• 文献检索
  • 文档翻译
  • 深度研究
  • 学术资讯
  • Suppr Zotero 插件Zotero 插件
  • 邀请有礼
  • 套餐&价格
  • 历史记录
应用&插件
Suppr Zotero 插件Zotero 插件浏览器插件Mac 客户端Windows 客户端微信小程序
定价
高级版会员购买积分包购买API积分包
服务
文献检索文档翻译深度研究API 文档MCP 服务
关于我们
关于 Suppr公司介绍联系我们用户协议隐私条款
关注我们

Suppr 超能文献

核心技术专利:CN118964589B侵权必究
粤ICP备2023148730 号-1Suppr @ 2026

文献检索

告别复杂PubMed语法,用中文像聊天一样搜索,搜遍4000万医学文献。AI智能推荐,让科研检索更轻松。

立即免费搜索

文件翻译

保留排版,准确专业,支持PDF/Word/PPT等文件格式,支持 12+语言互译。

免费翻译文档

深度研究

AI帮你快速写综述,25分钟生成高质量综述,智能提取关键信息,辅助科研写作。

立即免费体验

新型四席夫碱作为聚氯乙烯的高效光稳定剂。

New Tetra-Schiff Bases as Efficient Photostabilizers for Poly(vinyl chloride).

机构信息

Department of Chemistry, College of Science, Tikrit University, Tikrit 34001, Iraq.

Department of Optometry, College of Applied Medical Sciences, King Saud University, P.O. Box 10219, Riyadh 11433, Saudi Arabia.

出版信息

Molecules. 2017 Sep 9;22(9):1506. doi: 10.3390/molecules22091506.

DOI:10.3390/molecules22091506
PMID:28891944
原文链接:https://pmc.ncbi.nlm.nih.gov/articles/PMC6151724/
Abstract

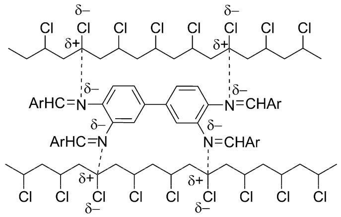
Three new tetra-Schiff bases were synthesized and characterized to be used as photostabilizers for poly(vinyl chloride) (PVC) films. The photostability of PVC films (40 μm thickness) in the presence of Schiff bases (0.5 wt %) upon irradiation (300 h) with a UV light (λ = 365 nm and light intensity = 6.43 × 10 ein∙dm∙s) was examined using various spectroscopic measurements and surface morphology analysis. The changes in various functional groups' indices, weight and viscosity average molecular weight of PVC films were monitored against irradiation time. The additives used showed photostability for PVC films, with Schiff base being the most effective additive upon irradiation, followed by and . The atomic force microscopy (AFM) images for the PVC surface containing Schiff base after irradiation were found to be smooth, with a roughness factor (q) of 36.8, compared to 132.2 for the PVC (blank). Several possible mechanisms that explain PVC photostabilization upon irradiation in the presence of tetra-Schiff bases were proposed.

摘要

合成了三个新的四席夫碱,并将其表征为聚氯乙烯(PVC)薄膜的光稳定剂。通过各种光谱测量和表面形貌分析,研究了在 365nm 紫外光(光强度=6.43×10 ein∙dm∙s)照射下,含有席夫碱(0.5wt%)的 PVC 薄膜(40μm 厚)的光稳定性。监测了 PVC 薄膜在辐照时间内各种官能团指数、重量和重均分子量的变化。所用添加剂对 PVC 薄膜表现出光稳定性,其中席夫碱 在辐照时最有效,其次是 和 。发现辐照后含有席夫碱 的 PVC 表面的原子力显微镜(AFM)图像是光滑的,粗糙度因子(q)为 36.8,而空白 PVC(空白)的 q 值为 132.2。提出了几种可能的机制来解释在四席夫碱存在下辐照时 PVC 的光稳定化。

https://cdn.ncbi.nlm.nih.gov/pmc/blobs/5c33/6151724/851a71ba8302/molecules-22-01506-sch005.jpg
https://cdn.ncbi.nlm.nih.gov/pmc/blobs/5c33/6151724/271f30e30566/molecules-22-01506-sch001.jpg
https://cdn.ncbi.nlm.nih.gov/pmc/blobs/5c33/6151724/d16ff229bd3f/molecules-22-01506-g001.jpg
https://cdn.ncbi.nlm.nih.gov/pmc/blobs/5c33/6151724/a26a84133249/molecules-22-01506-g002.jpg
https://cdn.ncbi.nlm.nih.gov/pmc/blobs/5c33/6151724/a0642f076dd0/molecules-22-01506-g003.jpg
https://cdn.ncbi.nlm.nih.gov/pmc/blobs/5c33/6151724/675dd111e488/molecules-22-01506-g004.jpg
https://cdn.ncbi.nlm.nih.gov/pmc/blobs/5c33/6151724/8d236c149958/molecules-22-01506-g005.jpg
https://cdn.ncbi.nlm.nih.gov/pmc/blobs/5c33/6151724/5b89edc4e885/molecules-22-01506-g006.jpg
https://cdn.ncbi.nlm.nih.gov/pmc/blobs/5c33/6151724/f30b6baff48b/molecules-22-01506-g007.jpg
https://cdn.ncbi.nlm.nih.gov/pmc/blobs/5c33/6151724/9a5132d9b1b9/molecules-22-01506-g008.jpg
https://cdn.ncbi.nlm.nih.gov/pmc/blobs/5c33/6151724/58d1a3b69fb1/molecules-22-01506-g009.jpg
https://cdn.ncbi.nlm.nih.gov/pmc/blobs/5c33/6151724/79ce8884703d/molecules-22-01506-g010.jpg
https://cdn.ncbi.nlm.nih.gov/pmc/blobs/5c33/6151724/41b5b985f5b6/molecules-22-01506-g011.jpg
https://cdn.ncbi.nlm.nih.gov/pmc/blobs/5c33/6151724/502c19a9b284/molecules-22-01506-g012.jpg
https://cdn.ncbi.nlm.nih.gov/pmc/blobs/5c33/6151724/b98ceafa477b/molecules-22-01506-sch002.jpg
https://cdn.ncbi.nlm.nih.gov/pmc/blobs/5c33/6151724/920a6fe7f18a/molecules-22-01506-sch003.jpg
https://cdn.ncbi.nlm.nih.gov/pmc/blobs/5c33/6151724/a58edf6580c5/molecules-22-01506-sch004.jpg
https://cdn.ncbi.nlm.nih.gov/pmc/blobs/5c33/6151724/851a71ba8302/molecules-22-01506-sch005.jpg
https://cdn.ncbi.nlm.nih.gov/pmc/blobs/5c33/6151724/271f30e30566/molecules-22-01506-sch001.jpg
https://cdn.ncbi.nlm.nih.gov/pmc/blobs/5c33/6151724/d16ff229bd3f/molecules-22-01506-g001.jpg
https://cdn.ncbi.nlm.nih.gov/pmc/blobs/5c33/6151724/a26a84133249/molecules-22-01506-g002.jpg
https://cdn.ncbi.nlm.nih.gov/pmc/blobs/5c33/6151724/a0642f076dd0/molecules-22-01506-g003.jpg
https://cdn.ncbi.nlm.nih.gov/pmc/blobs/5c33/6151724/675dd111e488/molecules-22-01506-g004.jpg
https://cdn.ncbi.nlm.nih.gov/pmc/blobs/5c33/6151724/8d236c149958/molecules-22-01506-g005.jpg
https://cdn.ncbi.nlm.nih.gov/pmc/blobs/5c33/6151724/5b89edc4e885/molecules-22-01506-g006.jpg
https://cdn.ncbi.nlm.nih.gov/pmc/blobs/5c33/6151724/f30b6baff48b/molecules-22-01506-g007.jpg
https://cdn.ncbi.nlm.nih.gov/pmc/blobs/5c33/6151724/9a5132d9b1b9/molecules-22-01506-g008.jpg
https://cdn.ncbi.nlm.nih.gov/pmc/blobs/5c33/6151724/58d1a3b69fb1/molecules-22-01506-g009.jpg
https://cdn.ncbi.nlm.nih.gov/pmc/blobs/5c33/6151724/79ce8884703d/molecules-22-01506-g010.jpg
https://cdn.ncbi.nlm.nih.gov/pmc/blobs/5c33/6151724/41b5b985f5b6/molecules-22-01506-g011.jpg
https://cdn.ncbi.nlm.nih.gov/pmc/blobs/5c33/6151724/502c19a9b284/molecules-22-01506-g012.jpg
https://cdn.ncbi.nlm.nih.gov/pmc/blobs/5c33/6151724/b98ceafa477b/molecules-22-01506-sch002.jpg
https://cdn.ncbi.nlm.nih.gov/pmc/blobs/5c33/6151724/920a6fe7f18a/molecules-22-01506-sch003.jpg
https://cdn.ncbi.nlm.nih.gov/pmc/blobs/5c33/6151724/a58edf6580c5/molecules-22-01506-sch004.jpg
https://cdn.ncbi.nlm.nih.gov/pmc/blobs/5c33/6151724/851a71ba8302/molecules-22-01506-sch005.jpg

相似文献

1
New Tetra-Schiff Bases as Efficient Photostabilizers for Poly(vinyl chloride).新型四席夫碱作为聚氯乙烯的高效光稳定剂。
Molecules. 2017 Sep 9;22(9):1506. doi: 10.3390/molecules22091506.
2
Poly(vinyl Chloride) Photostabilization in the Presence of Schiff Bases Containing a Thiadiazole Moiety.含噻二唑部分席夫碱的聚氯乙烯光稳定化。
Molecules. 2018 Apr 15;23(4):913. doi: 10.3390/molecules23040913.
3
The Morphology and Performance of Poly(Vinyl Chloride) Containing Melamine Schiff Bases against Ultraviolet Light.聚氯乙烯含三聚氰胺席夫碱的形态和性能对紫外线的影响。
Molecules. 2019 Feb 22;24(4):803. doi: 10.3390/molecules24040803.
4
Photostabilizing Efficiency of PVC in the Presence of Schiff Bases as Photostabilizers.席夫碱作为光稳定剂存在时聚氯乙烯的光稳定效率
Molecules. 2015 Nov 4;20(11):19886-99. doi: 10.3390/molecules201119665.
5
The Effect of Ultraviolet Irradiation on the Physicochemical Properties of Poly(vinyl Chloride) Films Containing Organotin(IV) Complexes as Photostabilizers.含有机锡(IV)配合物的聚氯乙烯薄膜的紫外光辐射对其物理化学性质的影响。
Molecules. 2018 Jan 28;23(2):254. doi: 10.3390/molecules23020254.
6
Photostabilizing Efficiency of Poly(vinyl chloride) in the Presence of Organotin(IV) Complexes as Photostabilizers.有机锡(IV)配合物作为光稳定剂存在下聚氯乙烯的光稳定效率
Molecules. 2016 Aug 30;21(9):1151. doi: 10.3390/molecules21091151.
7
Polyphosphates as Inhibitors for Poly(vinyl Chloride) Photodegradation.多聚磷酸盐作为聚氯乙烯光降解抑制剂。
Molecules. 2017 Oct 28;22(11):1849. doi: 10.3390/molecules22111849.
8
Photostabilization of Poly(vinyl chloride) by Organotin(IV) Compounds against Photodegradation.有机锡(IV)化合物对聚氯乙烯的光稳定化作用及其光降解。
Molecules. 2019 Oct 1;24(19):3557. doi: 10.3390/molecules24193557.
9
Long-Term Effect of Ultraviolet Irradiation on Poly(vinyl chloride) Films Containing Naproxen Diorganotin(IV) Complexes.含萘普生二有机锡(IV)配合物的聚(氯乙烯)薄膜的长期紫外线辐射效应。
Molecules. 2019 Jun 28;24(13):2396. doi: 10.3390/molecules24132396.
10
Spectroscopic, Physical and Topography of Photochemical Process of PVC Films in the Presence of Schiff Base Metal Complexes.席夫碱金属配合物存在下PVC薄膜光化学过程的光谱、物理及形貌研究
Polymers (Basel). 2016 May 25;8(6):204. doi: 10.3390/polym8060204.

引用本文的文献

1
Synthesis, crystal structure, thermal stability and biological study of bis{(2-methoxy-6-[(E)-(propylimino)methyl]phenolato}nickel(II) complex.双{(2-甲氧基-6-[(E)-(丙基亚氨基)甲基]苯酚根}镍(II)配合物的合成、晶体结构、热稳定性及生物学研究
Heliyon. 2024 Jan 9;10(2):e24108. doi: 10.1016/j.heliyon.2024.e24108. eCollection 2024 Jan 30.
2
Modifications of Polymers through the Addition of Ultraviolet Absorbers to Reduce the Aging Effect of Accelerated and Natural Irradiation.通过添加紫外线吸收剂对聚合物进行改性以降低加速辐照和自然辐照的老化效应。
Polymers (Basel). 2021 Dec 22;14(1):20. doi: 10.3390/polym14010020.
3
Substituted Organotin Complexes of 4-Methoxybenzoic Acid for Reduction of Poly(vinyl Chloride) Photodegradation.

本文引用的文献

1
Spectroscopic, Physical and Topography of Photochemical Process of PVC Films in the Presence of Schiff Base Metal Complexes.席夫碱金属配合物存在下PVC薄膜光化学过程的光谱、物理及形貌研究
Polymers (Basel). 2016 May 25;8(6):204. doi: 10.3390/polym8060204.
2
New Eco-Friendly Phosphorus Organic Polymers as Gas Storage Media.新型环保型磷有机聚合物作为气体储存介质
Polymers (Basel). 2017 Aug 3;9(8):336. doi: 10.3390/polym9080336.
3
Photostabilizing Efficiency of Poly(vinyl chloride) in the Presence of Organotin(IV) Complexes as Photostabilizers.
用于减少聚氯乙烯光降解的4-甲氧基苯甲酸取代有机锡配合物
Polymers (Basel). 2021 Nov 15;13(22):3946. doi: 10.3390/polym13223946.
4
Effect of Ultraviolet Irradiation on Polystyrene Containing Cephalexin Schiff Bases.紫外线照射对含头孢氨苄席夫碱的聚苯乙烯的影响。
Polymers (Basel). 2021 Sep 2;13(17):2982. doi: 10.3390/polym13172982.
5
Tin Complexes of 4-(Benzylideneamino)benzenesulfonamide: Synthesis, Structure Elucidation and Their Efficiency as PVC Photostabilizers.4-(亚苄基氨基)苯磺酰胺的锡配合物:合成、结构解析及其作为聚氯乙烯光稳定剂的效能
Polymers (Basel). 2021 Jul 23;13(15):2434. doi: 10.3390/polym13152434.
6
Tin-Naphthalene Sulfonic Acid Complexes as Photostabilizers for Poly(vinyl chloride).锡-萘磺酸复合物作为聚氯乙烯的光稳定剂。
Molecules. 2021 Jun 14;26(12):3629. doi: 10.3390/molecules26123629.
7
Synthesis of Carvedilol-Organotin Complexes and Their Effects on Reducing Photodegradation of Poly(Vinyl Chloride).卡维地洛有机锡配合物的合成及其对聚氯乙烯光降解的抑制作用
Polymers (Basel). 2021 Feb 6;13(4):500. doi: 10.3390/polym13040500.
8
Tin Complexes Containing an Atenolol Moiety as Photostabilizers for Poly(Vinyl Chloride).含阿替洛尔部分的锡配合物作为聚氯乙烯的光稳定剂
Polymers (Basel). 2020 Dec 6;12(12):2923. doi: 10.3390/polym12122923.
9
Protection of Poly(Vinyl Chloride) Films against Photodegradation Using Various Valsartan Tin Complexes.使用各种缬沙坦锡配合物保护聚氯乙烯薄膜免受光降解
Polymers (Basel). 2020 Apr 21;12(4):969. doi: 10.3390/polym12040969.
10
Influence of Polyphosphates on the Physicochemical Properties of Poly (Vinyl Chloride) after Irradiation with Ultraviolet Light.聚磷酸盐对聚氯乙烯经紫外线辐照后物理化学性质的影响
Polymers (Basel). 2020 Jan 10;12(1):193. doi: 10.3390/polym12010193.
有机锡(IV)配合物作为光稳定剂存在下聚氯乙烯的光稳定效率
Molecules. 2016 Aug 30;21(9):1151. doi: 10.3390/molecules21091151.
4
Biodegradation of different formulations of polyhydroxybutyrate films in soil.聚羟基丁酸酯薄膜不同配方在土壤中的生物降解
Springerplus. 2016 Jun 17;5(1):762. doi: 10.1186/s40064-016-2480-2. eCollection 2016.
5
Photostabilizing Efficiency of PVC in the Presence of Schiff Bases as Photostabilizers.席夫碱作为光稳定剂存在时聚氯乙烯的光稳定效率
Molecules. 2015 Nov 4;20(11):19886-99. doi: 10.3390/molecules201119665.
6
Pathways for degradation of plastic polymers floating in the marine environment.海洋环境中漂浮的塑料聚合物的降解途径。
Environ Sci Process Impacts. 2015 Sep;17(9):1513-21. doi: 10.1039/c5em00207a. Epub 2015 Jul 28.
7
Synthesis and surface modification of polyurethanes with chitosan for antibacterial properties.壳聚糖基聚氨酯的合成及其抗菌性能的表面改性。
Carbohydr Polym. 2014 Nov 4;112:39-47. doi: 10.1016/j.carbpol.2014.05.019. Epub 2014 May 23.
8
New photostabilizers for polystyrene based on 2,3-dihydro-(5-mercapto-1,3,4-oxadiazol-2-yl)-phenyl-2-(substituted)-1,3,4-oxazepine- 4,7-dione compounds.基于2,3 - 二氢 -(5 - 巯基 - 1,3,4 - 恶二唑 - 2 - 基)- 苯基 - 2 -(取代)- 1,3,4 - 恶唑并[4,5 - d]氮杂卓 - 4,7 - 二酮化合物的新型聚苯乙烯光稳定剂
Springerplus. 2013 Dec;2(1):104. doi: 10.1186/2193-1801-2-104. Epub 2013 Mar 12.
9
Novel antimicrobial organic thermal stabilizer and co-stabilizer for rigid PVC.新型刚性聚氯乙烯用抗菌性有机热稳定剂和协同稳定剂。
Molecules. 2012 Jul 2;17(7):7927-40. doi: 10.3390/molecules17077927.
10
Atomic force microscope.原子力显微镜
Phys Rev Lett. 1986 Mar 3;56(9):930-933. doi: 10.1103/PhysRevLett.56.930.