• 文献检索
  • 文档翻译
  • 深度研究
  • 学术资讯
  • Suppr Zotero 插件Zotero 插件
  • 邀请有礼
  • 套餐&价格
  • 历史记录
应用&插件
Suppr Zotero 插件Zotero 插件浏览器插件Mac 客户端Windows 客户端微信小程序
定价
高级版会员购买积分包购买API积分包
服务
文献检索文档翻译深度研究API 文档MCP 服务
关于我们
关于 Suppr公司介绍联系我们用户协议隐私条款
关注我们

Suppr 超能文献

核心技术专利:CN118964589B侵权必究
粤ICP备2023148730 号-1Suppr @ 2026

文献检索

告别复杂PubMed语法,用中文像聊天一样搜索,搜遍4000万医学文献。AI智能推荐,让科研检索更轻松。

立即免费搜索

文件翻译

保留排版,准确专业,支持PDF/Word/PPT等文件格式,支持 12+语言互译。

免费翻译文档

深度研究

AI帮你快速写综述,25分钟生成高质量综述,智能提取关键信息,辅助科研写作。

立即免费体验

小茴香对环磷酰胺处理小鼠的卵巢保护作用。

Ovarian protection in cyclophosphamide-treated mice by fennel.

作者信息

Hassanpour Azam, Yousefian Shirin, Askaripour Majid, Sharififar Fariba, Ezzatabadipour Massood

机构信息

Department of Anatomical Sciences, Afzalipour School of Medicine, Kerman University of Medical Sciences, Kerman, Iran.

Department of Agricultural Biotechnology, National Institute of Genetic Engineering and Biotechnology, Tehran, Iran.

出版信息

Toxicol Rep. 2017 Mar 14;4:160-164. doi: 10.1016/j.toxrep.2017.03.002. eCollection 2017.

DOI:10.1016/j.toxrep.2017.03.002
PMID:28959636
原文链接:https://pmc.ncbi.nlm.nih.gov/articles/PMC5615121/
Abstract

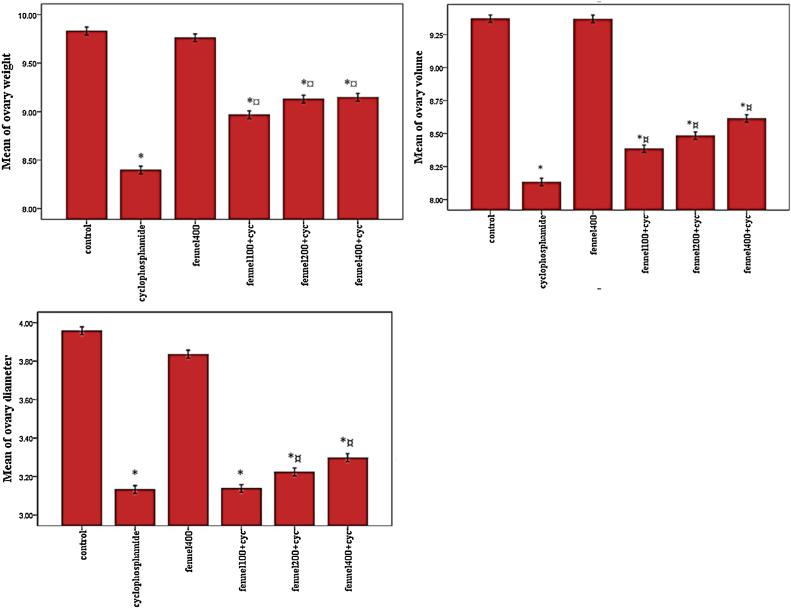
Evaluation of protective effect of fennel on mouse ovary against the destructive effects of cyclophosphamide (CP) was the aim of this study. Adult female NMARI mice were randomly divided into six groups ( = 8): (A) negative control, (B) CP200 mg/kg, (C) fennel 400 mg/kg/day, (E, F, and D) that received fennel 200, 400 and 100 mg/kg/day respectively + CP200 mg/kg. Their ovary weight, volume, and diameter (WVD) were measured. Five micron sections were stained using the H&E method. The serum levels of oestrogen and progesterone were measured using ELISA kit. The results showed that WVD significantly reduced in the CP-treated groups in comparison with the A and C, but WVD increased after treatment of the mice with fennel extract, in comparison with B group. A significant decrease of serum in terms of oestrogen and progesterone levels among CP-treated groups in comparison with the A group was observed. In the CP-treated groups a reduction in the number of different ovarian follicles in comparison with the A and C groups was observed. However, in the treated animals with fennel extract, these parameters significantly increased in comparison with the B group. Finally, it is concluded that fennel can protect ovary from cyclophosphamide side effects.

摘要

本研究旨在评估茴香对小鼠卵巢的保护作用,以对抗环磷酰胺(CP)的破坏作用。成年雌性NMARI小鼠随机分为六组(每组n = 8):(A)阴性对照组,(B)CP 200 mg/kg组,(C)茴香400 mg/kg/天组,(E、F和D)分别接受茴香200、400和100 mg/kg/天 + CP 200 mg/kg组。测量它们的卵巢重量、体积和直径(WVD)。制作5微米切片,采用苏木精-伊红(H&E)染色法染色。使用酶联免疫吸附测定(ELISA)试剂盒测量血清雌激素和孕酮水平。结果显示,与A组和C组相比,CP处理组的WVD显著降低,但与B组相比,用茴香提取物处理小鼠后WVD增加。与A组相比,观察到CP处理组血清雌激素和孕酮水平显著降低。与A组和C组相比,CP处理组不同卵巢卵泡数量减少。然而,与B组相比,用茴香提取物处理的动物中,这些参数显著增加。最后得出结论,茴香可以保护卵巢免受环磷酰胺的副作用。

https://cdn.ncbi.nlm.nih.gov/pmc/blobs/5447/5615121/a72dde722928/pl3.jpg
https://cdn.ncbi.nlm.nih.gov/pmc/blobs/5447/5615121/c69b7f50f21d/fx1.jpg
https://cdn.ncbi.nlm.nih.gov/pmc/blobs/5447/5615121/68f52f714cef/pl1.jpg
https://cdn.ncbi.nlm.nih.gov/pmc/blobs/5447/5615121/21548af93d24/pl2.jpg
https://cdn.ncbi.nlm.nih.gov/pmc/blobs/5447/5615121/dbb23775bbaf/gr1.jpg
https://cdn.ncbi.nlm.nih.gov/pmc/blobs/5447/5615121/a72dde722928/pl3.jpg
https://cdn.ncbi.nlm.nih.gov/pmc/blobs/5447/5615121/c69b7f50f21d/fx1.jpg
https://cdn.ncbi.nlm.nih.gov/pmc/blobs/5447/5615121/68f52f714cef/pl1.jpg
https://cdn.ncbi.nlm.nih.gov/pmc/blobs/5447/5615121/21548af93d24/pl2.jpg
https://cdn.ncbi.nlm.nih.gov/pmc/blobs/5447/5615121/dbb23775bbaf/gr1.jpg
https://cdn.ncbi.nlm.nih.gov/pmc/blobs/5447/5615121/a72dde722928/pl3.jpg

相似文献

1
Ovarian protection in cyclophosphamide-treated mice by fennel.小茴香对环磷酰胺处理小鼠的卵巢保护作用。
Toxicol Rep. 2017 Mar 14;4:160-164. doi: 10.1016/j.toxrep.2017.03.002. eCollection 2017.
2
Hydroalcoholic extract and seed of Foeniculum vulgare improve folliculogenesis and total antioxidant capacity level in F1 female mice offspring.水醇提物和茴香籽可改善 F1 雌性仔鼠的卵泡发生和总抗氧化能力水平。
BMC Complement Med Ther. 2020 Sep 29;20(1):294. doi: 10.1186/s12906-020-03083-3.
3
"Ferula assa-foetida L" or "Foeniculum vulgare"? Which one is more effective in the management of polycystic ovarian syndrome? A randomized, placebo controlled, triple-blinded.“阿魏(Ferula assa-foetida L)”还是“小茴香(Foeniculum vulgare)”?哪一种对多囊卵巢综合征的治疗更有效?一项随机、安慰剂对照、三盲试验。
Avicenna J Phytomed. 2023 May-Jun;13(3):280-289. doi: 10.22038/AJP.2022.21389.
4
Ceramide-1-phosphate has protective properties against cyclophosphamide-induced ovarian damage in a mice model of premature ovarian failure.神经酰胺-1-磷酸对环磷酰胺诱导的早发性卵巢衰竭小鼠模型中的卵巢损伤具有保护作用。
Hum Reprod. 2018 May 1;33(5):844-859. doi: 10.1093/humrep/dey045.
5
Ovario-protective effects of genistein against cyclophosphamide toxicity in rats: Role of anti-müllerian hormone and oestradiol.金雀异黄素对大鼠环磷酰胺毒性的卵巢保护作用:抗苗勒管激素和雌二醇的作用
Eur J Pharmacol. 2016 Oct 15;789:163-171. doi: 10.1016/j.ejphar.2016.07.026. Epub 2016 Jul 19.
6
The protective effect of hydroalcoholic extract of leaves on ovarian damage induced by cyclophosphamide in rat: An experimental study.树叶水醇提取物对环磷酰胺诱导的大鼠卵巢损伤的保护作用:一项实验研究。
Int J Reprod Biomed. 2023 Sep 20;21(8):629-638. doi: 10.18502/ijrm.v21i8.14018. eCollection 2023 Aug.
7
Chemoprotective effects of plasma derived from mice of different ages and genders on ovarian failure after cyclophosphamide treatment.不同年龄和性别的小鼠血浆对环磷酰胺治疗后卵巢衰竭的化学保护作用。
J Ovarian Res. 2020 Nov 25;13(1):138. doi: 10.1186/s13048-020-00735-3.
8
Protective effect of mirtazapine and hesperidin on cyclophosphamide-induced oxidative damage and infertility in rat ovaries.米氮平和橙皮苷对环磷酰胺诱导的大鼠卵巢氧化损伤和不孕的保护作用。
Exp Biol Med (Maywood). 2015 Dec;240(12):1682-9. doi: 10.1177/1535370215576304. Epub 2015 Mar 17.
9
Possible protective effects of crocin on destructive side effects of cyclo-phosphamide in mice ovarian tissue: Evaluation of histomorphometrical and biochemical changes.西红花苷对环磷酰胺所致小鼠卵巢组织损伤的可能保护作用:组织形态计量学及生化变化评估
Vet Res Forum. 2021 Spring;12(2):217-222. doi: 10.30466/vrf.2019.103192.2453. Epub 2021 Jun 15.
10
Protective Effects of Essential Oils as Natural Antioxidants against Hepatotoxicity Induced by Cyclophosphamide in Mice.香精油作为天然抗氧化剂对环磷酰胺诱导的小鼠肝毒性的保护作用。
PLoS One. 2016 Nov 1;11(11):e0165667. doi: 10.1371/journal.pone.0165667. eCollection 2016.

引用本文的文献

1
Therapeutic potential of fennel essential oil and manganese in modulating steroidal hormonal imbalance and ovarian alterations in rats with polycystic ovarian syndrome: An experimental study.小茴香精油和锰对多囊卵巢综合征大鼠甾体激素失衡及卵巢改变的调节作用:一项实验研究
Int J Reprod Biomed. 2025 Mar 21;23(1):79-90. doi: 10.18502/ijrm.v23i1.18201. eCollection 2025 Jan.
2
An overview of different methods to establish a murine premature ovarian failure model.建立小鼠卵巢早衰模型的不同方法概述。
Animal Model Exp Med. 2024 Dec;7(6):835-852. doi: 10.1002/ame2.12477. Epub 2024 Sep 1.
3
prevents the detrimental effects of cyclophosphamide on ovarian function in Wistar rats: An experimental study.

本文引用的文献

1
Ameliorative Effect of Gallic Acid on Cyclophosphamide-Induced Oxidative Injury and Hepatic Dysfunction in Rats.没食子酸对环磷酰胺诱导的大鼠氧化损伤和肝功能障碍的改善作用。
Med Sci (Basel). 2015 Sep 8;3(3):78-92. doi: 10.3390/medsci3030078.
2
Foeniculum vulgare Mill: a review of its botany, phytochemistry, pharmacology, contemporary application, and toxicology.小茴香(Foeniculum vulgare Mill):植物学、植物化学、药理学、现代应用及毒理学综述
Biomed Res Int. 2014;2014:842674. doi: 10.1155/2014/842674. Epub 2014 Aug 3.
3
Study of Foeniculum vulgare Effect on Folliculogenesis in Female Mice.
预防环磷酰胺对Wistar大鼠卵巢功能的有害影响:一项实验研究。
Int J Reprod Biomed. 2022 Sep 6;20(8):651-662. doi: 10.18502/ijrm.v20i8.11754. eCollection 2022 Aug.
4
The edible plant (Amaranthaceae) prevents the biochemical, histopathological and fertility impairments in colibri®-treated female rats.这种可食用植物(苋科)可预防用科利布里®处理的雌性大鼠出现生化、组织病理学和生育能力损伤。
Toxicol Rep. 2022 Mar 8;9:422-431. doi: 10.1016/j.toxrep.2022.03.014. eCollection 2022.
5
Possible protective effects of crocin on destructive side effects of cyclo-phosphamide in mice ovarian tissue: Evaluation of histomorphometrical and biochemical changes.西红花苷对环磷酰胺所致小鼠卵巢组织损伤的可能保护作用:组织形态计量学及生化变化评估
Vet Res Forum. 2021 Spring;12(2):217-222. doi: 10.30466/vrf.2019.103192.2453. Epub 2021 Jun 15.
6
Fennel affects ovarian cell proliferation, apoptosis, and response to ghrelin.茴香影响卵巢细胞增殖、凋亡和对 ghrelin 的反应。
Physiol Res. 2021 Apr 30;70(2):237-243. doi: 10.33549/physiolres.934546.
7
Evaluation of expression and serum concentration of anti-Mullerian hormone as a follicle growth marker following consumption of fennel and flaxseed extract in first-generation mice pups.评价首代仔鼠食用茴香和亚麻籽提取物后抗苗勒管激素的表达和血清浓度作为卵泡生长标志物的作用。
BMC Complement Med Ther. 2021 Mar 12;21(1):90. doi: 10.1186/s12906-021-03267-5.
8
The hepatoprotective effects of fennel seeds extract and -Anethole in streptozotocin-induced liver injury in rats.茴香籽提取物和茴香脑对链脲佐菌素诱导的大鼠肝损伤的保肝作用。
Food Sci Nutr. 2020 Dec 30;9(2):1121-1131. doi: 10.1002/fsn3.2090. eCollection 2021 Feb.
9
Hydroalcoholic extract and seed of Foeniculum vulgare improve folliculogenesis and total antioxidant capacity level in F1 female mice offspring.水醇提物和茴香籽可改善 F1 雌性仔鼠的卵泡发生和总抗氧化能力水平。
BMC Complement Med Ther. 2020 Sep 29;20(1):294. doi: 10.1186/s12906-020-03083-3.
10
The Impact of Chemotherapy on the Ovaries: Molecular Aspects and the Prevention of Ovarian Damage.化疗对卵巢的影响:分子方面与卵巢损伤的预防。
Int J Mol Sci. 2019 Oct 27;20(21):5342. doi: 10.3390/ijms20215342.
小茴香对雌性小鼠卵泡发生影响的研究。
Int J Fertil Steril. 2011 Oct;5(3):122-7. Epub 2011 Dec 22.
4
Effects of spirulina on cyclophosphamide-induced ovarian toxicity in rats: biochemical and histomorphometric evaluation of the ovary.螺旋藻对环磷酰胺诱导的大鼠卵巢毒性的影响:卵巢的生化和组织形态计量学评估
Biochem Res Int. 2013;2013:764262. doi: 10.1155/2013/764262. Epub 2013 May 9.
5
Cyclophosphamide and cancer: golden anniversary.环磷酰胺与癌症:五十周年纪念。
Nat Rev Clin Oncol. 2009 Nov;6(11):638-47. doi: 10.1038/nrclinonc.2009.146. Epub 2009 Sep 29.
6
Protective effect of the immunomodulator AS101 against cyclophosphamide-induced testicular damage in mice.免疫调节剂AS101对环磷酰胺诱导的小鼠睾丸损伤的保护作用。
Hum Reprod. 2009 Jun;24(6):1322-9. doi: 10.1093/humrep/den481. Epub 2009 Feb 24.
7
Phenolic glycosides from Foeniculum vulgare fruit and evaluation of antioxidative activity.来自小茴香果实的酚类糖苷及其抗氧化活性评价。
Phytochemistry. 2007 Jul;68(13):1805-12. doi: 10.1016/j.phytochem.2007.03.029. Epub 2007 May 10.
8
Prevention of gonadal toxicity and preservation of gonadal function and fertility in young women with systemic lupus erythematosus treated by cyclophosphamide: the PREGO-Study.环磷酰胺治疗的年轻系统性红斑狼疮女性性腺毒性的预防及性腺功能和生育力的保留:PREGO研究
Autoimmun Rev. 2006 Apr;5(4):269-72. doi: 10.1016/j.autrev.2005.10.001. Epub 2005 Oct 27.
9
Cyclophosphamide treatment causes impairment of sperm and its fertilizing ability in mice.环磷酰胺治疗会导致小鼠精子及其受精能力受损。
Toxicology. 2006 May 1;222(1-2):60-70. doi: 10.1016/j.tox.2006.01.027. Epub 2006 Mar 6.
10
The GnRH antagonist cetrorelix reduces cyclophosphamide-induced ovarian follicular destruction in mice.促性腺激素释放激素拮抗剂西曲瑞克可减少环磷酰胺诱导的小鼠卵巢卵泡破坏。
Hum Reprod. 2004 Jun;19(6):1294-9. doi: 10.1093/humrep/deh257. Epub 2004 Apr 29.