Suppr超能文献

特发性帕金森病口面部症状的演变及疾病进展:来自延雪平帕金森病登记处的纵向数据

Evolution of Orofacial Symptoms and Disease Progression in Idiopathic Parkinson's Disease: Longitudinal Data from the Jönköping Parkinson Registry.

作者信息

Fereshtehnejad Seyed-Mohammad, Skogar Örjan, Lökk Johan

机构信息

Department of Neurology and Neurosurgery, McGill University, Montreal, QC, Canada.

Division of Clinical Geriatrics, Department of Neurobiology, Care Sciences, and Society (NVS), Karolinska Institutet, Stockholm, Sweden.

出版信息

Parkinsons Dis. 2017;2017:7802819. doi: 10.1155/2017/7802819. Epub 2017 Jul 16.

Abstract

BACKGROUND

Orofacial symptoms are common in Parkinson's disease (PD) both as initial manifestations and late markers of disease complications. We aimed to investigate the evolution of orofacial manifestations and their prognostic value throughout PD progression.

METHODS

Data was obtained from "Jönköping Parkinson Registry" database on routine care visits of 314 people with idiopathic PD in southern Sweden. Information on baseline symptomatology, orofacial features, UPDRS, and medications was recorded at baseline and during each follow-up visit within an average of 4.2 (range: 1-12) years.

RESULTS

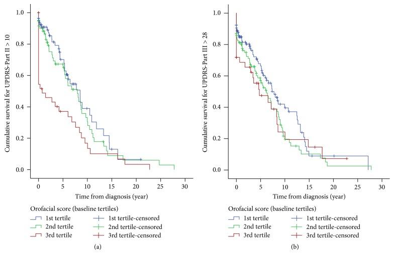
Hypomimia, affected speech, drooling, and impaired swallowing were present in 37.3%/91.6%, 14.1%/65.5%, 11.7%/55.3%, and 10.2%/34.5% at baseline/follow-up, respectively. Male sex [OR = 2.4 (95% CI: 1.0-5.9)], UPDRS motor scores [OR = 1.2 (95% CI: 1.1-1.3)], dominant rigidity [OR = 5.2 (95% CI: 1.4-19.1)], and autonomic disturbance [OR = 3.4 (95% CI: 1.1-10.9)] were risk factors for drooling. Individuals with more severe orofacial burden at baseline had shorter median time to develop UPDRS-Part III > 28 [3rd tertile = 4.7 yr, 2nd tertile = 6.2 yr, and 1st tertile = 7.8 yr; = 0.014].

CONCLUSIONS

Majority of people with PD manifest orofacial manifestations at either early or late stages of the disease. PD severity, symmetry of motor disturbances, and autonomic disorders correlate with orofacial symptoms. Individuals with more severe orofacial burden at baseline progressed faster to more advanced stages.

摘要

背景

口面部症状在帕金森病(PD)中很常见,既作为疾病并发症的初始表现,也作为晚期标志。我们旨在研究口面部表现的演变及其在整个PD病程中的预后价值。

方法

数据来自瑞典南部“延雪平帕金森病登记处”数据库中314例特发性PD患者的常规护理就诊记录。在基线时以及平均4.2年(范围:1 - 12年)的每次随访中记录基线症状、口面部特征、统一帕金森病评定量表(UPDRS)和用药情况。

结果

基线/随访时,面无表情、言语受累、流涎和吞咽障碍的发生率分别为37.3%/91.6%、14.1%/65.5%、11.7%/55.3%和10.2%/34.5%。男性[比值比(OR)= 2.4(95%置信区间:1.0 - 5.9)]、UPDRS运动评分[OR = 1.2(95%置信区间:1.1 - 1.3)]、优势侧强直[OR = 5.2(95%置信区间:1.4 - 19.1)]和自主神经功能障碍[OR = 3.4(95%置信区间:1.1 - 10.9)]是流涎的危险因素。基线时口面部负担较重的个体发生UPDRS第三部分评分>28的中位时间较短[第三三分位数 = 4.7年,第二三分位数 = 6.2年,第一三分位数 = 7.8年;P = 0.014]。

结论

大多数PD患者在疾病的早期或晚期出现口面部表现。PD的严重程度、运动障碍的对称性和自主神经功能障碍与口面部症状相关。基线时口面部负担较重的个体进展到更晚期的速度更快。

https://cdn.ncbi.nlm.nih.gov/pmc/blobs/c451/5534316/8b294d262786/PD2017-7802819.001.jpg

文献AI研究员

20分钟写一篇综述,助力文献阅读效率提升50倍。

立即体验

用中文搜PubMed

大模型驱动的PubMed中文搜索引擎

马上搜索

文档翻译

学术文献翻译模型,支持多种主流文档格式。

立即体验