Suppr超能文献

存在 Gleason 5 级时接受和未接受确定性局部治疗的前列腺癌死亡风险:一项监测、流行病学和最终结果分析。

Risk of Death from Prostate Cancer with and without Definitive Local Therapy when Gleason Pattern 5 is Present: A Surveillance, Epidemiology, and End Results Analysis.

作者信息

Frandsen Jonathan, Orton Andrew, Shrieve Dennis, Tward Jonathan

机构信息

Radiation Oncology, University of Utah Huntsman Cancer Hospital.

出版信息

Cureus. 2017 Jul 10;9(7):e1453. doi: 10.7759/cureus.1453.

Abstract

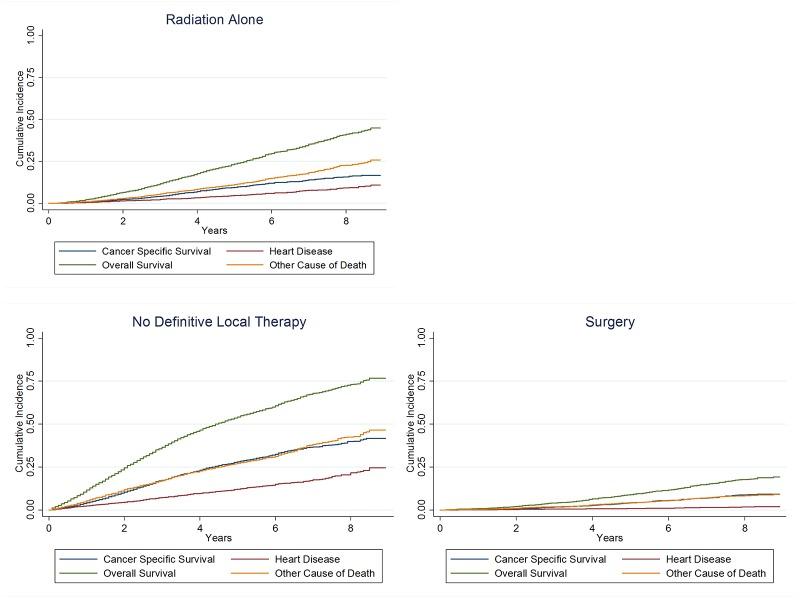
Purpose The purpose is to evaluate the patterns of care and comparative effectiveness for cause-specific and overall survival of definitive local treatments versus conservatively managed men with a primary or secondary Gleason pattern of 5. Methods and materials Patients diagnosed from 2004 to 2012 with a primary or secondary Gleason pattern of 5 N0M0 prostate cancer were extracted from the Surveillance, Epidemiology, and End Results (SEER) database. Kaplan-Meier and Cox regression analyses were used to estimate the survival. Results We identified 20,560 men. Median age and follow-up were 68 years and 4.33 years, respectively. At eight years, cause-specific survival (CSS) was 86.6% and 57.4% of those receiving and not receiving definitive local treatments, respectively. For CSS multivariate analysis, the following were significant: age, race, insurance status, total Gleason Score, T-stage, and type or omission of definitive local treatments. Compared to prostatectomy alone, men not undergoing definitive local treatments had the highest risk of death (HR: 6.07; 95% CI: 5.19-7.10). Those undergoing external beam radiotherapy alone (HR: 2.11; 95% CI: 1.80-2.48) were also at elevated risk of death. The number needed to treat (NNT) to prevent a prostate cancer death at eight years was three persons. Conclusions Death from prostate cancer with a primary or secondary Gleason pattern of 5 histology without definitive local treatment is high. In this hypothesis-generating study, we found that men with a limited life expectancy (less than eight years) and non-metastatic Gleason pattern of 5 disease may benefit from definitive local treatments. Given the high mortality in men with a Gleason pattern of 5, combined modality local therapies and consideration of chemotherapies may be warranted.

摘要

目的 目的是评估针对主要或次要Gleason分级为5级的前列腺癌患者,确定性局部治疗与保守治疗在特定病因生存率和总生存率方面的治疗模式及相对疗效。方法和材料 从监测、流行病学和最终结果(SEER)数据库中提取2004年至2012年诊断为主要或次要Gleason分级为5级的N0M0前列腺癌患者。采用Kaplan-Meier法和Cox回归分析来估计生存率。结果 我们共识别出20560名男性。中位年龄和随访时间分别为68岁和4.33年。8年时,接受和未接受确定性局部治疗的患者特定病因生存率(CSS)分别为86.6%和57.4%。对于CSS多因素分析,以下因素具有显著性:年龄、种族、保险状况、总Gleason评分、T分期以及确定性局部治疗的类型或未进行该治疗。与单纯前列腺切除术相比,未接受确定性局部治疗的男性死亡风险最高(风险比:6.07;95%置信区间:5.19 - 7.10)。仅接受外照射放疗的患者(风险比:2.11;95%置信区间:1.80 - 2.48)死亡风险也有所升高。8年时预防前列腺癌死亡所需的治疗人数(NNT)为3人。结论 主要或次要Gleason分级为5级组织学类型的前列腺癌患者,若未接受确定性局部治疗,死亡风险较高。在这项产生假设的研究中,我们发现预期寿命有限(少于8年)且为非转移性Gleason分级为5级疾病的男性可能从确定性局部治疗中获益。鉴于Gleason分级为5级的男性死亡率较高,联合局部治疗方式以及考虑化疗可能是必要的。

https://cdn.ncbi.nlm.nih.gov/pmc/blobs/c6d7/5590810/dbeb75f10bab/cureus-0009-00000001453-i01.jpg

文献AI研究员

20分钟写一篇综述,助力文献阅读效率提升50倍。

立即体验

用中文搜PubMed

大模型驱动的PubMed中文搜索引擎

马上搜索

文档翻译

学术文献翻译模型,支持多种主流文档格式。

立即体验