Suppr超能文献

漆树科植物树皮提取物对组胺诱导的爪部水肿和回肠平滑肌收缩的影响。

The Effect of Raddi (Anacardiaceae) Bark Extract on Histamine-Induced Paw Edema and Ileum Smooth Muscle Contraction.

作者信息

Nunes-Neto Paulo Alexandre, Peixoto-Sobrinho Tadeu José da Silva, da Silva Júnior Edilson Dantas, Leopoldina da Silva Jamilka, Rodrigo da Silva Oliveira Alisson, Pupo André Sampaio, Araújo Alice Valença, da Costa-Silva João Henrique, Wanderley Almir Gonçalves

机构信息

Department of Pharmaceutical Sciences, Federal University of Pernambuco, Recife, PE, Brazil.

Department of Pharmacology, Federal University of São Paulo, São Paulo, SP, Brazil.

出版信息

Evid Based Complement Alternat Med. 2017;2017:1416375. doi: 10.1155/2017/1416375. Epub 2017 Aug 27.

Abstract

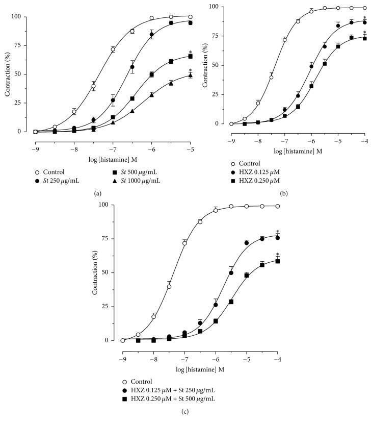
Raddi (Anacardiaceae), popularly known as red aroeira, is used in traditional medicine to treat inflammatory, gastric, and respiratory disorders. The aim of this study was to evaluate the antihistaminic activity of bark extract by using in vivo and in vitro experimental models. The effects of were investigated on contractions induced by histamine, carbachol, and potassium chloride in isolated guinea pig ileum. was also studied in response to hind paw edema induced by histamine in rats. Experiments revealed that although (250, 500, and 1,000 g/mL) reduced the histamine-induced contractions by 9.1 ± 1.8, 50.2 ± 2.0, and 68.9 ± 2.0%, respectively, it did not inhibit contractions induced by carbachol or KCl. The association of (250 and 500 g/mL) with hydroxyzine, an H-antihistamine (0.125 and 0.250 M), increased the inhibitory effect to 67.0 ± 3.2 and 85.1 ± 2.1%, respectively. Moreover, (100, 200, and 400 mg/kg) decreased paw edema from its peak by 33.9, 48.4, and 54.8%, respectively, whereas hydroxyzine (70 mg/kg) inhibited the peak edema by 56.5%. Altogether, the results suggest that the bark extract of has an antihistaminic effect (H).

摘要

拉迪(漆树科),俗称红阿罗埃拉,在传统医学中用于治疗炎症、胃部和呼吸道疾病。本研究的目的是通过体内和体外实验模型评估其树皮提取物的抗组胺活性。研究了该提取物对组胺、卡巴胆碱和氯化钾诱导的离体豚鼠回肠收缩的影响。还研究了该提取物对大鼠组胺诱导的后爪水肿的反应。实验表明,尽管该提取物(250、500和1000μg/mL)分别使组胺诱导的收缩降低了9.1±1.8%、50.2±2.0%和68.9±2.0%,但它并未抑制卡巴胆碱或氯化钾诱导的收缩。该提取物(250和500μg/mL)与H1抗组胺药羟嗪(0.125和0.250M)联合使用时,抑制作用分别提高到67.0±3.2%和85.1±2.1%。此外,该提取物(100、200和400mg/kg)分别使爪水肿从峰值降低了33.9%、48.4%和54.8%,而羟嗪(70mg/kg)抑制峰值水肿的程度为56.5%。总之,结果表明该植物的树皮提取物具有抗组胺作用(H1)。

https://cdn.ncbi.nlm.nih.gov/pmc/blobs/ea96/5592001/c7436d4cfa0d/ECAM2017-1416375.001.jpg

文献检索

告别复杂PubMed语法,用中文像聊天一样搜索,搜遍4000万医学文献。AI智能推荐,让科研检索更轻松。

立即免费搜索

文件翻译

保留排版,准确专业,支持PDF/Word/PPT等文件格式,支持 12+语言互译。

免费翻译文档

深度研究

AI帮你快速写综述,25分钟生成高质量综述,智能提取关键信息,辅助科研写作。

立即免费体验