Suppr超能文献

肿瘤坏死因子-α mRNA 受高迁移率族蛋白 1 诱导的树突状细胞成熟过程中 microRNA-181a-5p 的负调控。

TNF-α mRNA is negatively regulated by microRNA-181a-5p in maturation of dendritic cells induced by high mobility group box-1 protein.

机构信息

Trauma Research Center, First Hospital Affiliated to the Chinese PLA General Hospital, Beijing, 100048, P.R. China.

Department of Clinical Laboratory, First Hospital Affiliated to the Chinese PLA General Hospital, Beijing, 100048, P.R. China.

出版信息

Sci Rep. 2017 Sep 25;7(1):12239. doi: 10.1038/s41598-017-12492-3.

Abstract

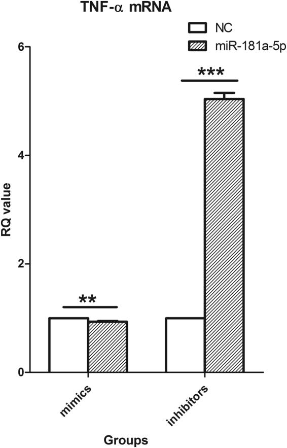
Dendritic cell (DC) can be stimulated by both exogenous pathogen-associated molecular patterns (PAMPs) such as lipopolysaccharide (LPS) and endogenous damage-associated molecular patterns (DAMPs) such as high mobility group box-1 protein (HMGB1). MicroRNAs (miRNAs) act as post-transcriptional fine tuners of mRNA. Studies have focused mostly on the potential role of miRNAs in DCs maturation triggered by PAMPs, especially LPS, however, little is known about the regulatory mechanism underlying the effects of miRNAs in DC maturation mediated by DAMPs, including HMGB1. Here, we first profiled a miRNA microarray of DCs stimulated by HMGB1 and determined that the up-regulated miRNA miR-181a-5p may act as a regulatory miRNA in these cells. Computational algorithms predicted TNF-α 3'UTR to be targeted by miR-181a-5p, which was confirmed by the experiments involving luciferase reporters. In addition, we found that TNF-α mRNA was down-regulated by miR-181a-5p mimic, and significantly up-regulated by miR-181a-5p inhibitor. Taken together, we identified miR-181a-5p a negative regulator in HMGB1-induced immune responses by targeting TNF-α mRNA in DCs. Moreover, we suggested that miR-181a-5p may play a role in regulating DC responses to HMGB1 and serve as evidence indicating that novel therapies targeting miRNAs may be useful for treating immune dysfunction in the setting of sepsis.

摘要

树突状细胞 (DC) 可被外源性病原体相关分子模式 (PAMPs) 如脂多糖 (LPS) 和内源性损伤相关分子模式 (DAMPs) 如高迁移率族蛋白 B1 (HMGB1) 所激活。微小 RNA (miRNA) 作为 mRNA 的转录后精细调节剂。研究主要集中在 miRNA 在 PAMPs(尤其是 LPS)触发的 DC 成熟中的潜在作用上,然而,对于 miRNA 在 DAMPs(包括 HMGB1)介导的 DC 成熟中的调控机制知之甚少。在这里,我们首先对 HMGB1 刺激的 DC 进行了 miRNA 微阵列分析,确定上调的 miRNA miR-181a-5p 可能在这些细胞中作为一种调节性 miRNA 发挥作用。计算算法预测 TNF-α 3'UTR 是 miR-181a-5p 的靶标,这通过涉及荧光素酶报告基因的实验得到了证实。此外,我们发现 miR-181a-5p 模拟物下调 TNF-α mRNA,而 miR-181a-5p 抑制剂则显著上调 TNF-α mRNA。综上所述,我们确定了 miR-181a-5p 通过靶向 DC 中 TNF-α mRNA 作为 HMGB1 诱导免疫反应的负调节剂。此外,我们认为 miR-181a-5p 可能在调节 DC 对 HMGB1 的反应中发挥作用,并为靶向 miRNA 的新型治疗方法可能有助于治疗脓毒症中免疫功能障碍提供了证据。

https://cdn.ncbi.nlm.nih.gov/pmc/blobs/36df/5612954/9c276204c666/41598_2017_12492_Fig1_HTML.jpg

文献AI研究员

20分钟写一篇综述,助力文献阅读效率提升50倍。

立即体验

用中文搜PubMed

大模型驱动的PubMed中文搜索引擎

马上搜索

文档翻译

学术文献翻译模型,支持多种主流文档格式。

立即体验