• 文献检索
  • 文档翻译
  • 深度研究
  • 学术资讯
  • Suppr Zotero 插件Zotero 插件
  • 邀请有礼
  • 套餐&价格
  • 历史记录
应用&插件
Suppr Zotero 插件Zotero 插件浏览器插件Mac 客户端Windows 客户端微信小程序
定价
高级版会员购买积分包购买API积分包
服务
文献检索文档翻译深度研究API 文档MCP 服务
关于我们
关于 Suppr公司介绍联系我们用户协议隐私条款
关注我们

Suppr 超能文献

核心技术专利:CN118964589B侵权必究
粤ICP备2023148730 号-1Suppr @ 2026

文献检索

告别复杂PubMed语法,用中文像聊天一样搜索,搜遍4000万医学文献。AI智能推荐,让科研检索更轻松。

立即免费搜索

文件翻译

保留排版,准确专业,支持PDF/Word/PPT等文件格式,支持 12+语言互译。

免费翻译文档

深度研究

AI帮你快速写综述,25分钟生成高质量综述,智能提取关键信息,辅助科研写作。

立即免费体验

表没食子儿茶素没食子酸酯作为稳定猪骨软骨异种移植物方法的适用性

Suitability of EGCG as a Means of Stabilizing a Porcine Osteochondral Xenograft.

作者信息

Elder Steven, Clune John, Walker Jaylyn, Gloth Paul

机构信息

Agricultural & Biological Engineering, Mississippi State University, Mississippi State, MS 39762, USA.

出版信息

J Funct Biomater. 2017 Sep 23;8(4):43. doi: 10.3390/jfb8040043.

DOI:10.3390/jfb8040043
PMID:28946629
原文链接:https://pmc.ncbi.nlm.nih.gov/articles/PMC5748550/
Abstract

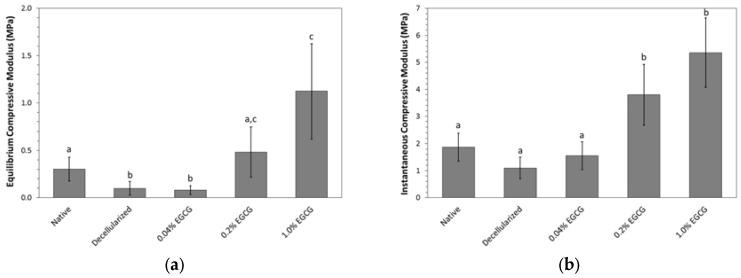
As a non-crosslinked osteochondral xenograft would be mechanically inferior to native cartilage and vulnerable to premature degradation, we seek a safe and effective method of xenograft stabilization. The purpose of this study was to evaluate the capacity for epigallocatechin gallate (EGCG) to stabilize a decellularized porcine osteochondral xenograft through collagen crosslinking. Our objectives were to assess the effects of EGCG on the degree of crosslinking, mechanical properties, collagenase resistance, cytotoxicity, and in vitro biocompatibility. EGCG is a green tea polyphenol that acts as a collagen crosslinker. Porcine osteochondral plugs were decellularized and then crosslinked by soaking in EGCG. The degree of crosslinking, cartilage compressive stiffness, cartilage-bone interface strength, coefficient of friction, and residual mass after collagenase exposure all increased with an increasing EGCG concentration. With the exception of the coefficient of friction, EGCG treatment could restore mechanical properties to levels equal to, or exceeding those, of native cartilage. EGCG treatment profoundly increased the enzymatic resistance, and 1% EGCG provided protection equivalent to 1% glutaraldehyde. EGCG up to 0.5 mM was essentially not cytotoxic to chondrocytes embedded in alginate, and autologous chondrocytes attached to decellularized, EGCG-fixed cartilage were all viable five days after seeding. Results demonstrate that EGCG has many beneficial effects on a decellularized osteochondral xenograft, and may be suitable for use in stabilizing such a graft prior to implantation for the repair of a defect.

摘要

由于非交联的骨软骨异种移植物在力学性能上不如天然软骨,且易过早降解,因此我们寻求一种安全有效的异种移植物稳定方法。本研究的目的是评估表没食子儿茶素没食子酸酯(EGCG)通过胶原交联来稳定脱细胞猪骨软骨异种移植物的能力。我们的目标是评估EGCG对交联程度、力学性能、抗胶原酶能力、细胞毒性和体外生物相容性的影响。EGCG是一种绿茶多酚,可作为胶原交联剂。将猪骨软骨栓脱细胞,然后通过浸泡在EGCG中进行交联。随着EGCG浓度的增加,交联程度、软骨压缩硬度、软骨-骨界面强度、摩擦系数以及胶原酶处理后的残余质量均增加。除摩擦系数外,EGCG处理可将力学性能恢复到等于或超过天然软骨的水平。EGCG处理显著提高了酶抗性,1%的EGCG提供了与1%戊二醛相当的保护作用。高达0.5 mM的EGCG对包埋在藻酸盐中的软骨细胞基本无细胞毒性,接种五天后,附着在脱细胞、EGCG固定软骨上的自体软骨细胞均存活。结果表明,EGCG对脱细胞骨软骨异种移植物有许多有益作用,可能适用于在植入修复缺损前稳定此类移植物。

https://cdn.ncbi.nlm.nih.gov/pmc/blobs/d692/5748550/79e28f52cb52/jfb-08-00043-g005.jpg
https://cdn.ncbi.nlm.nih.gov/pmc/blobs/d692/5748550/8f4d2423866f/jfb-08-00043-g002.jpg
https://cdn.ncbi.nlm.nih.gov/pmc/blobs/d692/5748550/621e416097b7/jfb-08-00043-g004.jpg
https://cdn.ncbi.nlm.nih.gov/pmc/blobs/d692/5748550/79e28f52cb52/jfb-08-00043-g005.jpg
https://cdn.ncbi.nlm.nih.gov/pmc/blobs/d692/5748550/8f4d2423866f/jfb-08-00043-g002.jpg
https://cdn.ncbi.nlm.nih.gov/pmc/blobs/d692/5748550/621e416097b7/jfb-08-00043-g004.jpg
https://cdn.ncbi.nlm.nih.gov/pmc/blobs/d692/5748550/79e28f52cb52/jfb-08-00043-g005.jpg

相似文献

1
Suitability of EGCG as a Means of Stabilizing a Porcine Osteochondral Xenograft.表没食子儿茶素没食子酸酯作为稳定猪骨软骨异种移植物方法的适用性
J Funct Biomater. 2017 Sep 23;8(4):43. doi: 10.3390/jfb8040043.
2
Evaluation of genipin for stabilization of decellularized porcine cartilage.京尼平用于稳定脱细胞猪软骨的评估。
J Orthop Res. 2017 Sep;35(9):1949-1957. doi: 10.1002/jor.23483. Epub 2017 Mar 24.
3
Comparison of natural crosslinking agents for the stabilization of xenogenic articular cartilage.用于稳定异种关节软骨的天然交联剂的比较
J Orthop Res. 2016 Jun;34(6):1037-46. doi: 10.1002/jor.23121. Epub 2015 Dec 18.
4
Beneficial storage effects of epigallocatechin-3-o-gallate on the articular cartilage of rabbit osteochondral allografts.表没食子儿茶素-3-没食子酸酯对兔异体骨软骨移植关节软骨的有益储存作用。
Cell Transplant. 2009;18(5):505-12. doi: 10.1177/096368970901805-604.
5
Genipin crosslinking of cartilage enhances resistance to biochemical degradation and mechanical wear.软骨的京尼平交联增强了对生化降解和机械磨损的抵抗力。
J Orthop Res. 2015 Nov;33(11):1571-1579. doi: 10.1002/jor.22939. Epub 2015 May 18.
6
Mechanically stimulated osteochondral organ culture for evaluation of biomaterials in cartilage repair studies.机械刺激的骨软骨器官培养用于评估软骨修复研究中的生物材料。
Acta Biomater. 2018 Nov;81:256-266. doi: 10.1016/j.actbio.2018.09.058. Epub 2018 Sep 28.
7
Repair of porcine articular cartilage defect with a biphasic osteochondral composite.使用双相骨软骨复合材料修复猪关节软骨缺损。
J Orthop Res. 2007 Oct;25(10):1277-90. doi: 10.1002/jor.20442.
8
Green tea polyphenol epigallocatechin-3-gallate (EGCG) differentially inhibits interleukin-1 beta-induced expression of matrix metalloproteinase-1 and -13 in human chondrocytes.绿茶多酚表没食子儿茶素-3-没食子酸酯(EGCG)对白细胞介素-1β诱导的人软骨细胞中基质金属蛋白酶-1和-13的表达有不同程度的抑制作用。
J Pharmacol Exp Ther. 2004 Feb;308(2):767-73. doi: 10.1124/jpet.103.059220. Epub 2003 Nov 4.
9
Cartilaginous extracellular matrix derived from decellularized chondrocyte sheets for the reconstruction of osteochondral defects in rabbits.脱细胞软骨细胞片来源的软骨细胞外基质修复兔关节软骨缺损
Acta Biomater. 2018 Nov;81:129-145. doi: 10.1016/j.actbio.2018.10.005. Epub 2018 Oct 6.
10
Pharmacokinetics and safety of green tea polyphenols after multiple-dose administration of epigallocatechin gallate and polyphenon E in healthy individuals.表没食子儿茶素没食子酸酯和多酚E在健康个体中多次给药后绿茶多酚的药代动力学和安全性
Clin Cancer Res. 2003 Aug 15;9(9):3312-9.

引用本文的文献

1
Correlation of Patellofemoral Chondromalacia and Body Mass Index (BMI) in Relation to Sex and Age Analysis of 1.5T and 3.0T Magnetic Resonance (MR) Images Using the Outerbridge Scale.髌股软骨软化症与体质量指数(BMI)的相关性及其与性别和年龄的关系分析:使用 Outerbridge 量表对 1.5T 和 3.0T 磁共振(MR)图像的分析。
Med Sci Monit. 2022 Dec 17;28:e937246. doi: 10.12659/MSM.937246.
2
Relationship between Outerbridge Scale and Chondropathy Femorotibial Joint in Relation to Gender and Age-The Use of 1.5T and 3.0T MRI Scanners.外氏分级法与性别和年龄相关的股胫关节软骨病的关系——1.5T 和 3.0T MRI 扫描仪的应用。
Medicina (Kaunas). 2022 Nov 12;58(11):1634. doi: 10.3390/medicina58111634.
3

本文引用的文献

1
Molecular insights into the differences in anti-inflammatory activities of green tea catechins on IL-1β signaling in rheumatoid arthritis synovial fibroblasts.绿茶儿茶素对类风湿性关节炎滑膜成纤维细胞中白细胞介素-1β信号传导抗炎活性差异的分子见解。
Toxicol Appl Pharmacol. 2017 Aug 15;329:112-120. doi: 10.1016/j.taap.2017.05.016. Epub 2017 May 19.
2
Terminal sterilization of equine-derived decellularized tendons for clinical use.用于临床的马源脱细胞肌腱的最终灭菌
Mater Sci Eng C Mater Biol Appl. 2017 Jun 1;75:43-49. doi: 10.1016/j.msec.2017.02.009. Epub 2017 Feb 10.
3
Preparation and characterization of (-)-Epigallocatechin-3-gallate (EGCG)-loaded nanoparticles and their inhibitory effects on Human breast cancer MCF-7 cells.
Genetically predicted tea intake increases the risk of osteoarthritis: A Mendelian randomization study.
基因预测的茶摄入量增加骨关节炎风险:一项孟德尔随机化研究。
Front Genet. 2022 Oct 4;13:1004392. doi: 10.3389/fgene.2022.1004392. eCollection 2022.
4
Knee Diameter and Cross-Section Area Measurements in MRI as New Promising Methods of Chondromalacia Diagnosis-Pilot Study.MRI 下膝关节直径和横截面积测量作为软骨病诊断的新方法——初步研究。
Medicina (Kaunas). 2022 Aug 23;58(9):1142. doi: 10.3390/medicina58091142.
5
A Photochemical Crosslinking Approach to Enhance Resistance to Mechanical Wear and Biochemical Degradation of Articular Cartilage.一种光化学交联方法,可增强关节软骨抵抗机械磨损和生化降解的能力。
Cartilage. 2022 Jul-Sep;13(3):19476035221093064. doi: 10.1177/19476035221093064.
6
Impacts of Green Tea on Joint and Skeletal Muscle Health: Prospects of Translational Nutrition.绿茶对关节和骨骼肌健康的影响:转化营养的前景
Antioxidants (Basel). 2020 Oct 28;9(11):1050. doi: 10.3390/antiox9111050.
7
Effects of antigen removal on a porcine osteochondral xenograft for articular cartilage repair.抗原去除对用于关节软骨修复的猪软骨异种移植物的影响。
J Biomed Mater Res A. 2018 Aug;106(8):2251-2260. doi: 10.1002/jbm.a.36411. Epub 2018 May 25.
制备及表征 (-)-表没食子儿茶素没食子酸酯(EGCG)载药纳米粒及其对人乳腺癌 MCF-7 细胞的抑制作用。
Sci Rep. 2017 Mar 28;7:45521. doi: 10.1038/srep45521.
4
Effects of Epigallocatechin Gallate, an Antibacterial Cross-linking Agent, on Proliferation and Differentiation of Human Dental Pulp Cells Cultured in Collagen Scaffolds.抗菌交联剂表没食子儿茶素没食子酸酯对胶原支架中培养的人牙髓细胞增殖和分化的影响
J Endod. 2017 Feb;43(2):289-296. doi: 10.1016/j.joen.2016.10.017.
5
Evaluation of genipin for stabilization of decellularized porcine cartilage.京尼平用于稳定脱细胞猪软骨的评估。
J Orthop Res. 2017 Sep;35(9):1949-1957. doi: 10.1002/jor.23483. Epub 2017 Mar 24.
6
Regulation of matrix metalloproteinase secretion by green tea catechins in a three-dimensional co-culture model of macrophages and gingival fibroblasts.绿茶儿茶素在巨噬细胞与牙龈成纤维细胞三维共培养模型中对基质金属蛋白酶分泌的调控
Arch Oral Biol. 2017 Mar;75:89-99. doi: 10.1016/j.archoralbio.2016.10.035. Epub 2016 Nov 2.
7
Evaluation of epigallocatechin-3-gallate (EGCG) cross-linked collagen membranes and concerns on osteoblasts.表没食子儿茶素-3-没食子酸酯(EGCG)交联胶原膜的评估及对成骨细胞的关注
Mater Sci Eng C Mater Biol Appl. 2016 Oct 1;67:386-394. doi: 10.1016/j.msec.2016.05.021. Epub 2016 May 7.
8
Encapsulation of biophenolic phytochemical EGCG within lipid nanoparticles enhances its stability and cytotoxicity against cancer.将生物酚类植物化学物质表没食子儿没食子酸酯(EGCG)包裹在脂质纳米颗粒中可增强其稳定性以及对癌症的细胞毒性。
Chem Phys Lipids. 2016 Jun;198:51-60. doi: 10.1016/j.chemphyslip.2016.05.006. Epub 2016 May 24.
9
Patient Factors, Donor Age, and Graft Storage Duration Affect Osteochondral Allograft Outcomes in Knees with or without Comorbidities.患者因素、供体年龄和移植物保存时间对伴或不伴合并症的膝关节骨软骨移植结果的影响。
J Knee Surg. 2017 Feb;30(2):179-184. doi: 10.1055/s-0036-1584183. Epub 2016 May 26.
10
High Failure Rate of a Decellularized Osteochondral Allograft for the Treatment of Cartilage Lesions.用于治疗软骨损伤的脱细胞骨软骨异体移植的高失败率
Am J Sports Med. 2016 Aug;44(8):2015-22. doi: 10.1177/0363546516645086. Epub 2016 May 13.