• 文献检索
  • 文档翻译
  • 深度研究
  • 学术资讯
  • Suppr Zotero 插件Zotero 插件
  • 邀请有礼
  • 套餐&价格
  • 历史记录
应用&插件
Suppr Zotero 插件Zotero 插件浏览器插件Mac 客户端Windows 客户端微信小程序
定价
高级版会员购买积分包购买API积分包
服务
文献检索文档翻译深度研究API 文档MCP 服务
关于我们
关于 Suppr公司介绍联系我们用户协议隐私条款
关注我们

Suppr 超能文献

核心技术专利:CN118964589B侵权必究
粤ICP备2023148730 号-1Suppr @ 2026

文献检索

告别复杂PubMed语法,用中文像聊天一样搜索,搜遍4000万医学文献。AI智能推荐,让科研检索更轻松。

立即免费搜索

文件翻译

保留排版,准确专业,支持PDF/Word/PPT等文件格式,支持 12+语言互译。

免费翻译文档

深度研究

AI帮你快速写综述,25分钟生成高质量综述,智能提取关键信息,辅助科研写作。

立即免费体验

一项前瞻性研究评估了可疑卵巢肿块患者的恶性肿瘤风险指数及其诊断意义。

A prospective study to evaluate the risk malignancy index and its diagnostic implication in patients with suspected ovarian mass.

机构信息

Department of obstetrics and gynaecology, Veer Surendra Sai Institute of Medical Science And Research (VIMSAR), Burla, Sambalpur, Odisha, India.

出版信息

J Ovarian Res. 2017 Aug 14;10(1):55. doi: 10.1186/s13048-017-0351-2.

DOI:10.1186/s13048-017-0351-2
PMID:28806987
原文链接:https://pmc.ncbi.nlm.nih.gov/articles/PMC5556625/
Abstract

BACKGROUND

There is no universal screening method for discrimination between benign and malignant adnexal masses yet. Various authors have tried tumor markers, imaging studies, cytology but no one yet is a definite method for screening of cancer ovary, for which a combined diagnostic modality has come to practice in form of RMI. With this background we conducted our study "Evaluation of risk malignancy index and its diagnostic value in patients with adnexal masses".

METHODS

The aim of the study was to determine the effectiveness of risk of malignancy index (RMI-3) in preoperative discrimination between benign and malignant masses and also to reveal the most suitable cut off value. We have conducted a prospective study between November 2014 to October 2016. We included the parameters like menopausal status, ultrasound features, and serum levels of tumor marker like CA-125 for calculating RMI 3. Then RMI was compared with the histopathological report which was taken as gold standard.

RESULTS

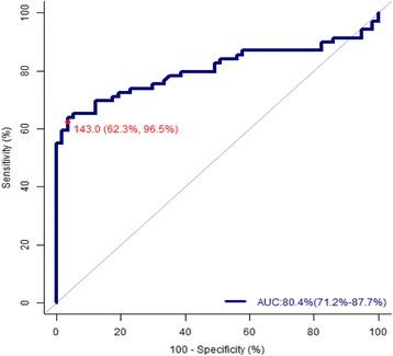
In the present study malignant tumors constitute 54.76% (69/126) & benign tumors 45.24% (57/126). Bilaterality in adnexal masses and multilocularity is higher in malignant tumors than benign tumor, but a P -value >0.005 failed to be proved significant in our study. Solid area is seen in 24.69% (20/81) of benign and 75.30% (61/81) of malignant tumor. Similarly ascites was found in 38.09% (48/126) of cases. Out of which 18.75% (9/48) cases were found to be benign and malignancy was confirmed in 81.25% (39/48) patients. There is statistically significant number of malignant ovarian cancer patients where ascites and solid area is seen in USG findings (p = 0.000). Risk of Malignancy Index compared with individual parameters of Ultrasound score, CA-125 or menopausal score and a cut-off point of 236 shows a very high sensitivity (72.5%), specificity (98.2%), positive predictive value (98.1%), negative predictive value (74.7%) and diagnostic accuracy (84.13%) for discriminating malignant and benign pelvic masses.

CONCLUSION

Simplicity and applicability of the method in the primary evaluation of patients with pelvic masses makes it a good option in daily clinical practice in non-specialized gynecologic departments and also in developing countries where access to a gynaecologist oncologist is limited.

摘要

背景

目前尚无普遍适用于鉴别附件区良恶性包块的方法。许多作者尝试了肿瘤标志物、影像学研究和细胞学检查,但尚无一种方法可明确筛查卵巢癌,目前已采用 RMI 联合诊断模式。基于此背景,我们开展了“评价风险恶性指数及其在附件区包块患者中的诊断价值”的研究。

方法

本研究旨在确定术前风险恶性指数(RMI-3)在鉴别良恶性包块中的有效性,并揭示最适宜的截断值。我们于 2014 年 11 月至 2016 年 10 月开展了一项前瞻性研究。纳入绝经状态、超声特征和血清肿瘤标志物 CA-125 等参数来计算 RMI-3。然后,将其与作为金标准的组织病理学报告进行比较。

结果

在本研究中,恶性肿瘤占 54.76%(69/126),良性肿瘤占 45.24%(57/126)。附件区包块的双侧性和多房性在恶性肿瘤中比良性肿瘤更为常见,但 P 值>0.005 未能证明其具有显著差异。良性肿瘤中 24.69%(20/81)有实性区,而恶性肿瘤中 75.30%(61/81)有实性区。同样,腹水见于 126 例中的 38.09%(48/126)。其中 18.75%(9/48)为良性,81.25%(39/48)为恶性肿瘤。在超声检查结果中,恶性卵巢癌患者中腹水和实性区的数量有统计学意义(p=0.000)。与超声评分、CA-125 或绝经评分的个别参数相比,风险恶性指数和 236 的截断值显示出非常高的灵敏度(72.5%)、特异性(98.2%)、阳性预测值(98.1%)、阴性预测值(74.7%)和诊断准确性(84.13%),可用于鉴别盆腔良恶性包块。

结论

该方法在盆腔包块患者的初步评估中具有简单易用的特点,使其成为非专科妇科和卵巢癌专科医生资源有限的发展中国家的常规临床实践中的良好选择。

https://cdn.ncbi.nlm.nih.gov/pmc/blobs/d674/5556625/abffb573e708/13048_2017_351_Fig2_HTML.jpg
https://cdn.ncbi.nlm.nih.gov/pmc/blobs/d674/5556625/2b475af3302a/13048_2017_351_Fig1_HTML.jpg
https://cdn.ncbi.nlm.nih.gov/pmc/blobs/d674/5556625/abffb573e708/13048_2017_351_Fig2_HTML.jpg
https://cdn.ncbi.nlm.nih.gov/pmc/blobs/d674/5556625/2b475af3302a/13048_2017_351_Fig1_HTML.jpg
https://cdn.ncbi.nlm.nih.gov/pmc/blobs/d674/5556625/abffb573e708/13048_2017_351_Fig2_HTML.jpg

相似文献

1
A prospective study to evaluate the risk malignancy index and its diagnostic implication in patients with suspected ovarian mass.一项前瞻性研究评估了可疑卵巢肿块患者的恶性肿瘤风险指数及其诊断意义。
J Ovarian Res. 2017 Aug 14;10(1):55. doi: 10.1186/s13048-017-0351-2.
2
Comparison of risk of malignancy index (RMI), CA125, CA 19-9, ultrasound score, and menopausal status in borderline ovarian tumor.交界性卵巢肿瘤中风险恶性指数(RMI)、CA125、CA19-9、超声评分和绝经状态的比较。
Gynecol Endocrinol. 2012 Jun;28(6):478-82. doi: 10.3109/09513590.2011.633663. Epub 2011 Nov 28.
3
Risk of malignancy index in preoperative evaluation of pelvic masses.盆腔肿块术前评估中的恶性肿瘤风险指数
Asian Pac J Cancer Prev. 2011;12(7):1727-30.
4
The risk of malignancy index in discrimination of adnexal masses.鉴别附件包块时的恶性肿瘤风险指数
Int J Gynaecol Obstet. 2007 Mar;96(3):186-91. doi: 10.1016/j.ijgo.2006.10.006. Epub 2007 Feb 5.
5
Evaluation of the risk malignancy index diagnostic value in patients with adnexal masses.附件包块患者中风险恶性肿瘤指数诊断价值的评估
Vojnosanit Pregl. 2011 Jul;68(7):589-93. doi: 10.2298/vsp1107589t.
6
The accuracy of risk malignancy index in prediction of malignancy in women with adnexal mass in Basrah, Iraq.伊拉克巴士拉附件包块女性中风险恶性肿瘤指数预测恶性肿瘤的准确性。
Niger J Clin Pract. 2018 Oct;21(10):1254-1259. doi: 10.4103/njcp.njcp_424_16.
7
Risk of malignancy index used as a diagnostic tool in a tertiary centre for patients with a pelvic mass.风险恶性指数作为一种诊断工具在一个三级中心的盆腔肿块患者。
Acta Obstet Gynecol Scand. 2012 Apr;91(4):496-502. doi: 10.1111/j.1600-0412.2012.01359.x. Epub 2012 Feb 22.
8
Ovarian fibroma/fibrothecoma: retrospective cohort study shows limited value of risk of malignancy index score.卵巢纤维瘤/纤维卵泡膜瘤:回顾性队列研究显示恶性风险指数评分价值有限。
Aust N Z J Obstet Gynaecol. 2013 Jun;53(3):287-92. doi: 10.1111/ajo.12090. Epub 2013 Apr 23.
9
Comparison of the diagnostic accuracy of International Ovarian Tumor Analysis simple rules and the risk of malignancy index to discriminate between benign and malignant adnexal masses.国际卵巢肿瘤分析简易规则与恶性肿瘤风险指数对鉴别附件良恶性肿块的诊断准确性比较。
Int J Gynaecol Obstet. 2019 Sep;146(3):364-369. doi: 10.1002/ijgo.12891. Epub 2019 Jul 9.
10
Role of a risk of malignancy index in clinical approaches to adnexal masses.恶性肿瘤风险指数在附件包块临床处理中的作用
Asian Pac J Cancer Prev. 2014;15(18):7793-7. doi: 10.7314/apjcp.2014.15.18.7793.

引用本文的文献

1
Risk of Ovarian Malignancy Algorithm and Pelvic Mass Score for the prediction of malignant ovarian tumors: a prospective comparative study.预测卵巢恶性肿瘤的卵巢恶性风险算法和盆腔肿块评分:一项前瞻性比较研究。
J Ultrason. 2024 Feb 7;24(94):1-8. doi: 10.15557/jou.2024.0001. eCollection 2024 Feb.
2
Relationships between CD34-, CD105- and bcl-2-Expression Levels and Contrast-Enhanced Ultrasound-Based Differential Diagnosis of Adnexal Tumours.CD34、CD105和bcl-2表达水平与基于超声造影的附件肿瘤鉴别诊断之间的关系
J Clin Med. 2023 Nov 28;12(23):7372. doi: 10.3390/jcm12237372.
3
Comparison of Four Risk of Malignancy Indices for Preoperative Evaluation of Ovarian Masses: A Prospective Observational Study.

本文引用的文献

1
Role of a risk of malignancy index in clinical approaches to adnexal masses.恶性肿瘤风险指数在附件包块临床处理中的作用
Asian Pac J Cancer Prev. 2014;15(18):7793-7. doi: 10.7314/apjcp.2014.15.18.7793.
2
Risk of malignancy index as an evaluation of preoperative pelvic mass.恶性风险指数用于术前盆腔肿物的评估。
Caspian J Intern Med. 2011 Fall;2(4):331-5.
3
Risk of malignancy index in preoperative evaluation of pelvic masses.盆腔肿块术前评估中的恶性肿瘤风险指数
四种卵巢肿物术前评估恶性风险指数的比较:一项前瞻性观察研究。
Cureus. 2023 Jul 7;15(7):e41539. doi: 10.7759/cureus.41539. eCollection 2023 Jul.
4
Accuracy of the risk of malignancy index-I in diagnosing ovarian malignancy in menopausal women.恶性风险指数-I在诊断绝经后女性卵巢恶性肿瘤中的准确性。
Prz Menopauzalny. 2023 Mar;22(1):1-5. doi: 10.5114/pm.2023.126435. Epub 2023 Apr 3.
5
Morphological parameters of ovarian masses and accuracy of the risk of malignancy index in diagnosing ovarian malignancy.卵巢肿块的形态学参数及恶性风险指数在诊断卵巢恶性肿瘤中的准确性。
Prz Menopauzalny. 2022 Jun;21(2):81-91. doi: 10.5114/pm.2022.116402. Epub 2022 May 24.
6
A comparison of the diagnostic performance of the O-RADS, RMI4, IOTA LR2, and IOTA SR systems by senior and junior doctors.资深医生和初级医生对O-RADS、RMI4、IOTA LR2和IOTA SR系统诊断性能的比较。
Ultrasonography. 2022 Jul;41(3):511-518. doi: 10.14366/usg.21237. Epub 2022 Jan 31.
7
[Huge ovarian tumor in a perimenopausal woman: a case report].[围绝经期女性的巨大卵巢肿瘤:一例报告]
Pan Afr Med J. 2021 Mar 2;38:232. doi: 10.11604/pamj.2021.38.232.28240. eCollection 2021.
8
Clinical and pathological features of women with adnexal masses admitted as emergency cases to the Gynaecology Department of West Kazakhstan University.哈萨克斯坦西部大学妇科收治的以急症入院的附件包块女性患者的临床及病理特征
Prz Menopauzalny. 2019 Dec;18(3):180-183. doi: 10.5114/pm.2019.90377. Epub 2019 Dec 4.
9
Is There a Role of Elevated CA 19-9 Levels in the Evaluation of Clinical Characteristics of Mature Cystic Ovarian Teratomas? A Systematic Review and Meta-analysis.CA 19-9水平升高在成熟性囊性卵巢畸胎瘤临床特征评估中是否起作用?一项系统评价和荟萃分析。
Cureus. 2019 Dec 10;11(12):e6342. doi: 10.7759/cureus.6342.
10
Diagnostic extended usefulness of RMI: comparison of four risk of malignancy index in preoperative differentiation of borderline ovarian tumors and benign ovarian tumors.RMI 的诊断扩展用途:比较四种卵巢肿瘤交界性和良性肿瘤术前鉴别风险的恶性指数。
J Ovarian Res. 2019 Sep 16;12(1):87. doi: 10.1186/s13048-019-0568-3.
Asian Pac J Cancer Prev. 2011;12(7):1727-30.
4
Comparison of serum human epididymis protein 4 with cancer antigen 125 as a tumor marker in patients with malignant and nonmalignant diseases.比较人附睾蛋白 4 与癌抗原 125 作为恶性和非恶性疾病患者的肿瘤标志物。
Clin Chem. 2011 Nov;57(11):1534-44. doi: 10.1373/clinchem.2010.157073. Epub 2011 Sep 20.
5
Evaluation of the risk malignancy index diagnostic value in patients with adnexal masses.附件包块患者中风险恶性肿瘤指数诊断价值的评估
Vojnosanit Pregl. 2011 Jul;68(7):589-93. doi: 10.2298/vsp1107589t.
6
Potential markers for detection and monitoring of ovarian cancer.卵巢癌的检测和监测的潜在标志物。
J Oncol. 2011;2011:475983. doi: 10.1155/2011/475983. Epub 2011 Apr 11.
7
Predictive value of symptoms for early detection of ovarian cancer.症状对卵巢癌早期检测的预测价值。
J Natl Cancer Inst. 2010 Feb 24;102(4):222-9. doi: 10.1093/jnci/djp500. Epub 2010 Jan 28.
8
The risk of malignancy index for ovarian tumours in Northeast Scotland--a population based study.苏格兰东北部卵巢肿瘤恶性风险指数——一项基于人群的研究。
Scott Med J. 2009 May;54(2):21-3. doi: 10.1258/rsmsmj.54.2.21.
9
Risk of malignancy index for adnexal masses.附件包块的恶性风险指数
Eur J Gynaecol Oncol. 2009;30(2):178-80.
10
Comparison of four malignancy risk indices in the preoperative evaluation of patients with pelvic masses.盆腔肿块患者术前评估中四种恶性风险指数的比较。
Eur J Obstet Gynecol Reprod Biol. 2009 Jun;144(2):163-7. doi: 10.1016/j.ejogrb.2009.02.048. Epub 2009 Mar 27.