure and the electrical and thermal transport properties of the BiCuSeSO series. From the evolution of the structural parameters with the substitution rate, we can confidently conclude that a complete solid solution exists between the BiCuSeO and BiCuSO end members, without any miscibility gap. However, the decrease of the stability of the materials when increasing the sulfur fraction, with a simultaneous volatilization, makes it difficult to obtain S-rich samples in a single phase. The band gap of the materials linearly increases between 0.8 eV for BiCuSeO and 1.1 eV in BiCuSO, and the covalent character of the Cu- (Ch = chalcogen element, namely S or Se here) bond slightly decreases when increasing the sulfur fraction. The thermal conductivity of the end members is nearly the same, but a significant decrease is observed for the samples belonging to the solid solution, which can be explained by point defect scattering due to atomic mass and radii fluctuations between Se and S. When increasing the sulfur fraction, the electrical resistivity of the samples strongly increases, which could be linked to an evolution of the energy of formation of copper vacancies, which act as acceptor dopants in these materials.

摘要

在本文中,我们报道了BiCuSeSO系列的晶体结构以及电学和热输运性质。从结构参数随取代率的演变情况来看,我们可以有把握地得出结论,在BiCuSeO和BiCuSO端元之间存在完全固溶体,不存在任何混溶间隙。然而,随着硫含量的增加,材料稳定性下降并同时伴有挥发,这使得难以获得单相的富硫样品。材料的带隙在BiCuSeO的0.8 eV至BiCuSO的1.1 eV之间呈线性增加,并且当硫含量增加时,Cu -(Ch = 硫族元素,此处即S或Se)键的共价性略有下降。端元的热导率几乎相同,但对于属于固溶体的样品,热导率显著降低,这可以用由于Se和S之间原子质量和半径波动导致的点缺陷散射来解释。当硫含量增加时,样品的电阻率大幅增加,这可能与铜空位形成能的变化有关,铜空位在这些材料中充当受主掺杂剂。

https://cdn.ncbi.nlm.nih.gov/pmc/blobs/e01b/5455453/3c7184060665/materials-08-01043-g008.jpg
https://cdn.ncbi.nlm.nih.gov/pmc/blobs/e01b/5455453/07e7154fae7c/materials-08-01043-g001.jpg
https://cdn.ncbi.nlm.nih.gov/pmc/blobs/e01b/5455453/eeeba5eb78f0/materials-08-01043-g002.jpg
https://cdn.ncbi.nlm.nih.gov/pmc/blobs/e01b/5455453/4873b47ff4da/materials-08-01043-g003.jpg
https://cdn.ncbi.nlm.nih.gov/pmc/blobs/e01b/5455453/ebc0a47ebaf9/materials-08-01043-g004.jpg
https://cdn.ncbi.nlm.nih.gov/pmc/blobs/e01b/5455453/86ff59817584/materials-08-01043-g005.jpg
https://cdn.ncbi.nlm.nih.gov/pmc/blobs/e01b/5455453/a43081e8768d/materials-08-01043-g006.jpg
https://cdn.ncbi.nlm.nih.gov/pmc/blobs/e01b/5455453/217579c80e08/materials-08-01043-g007.jpg
https://cdn.ncbi.nlm.nih.gov/pmc/blobs/e01b/5455453/3c7184060665/materials-08-01043-g008.jpg
https://cdn.ncbi.nlm.nih.gov/pmc/blobs/e01b/5455453/07e7154fae7c/materials-08-01043-g001.jpg
https://cdn.ncbi.nlm.nih.gov/pmc/blobs/e01b/5455453/eeeba5eb78f0/materials-08-01043-g002.jpg
https://cdn.ncbi.nlm.nih.gov/pmc/blobs/e01b/5455453/4873b47ff4da/materials-08-01043-g003.jpg
https://cdn.ncbi.nlm.nih.gov/pmc/blobs/e01b/5455453/ebc0a47ebaf9/materials-08-01043-g004.jpg
https://cdn.ncbi.nlm.nih.gov/pmc/blobs/e01b/5455453/86ff59817584/materials-08-01043-g005.jpg
https://cdn.ncbi.nlm.nih.gov/pmc/blobs/e01b/5455453/a43081e8768d/materials-08-01043-g006.jpg
https://cdn.ncbi.nlm.nih.gov/pmc/blobs/e01b/5455453/217579c80e08/materials-08-01043-g007.jpg
https://cdn.ncbi.nlm.nih.gov/pmc/blobs/e01b/5455453/3c7184060665/materials-08-01043-g008.jpg

相似文献

1
Structure and Transport Properties of the BiCuSeO-BiCuSO Solid Solution.BiCuSeO-BiCuSO固溶体的结构与输运性质
Materials (Basel). 2015 Mar 12;8(3):1043-1058. doi: 10.3390/ma8031043.
2
Enhanced Power Factor and Ultralow Lattice Thermal Conductivity Induced High Thermoelectric Performance of BiCuTeO/BiCuSeO Superlattice.增强的功率因数和超低晶格热导率诱导BiCuTeO/BiCuSeO超晶格的高热电性能
Materials (Basel). 2023 Jun 11;16(12):4318. doi: 10.3390/ma16124318.
3
Dual Vacancies: An Effective Strategy Realizing Synergistic Optimization of Thermoelectric Property in BiCuSeO.双空位:一种实现 BiCuSeO 热电性能协同优化的有效策略。
J Am Chem Soc. 2015 May 27;137(20):6587-93. doi: 10.1021/jacs.5b01863. Epub 2015 May 14.
4
Understanding the electronic and phonon transport properties of a thermoelectric material BiCuSeO: a first-principles study.理解热电材料BiCuSeO的电子和声子输运性质:第一性原理研究。
Phys Chem Chem Phys. 2017 May 24;19(20):12913-12920. doi: 10.1039/c7cp01755c.
5
Synergetic Tuning of the Electrical and Thermal Transport Properties via Pb/Ag Dual Doping in BiCuSeO.通过 Pb/Ag 双掺杂协同调控 BiCuSeO 的电学和热学输运性质
ACS Appl Mater Interfaces. 2019 Dec 11;11(49):45737-45745. doi: 10.1021/acsami.9b16723. Epub 2019 Nov 27.
6
Electrical Transport and Thermoelectric Properties of SnSe-SnTe Solid Solution.SnSe - SnTe固溶体的电输运和热电性质
Materials (Basel). 2019 Nov 22;12(23):3854. doi: 10.3390/ma12233854.
7
Synergistic Strategy to Enhance the Thermoelectric Properties of CoSbSSe Compounds via Solid Solution.协同策略通过固溶增强 CoSbSSe 化合物的热电性能。
ACS Appl Mater Interfaces. 2017 Mar 29;9(12):10595-10601. doi: 10.1021/acsami.6b12796. Epub 2017 Mar 17.
8
Effect of Isovalent Substitution on the Electronic Structure and Thermoelectric Properties of the Solid Solution α-AsTeSe (0 ≤ x ≤ 1.5).等价取代对固溶体α-AsTeSe(0≤x≤1.5)电子结构和热电性能的影响
Inorg Chem. 2017 Feb 20;56(4):2248-2257. doi: 10.1021/acs.inorgchem.6b02930. Epub 2017 Feb 8.
9
Few-Layer Nanosheets of n-Type SnSe.n型SnSe的少层纳米片
Chemistry. 2016 Oct 24;22(44):15634-15638. doi: 10.1002/chem.201604161. Epub 2016 Sep 23.
10
Remarkable enhancement in thermoelectric performance of BiCuSeO by Cu deficiencies. 通过 Cu 空位实现 BiCuSeO 热电器件性能的显著提升。
J Am Chem Soc. 2011 Dec 21;133(50):20112-5. doi: 10.1021/ja2091195. Epub 2011 Nov 22.

引用本文的文献

1
An Updated Review of BiCuSeO-Based Thermoelectric Materials.基于BiCuSeO的热电材料的最新综述
Micromachines (Basel). 2025 Jun 12;16(6):703. doi: 10.3390/mi16060703.
2
Exploiting chemical bonding principles to design high-performance thermoelectric materials.利用化学键合原理设计高性能热电材料。
Nat Rev Chem. 2025 Apr;9(4):241-260. doi: 10.1038/s41570-025-00695-6. Epub 2025 Mar 25.
3
Synthesis, Structure, and Properties of CuBiSeCl: A Chalcohalide Material with Low Thermal Conductivity.CuBiSeCl的合成、结构与性质:一种具有低导热性的硫卤化物材料

本文引用的文献

1
Enhanced thermoelectric performance of a BiCuSeO system via band gap tuning.通过能带隙调谐提高 BiCuSeO 体系的热电性能。
Chem Commun (Camb). 2013 Sep 21;49(73):8075-7. doi: 10.1039/c3cc44578j. Epub 2013 Aug 2.
2
Enhanced thermoelectric properties of Pb-doped BiCuSeO ceramics.掺铅 BiCuSeO 陶瓷的热电性能增强。
Adv Mater. 2013 Sep 25;25(36):5086-90. doi: 10.1002/adma.201301675. Epub 2013 Jul 30.
3
Remarkable enhancement in thermoelectric performance of BiCuSeO by Cu deficiencies. 通过 Cu 空位实现 BiCuSeO 热电器件性能的显著提升。
Chem Mater. 2024 Apr 23;36(9):4530-4541. doi: 10.1021/acs.chemmater.4c00188. eCollection 2024 May 14.
4
One-Pot Synthesis of BiCuSO Nanosheets under Ambient Atmosphere as Broadband Spectrum Photocatalyst.在环境气氛下一锅法合成BiCuSO纳米片作为宽带光谱光催化剂。
Nanomaterials (Basel). 2019 Apr 3;9(4):540. doi: 10.3390/nano9040540.
J Am Chem Soc. 2011 Dec 21;133(50):20112-5. doi: 10.1021/ja2091195. Epub 2011 Nov 22.
4
Origins of hole doping and relevant optoelectronic properties of wide gap p-type semiconductor, LaCuOSe.宽禁带 p 型半导体 LaCuOSe 的空穴掺杂起源及相关光电性能。
J Am Chem Soc. 2010 Oct 27;132(42):15060-7. doi: 10.1021/ja107042r.
5
Iron-based layered superconductor La[O(1-x)F(x)]FeAs (x = 0.05-0.12) with T(c) = 26 K.临界温度Tc = 26K的铁基层状超导体La[O(1-x)F(x)]FeAs(x = 0.05 - 0.12)
J Am Chem Soc. 2008 Mar 19;130(11):3296-7. doi: 10.1021/ja800073m. Epub 2008 Feb 23.
6
Iron-based layered superconductor: LaOFeP.铁基层状超导体:LaOFeP。
J Am Chem Soc. 2006 Aug 9;128(31):10012-3. doi: 10.1021/ja063355c.
7
Development of the Colle-Salvetti correlation-energy formula into a functional of the electron density.将科勒-萨尔维蒂相关能公式发展为电子密度的泛函。
Phys Rev B Condens Matter. 1988 Jan 15;37(2):785-789. doi: 10.1103/physrevb.37.785.