Suppr超能文献

人类视觉皮层在鲁宾脸-花瓶错觉感知中的类别选择性

Category Selectivity of Human Visual Cortex in Perception of Rubin Face-Vase Illusion.

作者信息

Wang Xiaogang, Sang Na, Hao Lei, Zhang Yong, Bi Taiyong, Qiu Jiang

机构信息

Key Laboratory of Cognition and Personality (SWU), Ministry of EducationChongqing, China.

Faculty of Psychology, Southwest UniversityChongqing, China.

出版信息

Front Psychol. 2017 Sep 12;8:1543. doi: 10.3389/fpsyg.2017.01543. eCollection 2017.

Abstract

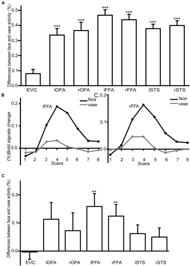
When viewing the Rubin face-vase illusion, our conscious perception spontaneously alternates between the face and the vase; this illusion has been widely used to explore bistable perception. Previous functional magnetic resonance imaging (fMRI) studies have studied the neural mechanisms underlying bistable perception through univariate and multivariate pattern analyses; however, no studies have investigated the issue of category selectivity. Here, we used fMRI to investigate the neural mechanisms underlying the Rubin face-vase illusion by introducing univariate amplitude and multivariate pattern analyses. The results from the amplitude analysis suggested that the activity in the fusiform face area was likely related to the subjective face perception. Furthermore, the pattern analysis results showed that the early visual cortex (EVC) and the face-selective cortex could discriminate the activity patterns of the face and vase perceptions. However, further analysis of the activity patterns showed that only the face-selective cortex contains the face information. These findings indicated that although the EVC and face-selective cortex activities could discriminate the visual information, only the activity and activity pattern in the face-selective areas contained the category information of face perception in the Rubin face-vase illusion.

摘要

观察鲁宾脸-花瓶错觉时,我们的意识知觉会在脸和花瓶之间自发交替;这种错觉已被广泛用于探究双稳态知觉。以往的功能磁共振成像(fMRI)研究通过单变量和多变量模式分析,研究了双稳态知觉背后的神经机制;然而,尚无研究探讨类别选择性问题。在此,我们使用fMRI,通过引入单变量幅度和多变量模式分析,来研究鲁宾脸-花瓶错觉背后的神经机制。幅度分析结果表明,梭状脸区的活动可能与主观的脸知觉有关。此外,模式分析结果显示,早期视觉皮层(EVC)和脸选择性皮层能够区分脸和花瓶知觉的活动模式。然而,对活动模式的进一步分析表明,只有脸选择性皮层包含脸的信息。这些发现表明,虽然EVC和脸选择性皮层的活动能够区分视觉信息,但在鲁宾脸-花瓶错觉中,只有脸选择性区域的活动和活动模式包含脸知觉的类别信息。

https://cdn.ncbi.nlm.nih.gov/pmc/blobs/49d9/5600935/6fe45d0894d0/fpsyg-08-01543-g001.jpg

相似文献

1
Category Selectivity of Human Visual Cortex in Perception of Rubin Face-Vase Illusion.
Front Psychol. 2017 Sep 12;8:1543. doi: 10.3389/fpsyg.2017.01543. eCollection 2017.
2
Human sensory cortex structure and top-down controlling brain network determine individual differences in perceptual alternations.
Neurosci Lett. 2017 Jan 1;636:113-119. doi: 10.1016/j.neulet.2016.10.048. Epub 2016 Oct 31.
3
Vase or face? A neural correlate of shape-selective grouping processes in the human brain.
J Cogn Neurosci. 2001 Aug 15;13(6):744-53. doi: 10.1162/08989290152541412.
5
Prestimulus feedback connectivity biases the content of visual experiences.
Proc Natl Acad Sci U S A. 2019 Aug 6;116(32):16056-16061. doi: 10.1073/pnas.1817317116. Epub 2019 Jul 22.
6
The vase-face illusion seen by the brain: an event-related brain potentials study.
Int J Psychophysiol. 2009 Oct;74(1):69-73. doi: 10.1016/j.ijpsycho.2009.07.006. Epub 2009 Jul 29.
8
Neural basis of identity information extraction from noisy face images.
J Neurosci. 2015 May 6;35(18):7165-73. doi: 10.1523/JNEUROSCI.3572-14.2015.
9
Face-selective activation in a congenital prosopagnosic subject.
J Cogn Neurosci. 2003 Apr 1;15(3):419-31. doi: 10.1162/089892903321593135.
10
Neural Correlate of the Thatcher Face Illusion in a Monkey Face-Selective Patch.
J Neurosci. 2015 Jul 8;35(27):9872-8. doi: 10.1523/JNEUROSCI.0446-15.2015.

引用本文的文献

2
Bistable perception: neural bases and usefulness in psychological research.
Int J Psychol Res (Medellin). 2018 Jul-Dec;11(2):63-76. doi: 10.21500/20112084.3375.
3
Assessing Field Dependence-Independence Cognitive Abilities Through EEG-Based Bistable Perception Processing.
Front Hum Neurosci. 2019 Oct 11;13:345. doi: 10.3389/fnhum.2019.00345. eCollection 2019.

本文引用的文献

1
The spatiotemporal dynamics of binocular rivalry: evidence for increased top-down flow prior to a perceptual switch.
Neurosci Conscious. 2016 Jan;2016(1):niw003. doi: 10.1093/nc/niw003. Epub 2016 Mar 9.
2
Negligible fronto-parietal BOLD activity accompanying unreportable switches in bistable perception.
Nat Neurosci. 2015 Nov;18(11):1672-8. doi: 10.1038/nn.4130. Epub 2015 Oct 5.
3
Brain networks underlying bistable perception.
Neuroimage. 2015 Oct 1;119:229-34. doi: 10.1016/j.neuroimage.2015.06.053. Epub 2015 Jun 26.
4
Individual variability in perceptual switching behaviour is associated with reversal-related EEG modulations.
Clin Neurophysiol. 2016 Jan;127(1):479-489. doi: 10.1016/j.clinph.2015.06.003. Epub 2015 Jun 11.
5
Brain activity dynamics in human parietal regions during spontaneous switches in bistable perception.
Neuroimage. 2015 Feb 15;107:190-197. doi: 10.1016/j.neuroimage.2014.12.018. Epub 2014 Dec 12.
6
Frontoparietal cortex mediates perceptual transitions in bistable perception.
J Neurosci. 2013 Oct 2;33(40):16009-15. doi: 10.1523/JNEUROSCI.1418-13.2013.
7
Brain mechanisms for simple perception and bistable perception.
Proc Natl Acad Sci U S A. 2013 Aug 27;110(35):E3350-9. doi: 10.1073/pnas.1221945110. Epub 2013 Aug 13.
8
Neural mechanisms of attentional reorienting in three-dimensional space.
J Neurosci. 2012 Sep 26;32(39):13352-62. doi: 10.1523/JNEUROSCI.1772-12.2012.
9
The role of frontal and parietal brain areas in bistable perception.
J Neurosci. 2011 Jul 13;31(28):10293-301. doi: 10.1523/JNEUROSCI.1727-11.2011.
10
On the functional relevance of frontal cortex for passive and voluntarily controlled bistable vision.
Cereb Cortex. 2011 Oct;21(10):2322-31. doi: 10.1093/cercor/bhr015. Epub 2011 Mar 8.

文献AI研究员

20分钟写一篇综述,助力文献阅读效率提升50倍。

立即体验

用中文搜PubMed

大模型驱动的PubMed中文搜索引擎

马上搜索

文档翻译

学术文献翻译模型,支持多种主流文档格式。

立即体验