Suppr超能文献

在不同的小鼠品系中,基因表达模式具有一致性和差异性,这为人类结核病的最佳动物模型选择提供了依据。

Concordant and discordant gene expression patterns in mouse strains identify best-fit animal model for human tuberculosis.

机构信息

Max Planck Institute for Infection Biology, Department of Immunology, Charitéplatz 1, D-10117, Berlin, Germany.

出版信息

Sci Rep. 2017 Sep 21;7(1):12094. doi: 10.1038/s41598-017-11812-x.

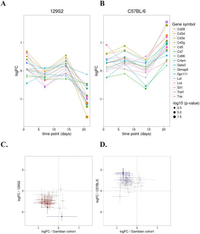
Abstract

Immunity in infection, inflammation and malignancy differs markedly in man and mouse. Still, we learn about human immunity in large extent from experimental mouse models. We propose a novel data integration approach which identifies concordant and discordant gene expression patterns of the immune responses in heterologous data sets. We have conducted experiments to compare human and murine transcriptional responses to Mycobacterium tuberculosis (Mtb) infection in whole blood (WB) as well as macrophages and compared them with simulated as well as publicly available data. Our results indicate profound differences between patterns of gene expression in innate and adaptive immunity in man and mouse upon Mtb infection. We characterized differential expression of T-cell related genes corresponding to the differences in phenotype between tuberculosis (TB) highly and low susceptible mouse strains. Our approach is general and facilitates the choice of optimal animal model for studies of the human immune response to a particular disease.

摘要

感染、炎症和恶性肿瘤中的免疫在人和小鼠之间有显著差异。尽管如此,我们在很大程度上还是通过实验性小鼠模型来了解人类的免疫。我们提出了一种新的数据整合方法,该方法可以识别异源数据集的免疫反应的一致和不一致的基因表达模式。我们进行了实验,比较了全血(WB)中人类和小鼠对结核分枝杆菌(Mtb)感染的转录反应,以及与模拟和公开可用数据的比较。我们的结果表明,在 Mtb 感染后,人与小鼠固有免疫和适应性免疫的基因表达模式存在深刻差异。我们描述了与结核高易感性和低易感性小鼠之间表型差异相对应的 T 细胞相关基因的差异表达。我们的方法具有通用性,有助于为研究人类对特定疾病的免疫反应选择最佳的动物模型。

https://cdn.ncbi.nlm.nih.gov/pmc/blobs/0c83/5608750/d7efbba62220/41598_2017_11812_Fig1_HTML.jpg

文献检索

告别复杂PubMed语法,用中文像聊天一样搜索,搜遍4000万医学文献。AI智能推荐,让科研检索更轻松。

立即免费搜索

文件翻译

保留排版,准确专业,支持PDF/Word/PPT等文件格式,支持 12+语言互译。

免费翻译文档

深度研究

AI帮你快速写综述,25分钟生成高质量综述,智能提取关键信息,辅助科研写作。

立即免费体验