Department of Internal Medicine, Sanggye Paik Hospital, Inje University, Seoul, Korea.
Department of Medicine, Samsung Medical Center, Sungkyunkwan University School of Medicine, Seoul, Korea.
Clin Mol Hepatol. 2017 Sep;23(3):196-204. doi: 10.3350/cmh.2017.0034. Epub 2017 Sep 19.
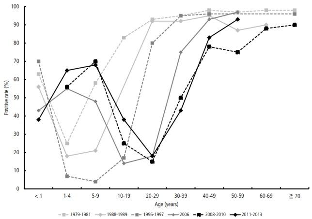
Hepatitis A virus is one of the most frequent causes of foodborne infection, which is closely associated with sanitary conditions and hygienic practices. The clinical spectrum of acute hepatitis A is wide, ranging from mild case without any noticeable symptoms to severe case with acute liver failure leading to mortality. The severity and outcome are highly correlated with age at infection. In developing countries, most people are infected in early childhood without significant symptom. Ironically, in area where sanitary condition has improved rapidly, adults who do not have immunity for viral hepatitis A (VH-A) in early childhood is accumulating. Adults without immunity are exposed to risks of symptomatic disease and large outbreaks in society. In Korea, where hygiene has improved rapidly, acute hepatitis A is a significant health burden that needs to be managed with nationwide health policy. The incidence of symptomatic VH-A has increased since 2000 and peaked in 2009. Korea has designated hepatitis A as a group 1 nationally notifiable infectious disease in 2001. Since 2001, mandatory surveillance system has been established to detect every single case of acute hepatitis A. Universal, nationwide vaccination program for newborns was introduced in 2015. In this review, we will present the current epidemiologic status of viral hepatitis A, and evaluate the effectiveness of the current nationwide strategies for the control of viral hepatitis A in Korea. Furthermore, we presented some action proposals that can help eliminate viral hepatitis A, which is a significant health burden in Korea.
甲型肝炎病毒是食源性感染最常见的原因之一,与卫生条件和卫生习惯密切相关。急性甲型肝炎的临床谱很广,从轻症无症状到重症急性肝衰竭导致死亡不等。严重程度和预后与感染时的年龄密切相关。在发展中国家,大多数人在儿童早期感染,没有明显症状。具有讽刺意味的是,在卫生条件迅速改善的地区,儿童早期没有甲型肝炎病毒(VH-A)免疫力的成年人正在积累。没有免疫力的成年人面临着有症状疾病和社会大规模爆发的风险。在卫生条件迅速改善的韩国,急性甲型肝炎是一个重大的健康负担,需要通过国家卫生政策来管理。自 2000 年以来,有症状的 VH-A 发病率有所增加,并在 2009 年达到高峰。韩国于 2001 年将甲型肝炎列为第 1 类全国法定传染病。自 2001 年以来,建立了强制性监测系统以检测每一例急性甲型肝炎病例。2015 年,为新生儿推出了普遍的全国性疫苗接种计划。在这篇综述中,我们将介绍韩国目前甲型肝炎的流行状况,并评估韩国目前控制甲型肝炎的全国性策略的有效性。此外,我们还提出了一些行动建议,有助于消除甲型肝炎,这是韩国的一个重大健康负担。