Suppr超能文献

氯沙坦与香草酸联合应用对离体大鼠心脏缺血再灌注诱导的氧化应激的影响。

Effects of losartan and vanillic Acid co-administration on ischemia-reperfusion-induced oxidative stress in isolated rat heart.

作者信息

Dianat Mahin, Hamzavi Gholam Reza, Badavi Mohammad, Samarbafzadeh Alireza

机构信息

Physiology Research Center, Department of Physiology, Faculty of Medicine, Ahvaz Jundishapur University of Medical Sciences, Ahvaz, IR Iran.

Physiology Research Center, Department of Physiology, Faculty of Medicine, Ahvaz Jundishapur University of Medical Sciences, Ahvaz, IR Iran ; Diabetes Research Center, Faculty of Medicine, Ahvaz Jundishapur University of Medical Sciences, Ahvaz, IR Iran.

出版信息

Iran Red Crescent Med J. 2014 Jul;16(7):e16664. doi: 10.5812/ircmj.16664. Epub 2014 Jul 5.

Abstract

BACKGROUND

Experimental studies have demonstrated that angiotensin II (ANG-II)-induced oxidative stress contributes to the pathogenesis of I/R injury.

OBJECTIVES

This study was aimed to investigate the protective effects of co-administration of losartan, as a selective ANG-II type 1 receptor (AT1R) blocker, and vanillic acid (VA), as an antioxidant, in I/R-induced oxidative stress in isolated rat heart.

MATERIALS AND METHODS

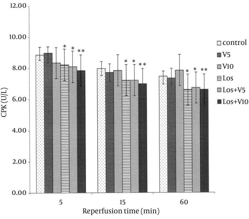
Adult male Wistar rats were randomly divided to sham, control, and five treatment groups (n = 10). Two doses of VA (5 and 10 mg/kg), one dose of losartan (20 mg/kg) alone, and one dose of losartan in combination with either doses of VA were administered orally for 10 days. The hearts were isolated and exposed to 30 minutes ischemia and 60 minutes reperfusion, using Langendorff apparatus. I/R-induced myocardial injury was assessed by estimating the release of lactate dehydrogenase (LDH), creatine phosphokinase (CPK) and myocardial creatine kinase (CK-MB) in coronary effluent at 5, 15, and 60 minutes of reperfusion. The oxidative stress in the hearts was assessed by estimating malondialdehyde (MDA). The effects of treatments on endogenous antioxidant enzymes were assessed by measuring superoxide dismutase (SOD), glutathione peroxidase (GPx) and catalase (CAT).

RESULTS

There was a more significant decrease in the levels of LDH, CPK, CK-MB, and MDA as well as increase in the levels of SOD, CAT and GPx in groups that had received combined treatment in comparison to VA or losartan alone.

CONCLUSIONS

It may be concluded that combination of losartan with higher dose of VA decreases ischemic markers and lipid peroxidation and augments endogenous antioxidant and hence, protects myocardium against I/R-induced oxidative stress injuries.

摘要

背景

实验研究表明,血管紧张素II(ANG-II)诱导的氧化应激参与了缺血/再灌注(I/R)损伤的发病机制。

目的

本研究旨在探讨联合使用作为选择性ANG-II 1型受体(AT1R)阻滞剂的氯沙坦和作为抗氧化剂的香草酸(VA)对离体大鼠心脏I/R诱导的氧化应激的保护作用。

材料与方法

成年雄性Wistar大鼠随机分为假手术组、对照组和五个治疗组(n = 10)。口服给予两剂VA(5和10 mg/kg)、一剂单独的氯沙坦(20 mg/kg)以及一剂氯沙坦与任一剂量VA的组合,持续10天。使用Langendorff装置分离心脏并使其经历30分钟缺血和60分钟再灌注。在再灌注的5、15和60分钟时,通过估计冠状动脉流出液中乳酸脱氢酶(LDH)、肌酸磷酸激酶(CPK)和心肌肌酸激酶(CK-MB)的释放来评估I/R诱导的心肌损伤。通过估计丙二醛(MDA)来评估心脏中的氧化应激。通过测量超氧化物歧化酶(SOD)、谷胱甘肽过氧化物酶(GPx)和过氧化氢酶(CAT)来评估治疗对内源性抗氧化酶的影响。

结果

与单独使用VA或氯沙坦的组相比,接受联合治疗的组中LDH、CPK、CK-MB和MDA水平的下降更为显著,同时SOD、CAT和GPx水平升高。

结论

可以得出结论,氯沙坦与较高剂量的VA联合使用可降低缺血标志物和脂质过氧化,并增强内源性抗氧化作用,从而保护心肌免受I/R诱导的氧化应激损伤。

https://cdn.ncbi.nlm.nih.gov/pmc/blobs/cf18/4166089/bee5de708d4e/ircmj-16-16664-i001.jpg

文献AI研究员

20分钟写一篇综述,助力文献阅读效率提升50倍。

立即体验

用中文搜PubMed

大模型驱动的PubMed中文搜索引擎

马上搜索

文档翻译

学术文献翻译模型,支持多种主流文档格式。

立即体验