• 文献检索
  • 文档翻译
  • 深度研究
  • 学术资讯
  • Suppr Zotero 插件Zotero 插件
  • 邀请有礼
  • 套餐&价格
  • 历史记录
应用&插件
Suppr Zotero 插件Zotero 插件浏览器插件Mac 客户端Windows 客户端微信小程序
定价
高级版会员购买积分包购买API积分包
服务
文献检索文档翻译深度研究API 文档MCP 服务
关于我们
关于 Suppr公司介绍联系我们用户协议隐私条款
关注我们

Suppr 超能文献

核心技术专利:CN118964589B侵权必究
粤ICP备2023148730 号-1Suppr @ 2026

文献检索

告别复杂PubMed语法,用中文像聊天一样搜索,搜遍4000万医学文献。AI智能推荐,让科研检索更轻松。

立即免费搜索

文件翻译

保留排版,准确专业,支持PDF/Word/PPT等文件格式,支持 12+语言互译。

免费翻译文档

深度研究

AI帮你快速写综述,25分钟生成高质量综述,智能提取关键信息,辅助科研写作。

立即免费体验

褪黑素降低前列腺癌细胞的葡萄糖代谢:一项 C 稳定同位素解析代谢组学研究。

Melatonin Decreases Glucose Metabolism in Prostate Cancer Cells: A C Stable Isotope-Resolved Metabolomic Study.

机构信息

Departamento de Morfologia y Biologia Celular, Instituto Universitario Oncologico del Principado de Asturias (IUOPA), Universidad de Oviedo, 33006 Oviedo, Spain.

Departamento de Quimica Fisica y Analitica, Universidad de Oviedo, 33006 Oviedo, Spain.

出版信息

Int J Mol Sci. 2017 Jul 26;18(8):1620. doi: 10.3390/ijms18081620.

DOI:10.3390/ijms18081620
PMID:28933733
原文链接:https://pmc.ncbi.nlm.nih.gov/articles/PMC5578012/
Abstract

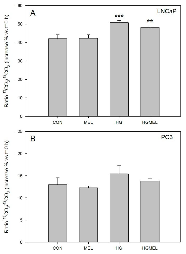
The pineal neuroindole melatonin exerts an exceptional variety of systemic functions. Some of them are exerted through its specific membrane receptors type 1 and type 2 (MT1 and MT2) while others are mediated by receptor-independent mechanisms. A potential transport of melatonin through facilitative glucose transporters (GLUT/) was proposed in prostate cancer cells. The prostate cells have a particular metabolism that changes during tumor progression. During the first steps of carcinogenesis, oxidative phosphorylation is reactivated while the switch to the "Warburg effect" only occurs in advanced tumors and in the metastatic stage. Here, we investigated whether melatonin might change prostate cancer cell metabolism. To do so, C stable isotope-resolved metabolomics in androgen sensitive LNCaP and insensitive PC-3 prostate cancer cells were employed. In addition to metabolite C-labeling, ATP/AMP levels, and lactate dehydrogenase or pentose phosphate pathway activity were measured. Melatonin reduces lactate labeling in androgen-sensitive cells and it also lowers C-labeling of tricarboxylic acid cycle metabolites and ATP production. In addition, melatonin reduces lactate C-labeling in androgen insensitive prostate cancer cells. Results demonstrated that melatonin limits glycolysis as well as the tricarboxylic acid cycle and pentose phosphate pathway in prostate cancer cells, suggesting that the reduction of glucose uptake is a major target of the indole in this tumor type.

摘要

松果腺神经内分泌褪黑素发挥着非凡的全身功能。其中一些功能是通过其特定的膜受体 1 型和 2 型(MT1 和 MT2)发挥的,而其他功能则是通过受体非依赖性机制介导的。有人提出褪黑素可能通过易化葡萄糖转运蛋白(GLUT/)进行转运。前列腺细胞具有特殊的代谢方式,在肿瘤进展过程中会发生变化。在癌变的最初阶段,氧化磷酸化被重新激活,而只有在晚期肿瘤和转移阶段才会发生向“Warburg 效应”的转变。在这里,我们研究了褪黑素是否可能改变前列腺癌细胞的代谢。为此,我们在雄激素敏感的 LNCaP 和不敏感的 PC-3 前列腺癌细胞中使用了 C 稳定同位素分辨代谢组学。除了代谢物 C 标记物、ATP/AMP 水平以及乳酸脱氢酶或戊糖磷酸途径活性的测量外。褪黑素降低了雄激素敏感细胞中乳酸的标记,也降低了三羧酸循环代谢物和 ATP 产生的 C 标记。此外,褪黑素还降低了雄激素不敏感前列腺癌细胞中乳酸的 C 标记。结果表明,褪黑素限制了前列腺癌细胞中的糖酵解以及三羧酸循环和戊糖磷酸途径,这表明在这种肿瘤类型中,减少葡萄糖摄取是该吲哚的主要靶标。

https://cdn.ncbi.nlm.nih.gov/pmc/blobs/1566/5578012/b326d0e1fae7/ijms-18-01620-g009a.jpg
https://cdn.ncbi.nlm.nih.gov/pmc/blobs/1566/5578012/3675b4610081/ijms-18-01620-g001.jpg
https://cdn.ncbi.nlm.nih.gov/pmc/blobs/1566/5578012/29d9717adaa7/ijms-18-01620-g002.jpg
https://cdn.ncbi.nlm.nih.gov/pmc/blobs/1566/5578012/f6a5032b73e2/ijms-18-01620-g003.jpg
https://cdn.ncbi.nlm.nih.gov/pmc/blobs/1566/5578012/b89c8daf2a23/ijms-18-01620-g004.jpg
https://cdn.ncbi.nlm.nih.gov/pmc/blobs/1566/5578012/ac22c3a1eef6/ijms-18-01620-g005.jpg
https://cdn.ncbi.nlm.nih.gov/pmc/blobs/1566/5578012/e8f35f634ffd/ijms-18-01620-g006.jpg
https://cdn.ncbi.nlm.nih.gov/pmc/blobs/1566/5578012/f363fc6b1091/ijms-18-01620-g007.jpg
https://cdn.ncbi.nlm.nih.gov/pmc/blobs/1566/5578012/8d8667f04d98/ijms-18-01620-g008.jpg
https://cdn.ncbi.nlm.nih.gov/pmc/blobs/1566/5578012/b326d0e1fae7/ijms-18-01620-g009a.jpg
https://cdn.ncbi.nlm.nih.gov/pmc/blobs/1566/5578012/3675b4610081/ijms-18-01620-g001.jpg
https://cdn.ncbi.nlm.nih.gov/pmc/blobs/1566/5578012/29d9717adaa7/ijms-18-01620-g002.jpg
https://cdn.ncbi.nlm.nih.gov/pmc/blobs/1566/5578012/f6a5032b73e2/ijms-18-01620-g003.jpg
https://cdn.ncbi.nlm.nih.gov/pmc/blobs/1566/5578012/b89c8daf2a23/ijms-18-01620-g004.jpg
https://cdn.ncbi.nlm.nih.gov/pmc/blobs/1566/5578012/ac22c3a1eef6/ijms-18-01620-g005.jpg
https://cdn.ncbi.nlm.nih.gov/pmc/blobs/1566/5578012/e8f35f634ffd/ijms-18-01620-g006.jpg
https://cdn.ncbi.nlm.nih.gov/pmc/blobs/1566/5578012/f363fc6b1091/ijms-18-01620-g007.jpg
https://cdn.ncbi.nlm.nih.gov/pmc/blobs/1566/5578012/8d8667f04d98/ijms-18-01620-g008.jpg
https://cdn.ncbi.nlm.nih.gov/pmc/blobs/1566/5578012/b326d0e1fae7/ijms-18-01620-g009a.jpg

相似文献

1
Melatonin Decreases Glucose Metabolism in Prostate Cancer Cells: A C Stable Isotope-Resolved Metabolomic Study.褪黑素降低前列腺癌细胞的葡萄糖代谢:一项 C 稳定同位素解析代谢组学研究。
Int J Mol Sci. 2017 Jul 26;18(8):1620. doi: 10.3390/ijms18081620.
2
Melatonin uptake through glucose transporters: a new target for melatonin inhibition of cancer.褪黑素通过葡萄糖转运蛋白摄取:褪黑素抑制癌症的新靶点。
J Pineal Res. 2015 Mar;58(2):234-50. doi: 10.1111/jpi.12210. Epub 2015 Feb 7.
3
Melatonin and prostate cancer cell proliferation: interplay with castration, epidermal growth factor, and androgen sensitivity.褪黑素与前列腺癌细胞增殖:与去势、表皮生长因子及雄激素敏感性的相互作用
Prostate. 2002 Jul 1;52(2):106-22. doi: 10.1002/pros.10098.
4
Androgen-responsive and nonresponsive prostate cancer cells present a distinct glycolytic metabolism profile.雄激素反应性和非反应性前列腺癌细胞呈现出明显不同的糖酵解代谢特征。
Int J Biochem Cell Biol. 2012 Nov;44(11):2077-84. doi: 10.1016/j.biocel.2012.08.013. Epub 2012 Aug 16.
5
Inhibition of androgen-sensitive LNCaP prostate cancer growth in vivo by melatonin: association of antiproliferative action of the pineal hormone with mt1 receptor protein expression.褪黑素对雄激素敏感的LNCaP前列腺癌体内生长的抑制作用:松果体激素的抗增殖作用与mt1受体蛋白表达的关联
Prostate. 2001 Jan 1;46(1):52-61. doi: 10.1002/1097-0045(200101)46:1<52::aid-pros1008>3.0.co;2-z.
6
Androgens enhance the glycolytic metabolism and lactate export in prostate cancer cells by modulating the expression of GLUT1, GLUT3, PFK, LDH and MCT4 genes.雄激素通过调节葡萄糖转运蛋白1(GLUT1)、葡萄糖转运蛋白3(GLUT3)、磷酸果糖激酶(PFK)、乳酸脱氢酶(LDH)和单羧酸转运蛋白4(MCT4)基因的表达,增强前列腺癌细胞的糖酵解代谢和乳酸输出。
J Cancer Res Clin Oncol. 2016 Jan;142(1):5-16. doi: 10.1007/s00432-015-1992-4. Epub 2015 Jun 6.
7
Regulation of GLUT transporters by flavonoids in androgen-sensitive and -insensitive prostate cancer cells.黄酮类化合物对雄激素敏感和不敏感前列腺癌细胞中葡萄糖转运蛋白(GLUT)的调控
Endocrinology. 2014 Sep;155(9):3238-50. doi: 10.1210/en.2014-1260. Epub 2014 Jun 16.
8
Tumor necrosis factor alpha increases aerobic glycolysis and reduces oxidative metabolism in prostate epithelial cells.肿瘤坏死因子 α 增加前列腺上皮细胞的糖酵解和减少氧化代谢。
Prostate. 2013 Oct;73(14):1538-46. doi: 10.1002/pros.22703. Epub 2013 Jul 1.
9
Melatonin reduces prostate cancer cell growth leading to neuroendocrine differentiation via a receptor and PKA independent mechanism.褪黑素通过一种不依赖受体和蛋白激酶A的机制,减少前列腺癌细胞的生长并导致神经内分泌分化。
Prostate. 2005 Apr 1;63(1):29-43. doi: 10.1002/pros.20155.
10
The dark side of glucose transporters in prostate cancer: Are they a new feature to characterize carcinomas?葡萄糖转运蛋白在前列腺癌中的阴暗面:它们是否是表征癌的新特征?
Int J Cancer. 2018 Jun 15;142(12):2414-2424. doi: 10.1002/ijc.31165. Epub 2017 Dec 4.

引用本文的文献

1
Melatonin Interplay in Physiology and Disease-The Fountain of Eternal Youth Revisited.褪黑素在生理与疾病中的相互作用——重温青春之泉
Biomolecules. 2025 May 8;15(5):682. doi: 10.3390/biom15050682.
2
Bibliometric analysis of glycolysis and prostate cancer research from 2004 to 2024.2004年至2024年糖酵解与前列腺癌研究的文献计量分析
Discov Oncol. 2025 Jan 12;16(1):34. doi: 10.1007/s12672-025-01790-2.
3
PRMT1 promotes Warburg effect by regulating the PKM2/PKM1 ratio in non-small cell lung cancer.PRMT1 通过调节非小细胞肺癌中的 PKM2/PKM1 比值促进瓦博格效应。

本文引用的文献

1
Accurate and sensitive determination of molar fractions of C-Labeled intracellular metabolites in cell cultures grown in the presence of isotopically-labeled glucose.准确且灵敏地测定在含有同位素标记葡萄糖的细胞培养物中 C 标记的细胞内代谢物的摩尔分数。
Anal Chim Acta. 2017 May 29;969:35-48. doi: 10.1016/j.aca.2017.03.019. Epub 2017 Mar 21.
2
Glucose Metabolism in the Progression of Prostate Cancer.前列腺癌进展过程中的葡萄糖代谢
Front Physiol. 2017 Feb 21;8:97. doi: 10.3389/fphys.2017.00097. eCollection 2017.
3
Melatonin signaling in T cells: Functions and applications.
Cell Death Dis. 2024 Jul 15;15(7):504. doi: 10.1038/s41419-024-06898-x.
4
The potential influence of melatonin on mitochondrial quality control: a review.褪黑素对线粒体质量控制的潜在影响:综述
Front Pharmacol. 2024 Jan 11;14:1332567. doi: 10.3389/fphar.2023.1332567. eCollection 2023.
5
Melatonin and Prostate Cancer: Anti-tumor Roles and Therapeutic Application.褪黑素与前列腺癌:抗肿瘤作用及治疗应用
Aging Dis. 2023 Jun 1;14(3):840-857. doi: 10.14336/AD.2022.1010.
6
Melatonin Treatment Triggers Metabolic and Intracellular pH Imbalance in Glioblastoma.褪黑素治疗引发脑胶质瘤的代谢和细胞内 pH 值失衡。
Cells. 2022 Nov 2;11(21):3467. doi: 10.3390/cells11213467.
7
Circadian Rhythm Disruption as a Contributor to Racial Disparities in Prostate Cancer.昼夜节律紊乱是导致前列腺癌种族差异的一个因素。
Cancers (Basel). 2022 Oct 19;14(20):5116. doi: 10.3390/cancers14205116.
8
Melatonin Regulates the Daily Levels of Plasma Amino Acids, Acylcarnitines, Biogenic Amines, Sphingomyelins, and Hexoses in a Xenograft Model of Triple Negative Breast Cancer.褪黑素调节三阴性乳腺癌异种移植模型中血浆氨基酸、酰基辅酶 A、生物胺、神经鞘磷脂和己糖的日水平。
Int J Mol Sci. 2022 Aug 14;23(16):9105. doi: 10.3390/ijms23169105.
9
Melatonin Reverses the Warburg-Type Metabolism and Reduces Mitochondrial Membrane Potential of Ovarian Cancer Cells Independent of MT1 Receptor Activation.褪黑素可逆转卵巢癌细胞的瓦博格样代谢并降低线粒体膜电位,且不依赖于 MT1 受体的激活。
Molecules. 2022 Jul 7;27(14):4350. doi: 10.3390/molecules27144350.
10
Melatonin inhibits glycolysis in hepatocellular carcinoma cells by downregulating mitochondrial respiration and mTORC1 activity.褪黑素通过下调线粒体呼吸和 mTORC1 活性抑制肝癌细胞的糖酵解。
BMB Rep. 2022 Sep;55(9):459-464. doi: 10.5483/BMBRep.2022.55.9.177.
褪黑素信号在 T 细胞中的作用及应用。
J Pineal Res. 2017 Apr;62(3). doi: 10.1111/jpi.12394. Epub 2017 Mar 1.
4
Melatonin-mediated upregulation of GLUT1 blocks exit from pluripotency by increasing the uptake of oxidized vitamin C in mouse embryonic stem cells.褪黑素介导的葡萄糖转运蛋白1上调通过增加小鼠胚胎干细胞中氧化型维生素C的摄取来阻止多能性的退出。
FASEB J. 2017 Apr;31(4):1731-1743. doi: 10.1096/fj.201601085R. Epub 2017 Jan 9.
5
Hypoxia-inducible factors: coupling glucose metabolism and redox regulation with induction of the breast cancer stem cell phenotype.缺氧诱导因子:将葡萄糖代谢和氧化还原调节与乳腺癌干细胞表型的诱导相耦合。
EMBO J. 2017 Feb 1;36(3):252-259. doi: 10.15252/embj.201695204. Epub 2016 Dec 22.
6
IGFBP3 and MAPK/ERK signaling mediates melatonin-induced antitumor activity in prostate cancer.IGFBP3 和 MAPK/ERK 信号通路介导褪黑素对前列腺癌的抗肿瘤活性。
J Pineal Res. 2017 Jan;62(1). doi: 10.1111/jpi.12373. Epub 2016 Nov 9.
7
Melatonin as an antioxidant: under promises but over delivers.褪黑素作为一种抗氧化剂:承诺过多,兑现不足。
J Pineal Res. 2016 Oct;61(3):253-78. doi: 10.1111/jpi.12360. Epub 2016 Sep 1.
8
miR-132 mediates a metabolic shift in prostate cancer cells by targeting Glut1.微小RNA-132通过靶向葡萄糖转运蛋白1介导前列腺癌细胞的代谢转变。
FEBS Open Bio. 2016 Jun 8;6(7):735-41. doi: 10.1002/2211-5463.12086. eCollection 2016 Jul.
9
Molecular characterization of Gleason patterns 3 and 4 prostate cancer using reverse Warburg effect-associated genes.利用与逆瓦尔堡效应相关的基因对Gleason 3级和4级前列腺癌进行分子特征分析。
Cancer Metab. 2016 May 5;4:8. doi: 10.1186/s40170-016-0149-5. eCollection 2016.
10
A comprehensive review of the role of zinc in normal prostate function and metabolism; and its implications in prostate cancer.锌在正常前列腺功能和代谢中的作用综述;及其与前列腺癌的关联。
Arch Biochem Biophys. 2016 Dec 1;611:100-112. doi: 10.1016/j.abb.2016.04.014. Epub 2016 Apr 27.