Suppr超能文献

一种用于模拟 PD1 和 PDL1 抑制下肿瘤免疫反应时空变化的计算多尺度基于agent 的模型。

A computational multiscale agent-based model for simulating spatio-temporal tumour immune response to PD1 and PDL1 inhibition.

机构信息

Department of Biomedical Engineering, Johns Hopkins University School of Medicine, Baltimore, MD 21205, USA

Department of Biomedical Engineering, Johns Hopkins University School of Medicine, Baltimore, MD 21205, USA.

出版信息

J R Soc Interface. 2017 Sep;14(134). doi: 10.1098/rsif.2017.0320.

Abstract

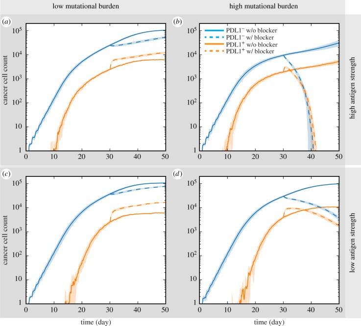
When the immune system responds to tumour development, patterns of immune infiltrates emerge, highlighted by the expression of immune checkpoint-related molecules such as PDL1 on the surface of cancer cells. Such spatial heterogeneity carries information on intrinsic characteristics of the tumour lesion for individual patients, and thus is a potential source for biomarkers for anti-tumour therapeutics. We developed a systems biology multiscale agent-based model to capture the interactions between immune cells and cancer cells, and analysed the emergent global behaviour during tumour development and immunotherapy. Using this model, we are able to reproduce temporal dynamics of cytotoxic T cells and cancer cells during tumour progression, as well as three-dimensional spatial distributions of these cells. By varying the characteristics of the neoantigen profile of individual patients, such as mutational burden and antigen strength, a spectrum of pretreatment spatial patterns of PDL1 expression is generated in our simulations, resembling immuno-architectures obtained via immunohistochemistry from patient biopsies. By correlating these spatial characteristics with treatment results using immune checkpoint inhibitors, the model provides a framework for use to predict treatment/biomarker combinations in different cancer types based on cancer-specific experimental data.

摘要

当免疫系统对肿瘤发展做出反应时,会出现免疫浸润模式,其特征是癌细胞表面表达免疫检查点相关分子,如 PDL1。这种空间异质性为个体患者的肿瘤病变内在特征提供了信息,因此是抗肿瘤治疗生物标志物的潜在来源。我们开发了一个系统生物学多尺度基于代理的模型,以捕捉免疫细胞和癌细胞之间的相互作用,并分析肿瘤发展和免疫治疗过程中出现的全局行为。使用该模型,我们能够重现肿瘤进展过程中细胞毒性 T 细胞和癌细胞的时间动态,以及这些细胞的三维空间分布。通过改变个体患者新抗原谱的特征,例如突变负担和抗原强度,我们的模拟产生了一系列预处理 PDL1 表达的空间模式,类似于通过患者活检的免疫组织化学获得的免疫结构。通过将这些空间特征与使用免疫检查点抑制剂的治疗结果相关联,该模型为根据特定于癌症的实验数据预测不同癌症类型的治疗/生物标志物组合提供了一个框架。

https://cdn.ncbi.nlm.nih.gov/pmc/blobs/bc3f/5636269/7aebc9552bee/rsif20170320-g1.jpg

文献检索

告别复杂PubMed语法,用中文像聊天一样搜索,搜遍4000万医学文献。AI智能推荐,让科研检索更轻松。

立即免费搜索

文件翻译

保留排版,准确专业,支持PDF/Word/PPT等文件格式,支持 12+语言互译。

免费翻译文档

深度研究

AI帮你快速写综述,25分钟生成高质量综述,智能提取关键信息,辅助科研写作。

立即免费体验