Suppr超能文献

评估血清 ADAMTS1 和 ADAMTS4 水平作为 A 型急性主动脉夹层患者的新型生物标志物。

Assessing Serum Levels of ADAMTS1 and ADAMTS4 as New Biomarkers for Patients with Type A Acute Aortic Dissection.

机构信息

Department of Cardiovascular Surgery, Renmin Hospital of Wuhan University, Wuhan, Hubei, China (mainland).

出版信息

Med Sci Monit. 2017 Aug 13;23:3913-3922. doi: 10.12659/msm.905092.

Abstract

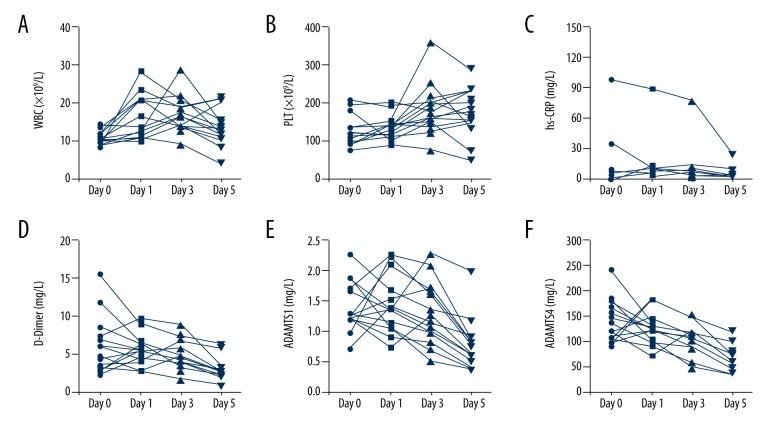
BACKGROUND Type A AAD, a serious cardiovascular emergency requiring urgent surgery, is the most common and serious AAD. The aim of this study was to investigate the diagnostic value of ADAMTS1 and ADAMTS4 in patients with type A acute aortic dissection (AAD). MATERIAL AND METHODS Immunohistochemistry and qRT-PCR were used to evaluate the protein and mRNA expression levels of ADAMTS1 and ADAMTS4 in 14 type A acute aortic dissection (AAD) tissues and 10 control aortic tissues. Serum ADAMTS1 and ADAMTS4 expression levels in 74 patients with type A AAD, 36 patients with hypertension (HPT), and 34 healthy donors were examined by ELISA. The diagnostic value of serum ADAMTS1 and ADAMTS4 were determined by receiver operator characteristic curve (ROC). Furthermore, the dynamic change of serum ADAMTS1, ADAMTS4, D-dimer, and CRP were detected before and after surgery at different time-points in 14 patients with type A AAD. RESULTS ADAMTS1 and ADAMTS4 protein and mRNA expression levels were found to be significantly higher in 14 type A AAD tissues (p<0.0001) compared with 10 control tissues. Serum ADAMTS1 and ADAMTS4 levels were significant higher in patients with type A AAD than those in the HPT and HD group (p<0.0001 for both). The AUC value, sensitivity, and specificity of ADAMTS1 were 0.9710 (95% CI: 0.9429 to 0.9991), 87.84%, and 97.06%, respectively, and those of ADAMTS4 were 0.9893 (95% CI: 0.9765 to 1.002), 94.59%, and 97.06%, respectively. In addition, serum ADAMTS4 level was gradually decreased with the time extension after surgery, similar to D-dimer change. CONCLUSIONS These data suggest that measurement of serum ADAMTS1 and ADAMTS4 levels could be potential diagnostic biomarkers for type A AAD, and ADAMTS4 might be a risk factor associated with type A AAD.

摘要

背景

A型主动脉夹层(AAD)是一种严重的心血管急症,需要紧急手术,是最常见和最严重的 AAD 类型。本研究旨在探讨 ADAMTS1 和 ADAMTS4 在 A 型急性主动脉夹层(AAD)患者中的诊断价值。

材料和方法

采用免疫组化和 qRT-PCR 检测 14 例 A 型急性主动脉夹层(AAD)组织和 10 例对照主动脉组织中 ADAMTS1 和 ADAMTS4 的蛋白和 mRNA 表达水平。采用 ELISA 检测 74 例 A 型 AAD 患者、36 例高血压(HPT)患者和 34 例健康供者血清 ADAMTS1 和 ADAMTS4 表达水平。通过受试者工作特征曲线(ROC)确定血清 ADAMTS1 和 ADAMTS4 的诊断价值。此外,在 14 例 A 型 AAD 患者手术前后不同时间点检测血清 ADAMTS1、ADAMTS4、D-二聚体和 CRP 的动态变化。

结果

14 例 A 型 AAD 组织中 ADAMTS1 和 ADAMTS4 蛋白和 mRNA 表达水平明显高于 10 例对照组织(p<0.0001)。与 HPT 和 HD 组相比,A型 AAD 患者血清 ADAMTS1 和 ADAMTS4 水平明显升高(均为 p<0.0001)。ADAMTS1 的 AUC 值、敏感性和特异性分别为 0.9710(95%CI:0.9429 至 0.9991)、87.84%和 97.06%,ADAMTS4 分别为 0.9893(95%CI:0.9765 至 1.002)、94.59%和 97.06%。此外,血清 ADAMTS4 水平随术后时间的延长逐渐降低,与 D-二聚体的变化相似。

结论

这些数据表明,检测血清 ADAMTS1 和 ADAMTS4 水平可能是 A 型 AAD 的潜在诊断生物标志物,ADAMTS4 可能是 A 型 AAD 的危险因素。

https://cdn.ncbi.nlm.nih.gov/pmc/blobs/6a98/5566203/fed86d44183d/medscimonit-23-3913-g001.jpg

文献AI研究员

20分钟写一篇综述,助力文献阅读效率提升50倍。

立即体验

用中文搜PubMed

大模型驱动的PubMed中文搜索引擎

马上搜索

文档翻译

学术文献翻译模型,支持多种主流文档格式。

立即体验