Suppr超能文献

2000 年至 2013 年中国森林覆盖变化的多数据集估计结果不一致:参数、空间分辨率和定义存在差异。

Inconsistent estimates of forest cover change in China between 2000 and 2013 from multiple datasets: differences in parameters, spatial resolution, and definitions.

机构信息

Department of Atmospheric and Oceanic Science, University of Maryland, College Park, Maryland, 20742, USA.

The Institute for Physical Science and Technology, University of Maryland, College Park, Maryland, 20742, USA.

出版信息

Sci Rep. 2017 Aug 18;7(1):8748. doi: 10.1038/s41598-017-07732-5.

Abstract

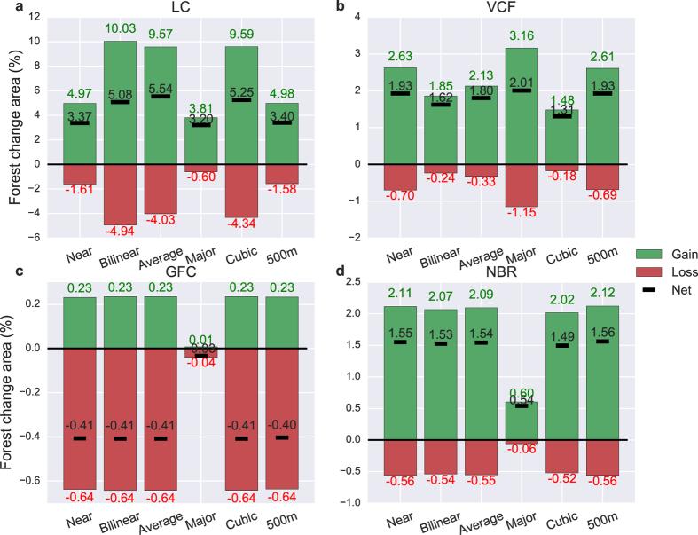
The Chinese National Forest Inventory (NFI) has reported increased forest coverage in China since 2000, however, the new satellite-based dataset Global Forest Change (GFC) finds decreased forest coverage. In this study, four satellite datasets are used to investigate this discrepancy in forest cover change estimates in China between 2000 and 2013: forest cover change estimated from MODIS Normalized Burn Ratio (NBR), existing MODIS Land Cover (LC) and Vegetation Continuous Fields (VCF) products, and the Landsat-based GFC. Among these satellite datasets, forest loss shows much better agreement in terms of total change area and spatial pattern than do forest gain. The net changes in forest cover as a proportion of China's land area varied widely from increases of 1.56% in NBR, 1.93% in VCF, and 3.40% in LC to a decline of -0.40% in GFC. The magnitude of net forest increase derived from MODIS datasets (1.56-3.40%) is lower than that reported in NFI (3.41%). Algorithm parameters, different spatial resolutions, and inconsistent forest definitions could be important sources of the discrepancies. Although several MODIS datasets support an overall forest increase in China, the direction and magnitude of net forest change is still unknown due to the large uncertainties in satellite-derived estimates.

摘要

中国国家森林资源清查(NFI)自 2000 年以来报告中国森林覆盖率增加,但新的基于卫星的全球森林变化数据集(GFC)发现森林覆盖率下降。在本研究中,使用了四个卫星数据集来调查 2000 年至 2013 年期间中国森林覆盖变化估计值之间的这种差异:从 MODIS 归一化燃烧比(NBR)、现有的 MODIS 土地覆盖(LC)和植被连续字段(VCF)产品以及基于 Landsat 的 GFC 估算的森林覆盖变化;在这些卫星数据集中,森林损失在总变化面积和空间格局方面与森林增益的一致性要好得多。森林覆盖净变化占中国土地面积的比例变化很大,从 NBR 的增加 1.56%、VCF 的增加 1.93%和 LC 的增加 3.40%到 GFC 的减少-0.40%不等。MODIS 数据集得出的净森林增加幅度(1.56-3.40%)低于 NFI(3.41%)报告的幅度。算法参数、不同的空间分辨率和不一致的森林定义可能是差异的重要来源。尽管几个 MODIS 数据集支持中国整体森林增加,但由于卫星衍生估计值存在较大不确定性,净森林变化的方向和幅度仍不清楚。

https://cdn.ncbi.nlm.nih.gov/pmc/blobs/e300/5562877/eb0da09e6e50/41598_2017_7732_Fig1_HTML.jpg

文献AI研究员

20分钟写一篇综述,助力文献阅读效率提升50倍。

立即体验

用中文搜PubMed

大模型驱动的PubMed中文搜索引擎

马上搜索

文档翻译

学术文献翻译模型,支持多种主流文档格式。

立即体验