• 文献检索
  • 文档翻译
  • 深度研究
  • 学术资讯
  • Suppr Zotero 插件Zotero 插件
  • 邀请有礼
  • 套餐&价格
  • 历史记录
应用&插件
Suppr Zotero 插件Zotero 插件浏览器插件Mac 客户端Windows 客户端微信小程序
定价
高级版会员购买积分包购买API积分包
服务
文献检索文档翻译深度研究API 文档MCP 服务
关于我们
关于 Suppr公司介绍联系我们用户协议隐私条款
关注我们

Suppr 超能文献

核心技术专利:CN118964589B侵权必究
粤ICP备2023148730 号-1Suppr @ 2026

文献检索

告别复杂PubMed语法,用中文像聊天一样搜索,搜遍4000万医学文献。AI智能推荐,让科研检索更轻松。

立即免费搜索

文件翻译

保留排版,准确专业,支持PDF/Word/PPT等文件格式,支持 12+语言互译。

免费翻译文档

深度研究

AI帮你快速写综述,25分钟生成高质量综述,智能提取关键信息,辅助科研写作。

立即免费体验

新型吡喃萘醌的特性和杀锥虫活性。

Characterization and Trypanocidal Activity of a Novel Pyranaphthoquinone.

机构信息

Pharmacy Department, Health Sciences Center, Universidade Federal do Rio Grande do Norte (UFRN), Natal RN 59012-570, Brazil.

Crowfoot Group of X-ray Techniques, Universidade Estadual do Amazonas (UEA), Manaus AM 69065-020, Brazil.

出版信息

Molecules. 2017 Sep 30;22(10):1631. doi: 10.3390/molecules22101631.

DOI:10.3390/molecules22101631
PMID:28973960
原文链接:https://pmc.ncbi.nlm.nih.gov/articles/PMC6151607/
Abstract

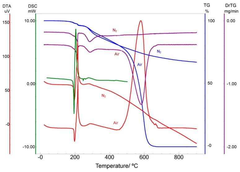
Chagas disease is an endemic parasitic infection that occurs in 21 Latin American countries. New therapies for this disease are urgently needed, as the only two drugs available (nifurtimox and benznidazol) have high toxicity and variable efficacy in the disease's chronic phase. Recently, a new chemical entity (NCE) named Pyranaphthoquinone (IVS320) was synthesized from lawsone. We report herein, a detailed study of the physicochemical properties and in vitro trypanocidal activity of IVS320. A series of assays were performed for characterization, where thermal, diffractometric, and morphological analysis were performed. In addition, the solubility, permeability, and hygroscopicity of IVS320 were determined. The results show that its poor solubility and low permeability may be due to its high degree of crystallinity (99.19%), which might require the use of proper techniques to increase the IVS320's aqueous solubility and permeability. The trypanocidal activity study demonstrated that IVS320 is more potent than the reference drug benznidazole, with IC50/24 h of 1.49 ± 0.1 μM, which indicates that IVS320 has potential as a new drug candidate for the treatment of Chagas disease.

摘要

恰加斯病是一种地方性寄生虫感染病,流行于 21 个拉丁美洲国家。目前迫切需要针对该病的新疗法,因为现有的两种药物(硝呋莫司和苯并咪唑)在疾病的慢性期具有较高的毒性和可变的疗效。最近,一种名为 Pyranaphthoquinone(IVS320)的新化学实体从 lawsone 中合成。我们在此报告了 IVS320 的理化性质和体外杀变形虫活性的详细研究。进行了一系列的特征描述性实验,包括热分析、衍射和形态分析。此外,还测定了 IVS320 的溶解度、渗透性和吸湿性。结果表明,其较差的溶解度和低渗透性可能是由于其高结晶度(99.19%)所致,这可能需要使用适当的技术来提高 IVS320 的水溶解度和渗透性。杀变形虫活性研究表明,IVS320 比参考药物苯并咪唑更有效,其 IC50/24 h 为 1.49±0.1 μM,这表明 IVS320 有作为一种新的抗恰加斯病候选药物的潜力。

https://cdn.ncbi.nlm.nih.gov/pmc/blobs/d650/6151607/54a55dabf373/molecules-22-01631-g006.jpg
https://cdn.ncbi.nlm.nih.gov/pmc/blobs/d650/6151607/a8047a1ba8ae/molecules-22-01631-g001.jpg
https://cdn.ncbi.nlm.nih.gov/pmc/blobs/d650/6151607/5987de58ccb4/molecules-22-01631-g002.jpg
https://cdn.ncbi.nlm.nih.gov/pmc/blobs/d650/6151607/af21f0685d84/molecules-22-01631-g003.jpg
https://cdn.ncbi.nlm.nih.gov/pmc/blobs/d650/6151607/c990dbcecc0d/molecules-22-01631-g004.jpg
https://cdn.ncbi.nlm.nih.gov/pmc/blobs/d650/6151607/3086421016a5/molecules-22-01631-g005.jpg
https://cdn.ncbi.nlm.nih.gov/pmc/blobs/d650/6151607/54a55dabf373/molecules-22-01631-g006.jpg
https://cdn.ncbi.nlm.nih.gov/pmc/blobs/d650/6151607/a8047a1ba8ae/molecules-22-01631-g001.jpg
https://cdn.ncbi.nlm.nih.gov/pmc/blobs/d650/6151607/5987de58ccb4/molecules-22-01631-g002.jpg
https://cdn.ncbi.nlm.nih.gov/pmc/blobs/d650/6151607/af21f0685d84/molecules-22-01631-g003.jpg
https://cdn.ncbi.nlm.nih.gov/pmc/blobs/d650/6151607/c990dbcecc0d/molecules-22-01631-g004.jpg
https://cdn.ncbi.nlm.nih.gov/pmc/blobs/d650/6151607/3086421016a5/molecules-22-01631-g005.jpg
https://cdn.ncbi.nlm.nih.gov/pmc/blobs/d650/6151607/54a55dabf373/molecules-22-01631-g006.jpg

相似文献

1
Characterization and Trypanocidal Activity of a Novel Pyranaphthoquinone.新型吡喃萘醌的特性和杀锥虫活性。
Molecules. 2017 Sep 30;22(10):1631. doi: 10.3390/molecules22101631.
2
Natural and synthetic naphthoquinones active against Trypanosoma cruzi: an initial step towards new drugs for Chagas disease.天然和合成萘醌类化合物对 Trypanosoma cruzi 的活性:开发治疗恰加斯病新药的初步步骤。
Curr Med Chem. 2011;18(1):144-61. doi: 10.2174/092986711793979779.
3
Optimization of 1,4-Naphthoquinone Hit Compound: A Computational, Phenotypic, and In Vivo Screening against .1,4-萘醌命中化合物的优化:针对. 的计算、表型和体内筛选
Molecules. 2021 Jan 15;26(2):423. doi: 10.3390/molecules26020423.
4
Effect of 9-hydroxy-α- and 7-hydroxy-β-pyran naphthoquinones on Trypanosoma cruzi and structure-activity relationship studies.9-羟基-α-和7-羟基-β-吡喃萘醌对克氏锥虫的作用及构效关系研究
Med Chem. 2014;10(6):564-70. doi: 10.2174/1573406410666131229151303.
5
Characterization and trypanocidal activity of a β-lapachone-containing drug carrier.载β-拉帕酮药物载体的特性和杀锥虫活性。
PLoS One. 2021 Mar 4;16(3):e0246811. doi: 10.1371/journal.pone.0246811. eCollection 2021.
6
Structural design, synthesis and pharmacological evaluation of thiazoles against Trypanosoma cruzi.针对克氏锥虫的噻唑类化合物的结构设计、合成及药理学评价
Eur J Med Chem. 2017 Dec 1;141:346-361. doi: 10.1016/j.ejmech.2017.09.047. Epub 2017 Sep 22.
7
Investigating the structure-activity relationships of N'-[(5-nitrofuran-2-yl) methylene] substituted hydrazides against Trypanosoma cruzi to design novel active compounds.研究N'-[(5-硝基呋喃-2-基)亚甲基]取代酰肼对克氏锥虫的构效关系以设计新型活性化合物。
Eur J Med Chem. 2018 Jan 20;144:29-40. doi: 10.1016/j.ejmech.2017.12.011. Epub 2017 Dec 5.
8
Trypanothione Reductase: A Target for the Development of Anti- Trypanosoma cruzi Drugs.锥虫硫醇还原酶:开发抗克氏锥虫药物的靶点
Mini Rev Med Chem. 2017;17(11):939-946. doi: 10.2174/1389557517666170315145410.
9
New oxirane derivatives of 1,4-naphthoquinones and their evaluation against T. cruzi epimastigote forms.1,4-萘醌新型环氧化衍生物及其对抗 T. cruzi 无鞭毛体形式的评价。
Bioorg Med Chem. 2012 Aug 15;20(16):4995-5000. doi: 10.1016/j.bmc.2012.06.027. Epub 2012 Jun 21.
10
Efficacy of 2-hydroxy-3-phenylsulfanylmethyl-[1,4]-naphthoquinone derivatives against different Trypanosoma cruzi discrete type units: Identification of a promising hit compound.2-羟基-3-苯硫甲基-[1,4]-萘醌衍生物对不同的克氏锥虫离散型单位的疗效:有希望的命中化合物的鉴定。
Eur J Med Chem. 2018 Jan 20;144:572-581. doi: 10.1016/j.ejmech.2017.12.052. Epub 2017 Dec 16.

引用本文的文献

1
Antifungal Activity of Selected Naphthoquinones and Their Synergistic Combination with Amphotericin B Against H99.所选萘醌类化合物的抗真菌活性及其与两性霉素B联合对H99的协同作用
Antibiotics (Basel). 2025 Jun 13;14(6):602. doi: 10.3390/antibiotics14060602.
2
Cyclodextrin Complexes for the Treatment of Chagas Disease: A Literature Review.环糊精复合物治疗恰加斯病:文献综述。
Int J Mol Sci. 2024 Sep 1;25(17):9511. doi: 10.3390/ijms25179511.
3
and Biological Activity of Two Aryloxy-naphthoquinones in Mice Infected with Strains.

本文引用的文献

1
Anti-inflammatory action of 2-carbomethoxy-2,3-epoxy-3-prenyl-1,4-naphthoquinone (CMEP-NQ) suppresses both the MyD88-dependent and TRIF-dependent pathways of TLR4 signaling in LPS-stimulated RAW264.7 cells.2-甲氧羰基-2,3-环氧-3-异戊烯基-1,4-萘醌(CMEP-NQ)的抗炎作用抑制了脂多糖刺激的RAW264.7细胞中TLR4信号传导的MyD88依赖性和TRIF依赖性途径。
J Ethnopharmacol. 2017 Jun 9;205:103-115. doi: 10.1016/j.jep.2017.04.029. Epub 2017 Apr 30.
2
Insights into cytochrome bc1 complex binding mode of antimalarial 2-hydroxy-1,4-naphthoquinones through molecular modelling.通过分子模拟深入了解抗疟2-羟基-1,4-萘醌与细胞色素bc1复合物的结合模式
Mem Inst Oswaldo Cruz. 2017 Apr;112(4):299-308. doi: 10.1590/0074-02760160417.
3
并对两种芳氧基萘醌类化合物在感染 株的小鼠中的生物学活性进行研究。
Med Chem. 2024;20(10):938-943. doi: 10.2174/0115734064287956240426110450.
4
The evaluation of antichagasic and -SARS-CoV-2 potential of inclusion complexes of β- and methyl-β-cyclodextrin with naphthoquinone.β-环糊精和甲基-β-环糊精与萘醌包合物的抗锥虫和抗SARS-CoV-2潜力评估
J Drug Deliv Sci Technol. 2023 Mar;81:104229. doi: 10.1016/j.jddst.2023.104229. Epub 2023 Feb 8.
5
Novel Solid Dispersions of Naphthoquinone Using Different Polymers for Improvement of Antichagasic Activity.使用不同聚合物的萘醌新型固体分散体用于改善抗恰加斯病活性
Pharmaceutics. 2020 Nov 24;12(12):1136. doi: 10.3390/pharmaceutics12121136.
Alkoxy and Enediyne Derivatives Containing 1,4-Benzoquinone Subunits-Synthesis and Antitumor Activity.
含1,4-苯醌亚基的烷氧基和烯二炔衍生物——合成与抗肿瘤活性
Molecules. 2017 Mar 11;22(3):447. doi: 10.3390/molecules22030447.
4
Evaluation on the leishmanicidal activity of 2-N,N'-dialkylamino-1,4-naphthoquinone derivatives.2-N,N'-二烷基氨基-1,4-萘醌衍生物的杀利什曼原虫活性评估
Exp Parasitol. 2017 May;176:46-51. doi: 10.1016/j.exppara.2017.02.004. Epub 2017 Feb 4.
5
Carbonic anhydrases from Trypanosoma and Leishmania as anti-protozoan drug targets.来自锥虫和利什曼原虫的碳酸酐酶作为抗寄生虫药物靶点。
Bioorg Med Chem. 2017 Mar 1;25(5):1543-1555. doi: 10.1016/j.bmc.2017.01.034. Epub 2017 Jan 24.
6
New family of antimicrobial agents derived from 1,4-naphthoquinone.新型 1,4-萘醌类抗菌药物。
Eur J Med Chem. 2016 Nov 29;124:1019-1025. doi: 10.1016/j.ejmech.2016.10.034. Epub 2016 Oct 17.
7
Ecoepidemiology, short history and control of Chagas disease in the endemic countries and the new challenge for non-endemic countries.生态流行病学、查加斯病在流行国家的简史与防控以及非流行国家面临的新挑战
Mem Inst Oswaldo Cruz. 2014 Nov;109(7):856-62. doi: 10.1590/0074-0276140236. Epub 2014 Oct 21.
8
Novel naphthoquinone derivatives and evaluation of their trypanocidal and leishmanicidal activities.新型萘醌衍生物及其杀锥虫和杀利什曼原虫活性的评估
Org Biomol Chem. 2015 Jan 14;13(2):428-37. doi: 10.1039/c4ob01869a. Epub 2014 Nov 5.
9
2-Phenylaminonaphthoquinones and related compounds: synthesis, trypanocidal and cytotoxic activities.2-苯基氨基萘醌及其相关化合物:合成、杀锥虫活性和细胞毒性
Bioorg Med Chem. 2014 Sep 1;22(17):4609-20. doi: 10.1016/j.bmc.2014.07.030. Epub 2014 Jul 27.
10
Antifungal activity of synthetic naphthoquinones against dermatophytes and opportunistic fungi: preliminary mechanism-of-action tests.合成萘醌对皮肤癣菌和机会性真菌的抗真菌活性:初步作用机制试验
Ann Clin Microbiol Antimicrob. 2014 Jul 6;13:26. doi: 10.1186/1476-0711-13-26.