Suppr超能文献

香草酸对暴露于颗粒物的缺血再灌注离体大鼠心脏的血流动力学参数、丙二醛和梗死面积的心脏保护作用。

The cardioprotective effect of vanillic acid on hemodynamic parameters, malondialdehyde, and infarct size in ischemia-reperfusion isolated rat heart exposed to PM.

作者信息

Radmanesh Esmat, Dianat Mahin, Badavi Mohammad, Goudarzi Gholamreza, Mard Seyyed Ali

机构信息

Physiology Research Center and Department of Physiology, Faculty of Medicine, Ahvaz Jundishapur University of Medical Sciences, Ahvaz, Iran.

Department of Environmental Health Engineering, Health Faculty, Ahvaz Jundishapur University of Medical Sciences, Ahvaz, Iran.

出版信息

Iran J Basic Med Sci. 2017 Jul;20(7):760-768. doi: 10.22038/IJBMS.2017.9007.

Abstract

OBJECTIVES

Particulate matter (PM) exposure can promote cardiac ischemia and myocardial damage. The effects of PM on hemodynamic parameters, lipid peroxidation, and infarct size induced by ischemia-reperfusion injury and the protective effects of vanillic acid (VA) in isolated rat heart were investigated.

MATERIALS AND METHODS

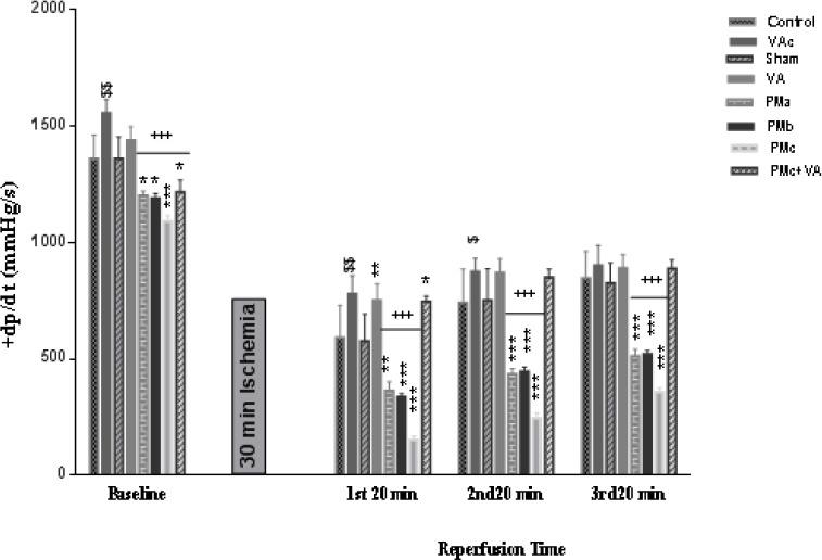
Eighty male Wistar rats (250-300 g) were divided into 8 groups (n=10): Control, Sham, VAc, VA, PMa (0.5 mg/kg PM, intratracheal instillation), PMb (2.5 mg/kg PM, intratracheal instillation), PMc (5 mg/kg PM, intratracheal instillation), and PMc + VA (5 mg/kg PM, intratracheal instillation; and 10 mg/kg vanillic acid, gavage for 10 days). PM was instilled into the trachea in two stages, within 48 hr. After isolating the hearts and transfer to a Langendorff apparatus, hearts were subjected to 30 min ischemia and 60 min reperfusion. Hemodynamic parameters (±dp/dt, LVSP, LVDP, and RPP), production of lipid peroxidation (MDA), and infarct size were assessed.

RESULTS

A significant decrease in ±dp/dt, LVSP, LVDP and RPP occurred in PM groups. A significant increase in MDA and myocardial infarct size occurred in PM groups. A significant increase in LVDP, LVSP, ±dp/dt, RPP and decrease in infarct size, MDA, and myocardial dysfunction was observed in groups that received vanillic acid after ischemia-reperfusion.

CONCLUSION

It was demonstrated that PM increases MDA, as well as the percentage of cardiac infarct size, and has negative effects on hemodynamic parameters. This study suggests that vanillic acid may serve as an adjunctive treatment in delaying the progression of ischemic heart disease.

摘要

目的

暴露于颗粒物(PM)可促进心脏缺血和心肌损伤。研究了PM对缺血再灌注损伤诱导的血流动力学参数、脂质过氧化和梗死面积的影响,以及香草酸(VA)对离体大鼠心脏的保护作用。

材料与方法

80只雄性Wistar大鼠(250 - 300 g)分为8组(n = 10):对照组、假手术组、VAc组、VA组、PMa组(经气管内滴注0.5 mg/kg PM)、PMb组(经气管内滴注2.5 mg/kg PM)、PMc组(经气管内滴注5 mg/kg PM)和PMc + VA组(经气管内滴注5 mg/kg PM;并经灌胃给予10 mg/kg香草酸,持续10天)。在48小时内分两个阶段将PM滴注到气管内。分离心脏并转移至Langendorff装置后,心脏经历30分钟缺血和60分钟再灌注。评估血流动力学参数(±dp/dt、LVSP、LVDP和RPP)、脂质过氧化产物(MDA)和梗死面积。

结果

PM组的±dp/dt、LVSP、LVDP和RPP显著降低。PM组的MDA和心肌梗死面积显著增加。在缺血再灌注后接受香草酸的组中,观察到LVDP、LVSP、±dp/dt、RPP显著增加,梗死面积、MDA和心肌功能障碍减少。

结论

结果表明,PM增加了MDA以及心脏梗死面积百分比,并对血流动力学参数有负面影响。本研究表明,香草酸可能作为辅助治疗用于延缓缺血性心脏病的进展。

https://cdn.ncbi.nlm.nih.gov/pmc/blobs/42f0/5569588/36be26c7e315/IJBMS-20-761-g001.jpg

文献AI研究员

20分钟写一篇综述,助力文献阅读效率提升50倍。

立即体验

用中文搜PubMed

大模型驱动的PubMed中文搜索引擎

马上搜索

文档翻译

学术文献翻译模型,支持多种主流文档格式。

立即体验