• 文献检索
  • 文档翻译
  • 深度研究
  • 学术资讯
  • Suppr Zotero 插件Zotero 插件
  • 邀请有礼
  • 套餐&价格
  • 历史记录
应用&插件
Suppr Zotero 插件Zotero 插件浏览器插件Mac 客户端Windows 客户端微信小程序
定价
高级版会员购买积分包购买API积分包
服务
文献检索文档翻译深度研究API 文档MCP 服务
关于我们
关于 Suppr公司介绍联系我们用户协议隐私条款
关注我们

Suppr 超能文献

核心技术专利:CN118964589B侵权必究
粤ICP备2023148730 号-1Suppr @ 2026

文献检索

告别复杂PubMed语法,用中文像聊天一样搜索,搜遍4000万医学文献。AI智能推荐,让科研检索更轻松。

立即免费搜索

文件翻译

保留排版,准确专业,支持PDF/Word/PPT等文件格式,支持 12+语言互译。

免费翻译文档

深度研究

AI帮你快速写综述,25分钟生成高质量综述,智能提取关键信息,辅助科研写作。

立即免费体验

用于优化季节性蓄热的氯化钙和氯化镁水合物化学混合物的第一性原理研究。

First-Principles Study of Chemical Mixtures of CaCl and MgCl Hydrates for Optimized Seasonal Heat Storage.

作者信息

Pathak A D, Tranca I, Nedea S V, Zondag H A, Rindt C C M, Smeulders D M J

机构信息

Energy Technology, Department of Mechanical Engineering, Eindhoven University of Technology, Eindhoven 5612 AZ, The Netherlands.

出版信息

J Phys Chem C Nanomater Interfaces. 2017 Sep 28;121(38):20576-20590. doi: 10.1021/acs.jpcc.7b05245. Epub 2017 Aug 28.

DOI:10.1021/acs.jpcc.7b05245
PMID:28983386
原文链接:https://pmc.ncbi.nlm.nih.gov/articles/PMC5623945/
Abstract

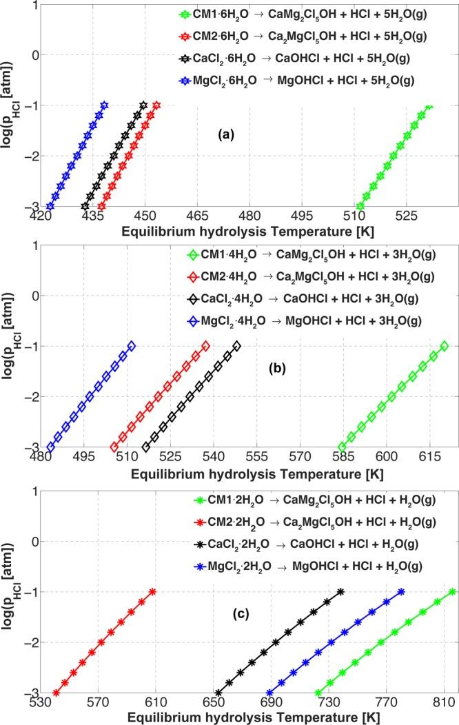
Chloride-based salt hydrates form a promising class of thermochemical materials (TCMs), having high storage capacity and fast kinetics. In the charging cycles of these hydrates however hydrolysis might appear along with dehydration. The HCl produced during the hydrolysis degrades and corrodes the storage system. Our GGA-DFT results show that the enthalpy charge during proton formation (an important step in hydrolysis) is much higher for CaCl·2HO (33.75 kcal/mol) than for MgCl·2HO (19.55 kcal/mol). This is a strong indicator that hydrolysis can be minimized by appropriate chemical mixing of CaCl and Mg Cl hydrates, which is also confirmed by recent experimental studies. GGA-DFT calculations were performed to obtain and analyze the optimized structures, charge distributions, bonding indicators and harmonic frequencies of various chemical mixtures hydrates and compared them to their elementary salts hydrates. We have further assessed the equilibrium products concentration of dehydration/hydrolysis of the chemical mixtures under a wide range of operating conditions. We observed that chemical mixing leads to an increase of the onset hydrolysis temperature with a maximum value of 79 K, thus increasing the resistance against hydrolysis with respect to the elementary salt hydrates. We also found that the chemical mixing of CaCl and MgCl hydrates widens the operating dehydration temperature range by a maximum value of 182 K (CaMgCl·2HO) and lowers the binding enthalpy with respect to the physical mixture by ≈65 kcal/mol for TCM based heat storage systems.

摘要

基于氯化物的盐水合物构成了一类很有前景的热化学材料(TCMs),具有高存储容量和快速动力学。然而,在这些水合物的充电循环中,水解可能会与脱水同时出现。水解过程中产生的HCl会降解并腐蚀存储系统。我们的广义梯度近似密度泛函理论(GGA-DFT)结果表明,对于CaCl·2HO(33.75千卡/摩尔),质子形成过程(水解中的一个重要步骤)中的焓变比MgCl·2HO(19.55千卡/摩尔)高得多。这有力地表明,通过CaCl和MgCl水合物的适当化学混合可以将水解降至最低,最近的实验研究也证实了这一点。进行GGA-DFT计算以获得并分析各种化学混合物水合物的优化结构、电荷分布、键合指标和谐波频率,并将它们与其单质盐水合物进行比较。我们还评估了在广泛的操作条件下化学混合物脱水/水解的平衡产物浓度。我们观察到化学混合导致起始水解温度升高,最大值为79 K,从而相对于单质盐水合物提高了抗水解能力。我们还发现,CaCl和MgCl水合物的化学混合使操作脱水温度范围最大拓宽了182 K(CaMgCl·2HO),并且对于基于TCM的储热系统,相对于物理混合物降低了约65千卡/摩尔的结合焓。

https://cdn.ncbi.nlm.nih.gov/pmc/blobs/a97a/5623945/0db4ec11852a/jp-2017-05245b_0013.jpg
https://cdn.ncbi.nlm.nih.gov/pmc/blobs/a97a/5623945/d81502369f54/jp-2017-05245b_0001.jpg
https://cdn.ncbi.nlm.nih.gov/pmc/blobs/a97a/5623945/d1be5affe64b/jp-2017-05245b_0002.jpg
https://cdn.ncbi.nlm.nih.gov/pmc/blobs/a97a/5623945/6cde5ed483e5/jp-2017-05245b_0003.jpg
https://cdn.ncbi.nlm.nih.gov/pmc/blobs/a97a/5623945/9e7e42603c42/jp-2017-05245b_0004.jpg
https://cdn.ncbi.nlm.nih.gov/pmc/blobs/a97a/5623945/78dd6593502c/jp-2017-05245b_0005.jpg
https://cdn.ncbi.nlm.nih.gov/pmc/blobs/a97a/5623945/a0d3aaf37c49/jp-2017-05245b_0006.jpg
https://cdn.ncbi.nlm.nih.gov/pmc/blobs/a97a/5623945/47f576d0b355/jp-2017-05245b_0007.jpg
https://cdn.ncbi.nlm.nih.gov/pmc/blobs/a97a/5623945/bb374d2f336a/jp-2017-05245b_0008.jpg
https://cdn.ncbi.nlm.nih.gov/pmc/blobs/a97a/5623945/613ccc0ec411/jp-2017-05245b_0009.jpg
https://cdn.ncbi.nlm.nih.gov/pmc/blobs/a97a/5623945/03bdd39e86f0/jp-2017-05245b_0010.jpg
https://cdn.ncbi.nlm.nih.gov/pmc/blobs/a97a/5623945/a2d7c90e1492/jp-2017-05245b_0011.jpg
https://cdn.ncbi.nlm.nih.gov/pmc/blobs/a97a/5623945/b5485759038a/jp-2017-05245b_0012.jpg
https://cdn.ncbi.nlm.nih.gov/pmc/blobs/a97a/5623945/0db4ec11852a/jp-2017-05245b_0013.jpg
https://cdn.ncbi.nlm.nih.gov/pmc/blobs/a97a/5623945/d81502369f54/jp-2017-05245b_0001.jpg
https://cdn.ncbi.nlm.nih.gov/pmc/blobs/a97a/5623945/d1be5affe64b/jp-2017-05245b_0002.jpg
https://cdn.ncbi.nlm.nih.gov/pmc/blobs/a97a/5623945/6cde5ed483e5/jp-2017-05245b_0003.jpg
https://cdn.ncbi.nlm.nih.gov/pmc/blobs/a97a/5623945/9e7e42603c42/jp-2017-05245b_0004.jpg
https://cdn.ncbi.nlm.nih.gov/pmc/blobs/a97a/5623945/78dd6593502c/jp-2017-05245b_0005.jpg
https://cdn.ncbi.nlm.nih.gov/pmc/blobs/a97a/5623945/a0d3aaf37c49/jp-2017-05245b_0006.jpg
https://cdn.ncbi.nlm.nih.gov/pmc/blobs/a97a/5623945/47f576d0b355/jp-2017-05245b_0007.jpg
https://cdn.ncbi.nlm.nih.gov/pmc/blobs/a97a/5623945/bb374d2f336a/jp-2017-05245b_0008.jpg
https://cdn.ncbi.nlm.nih.gov/pmc/blobs/a97a/5623945/613ccc0ec411/jp-2017-05245b_0009.jpg
https://cdn.ncbi.nlm.nih.gov/pmc/blobs/a97a/5623945/03bdd39e86f0/jp-2017-05245b_0010.jpg
https://cdn.ncbi.nlm.nih.gov/pmc/blobs/a97a/5623945/a2d7c90e1492/jp-2017-05245b_0011.jpg
https://cdn.ncbi.nlm.nih.gov/pmc/blobs/a97a/5623945/b5485759038a/jp-2017-05245b_0012.jpg
https://cdn.ncbi.nlm.nih.gov/pmc/blobs/a97a/5623945/0db4ec11852a/jp-2017-05245b_0013.jpg

相似文献

1
First-Principles Study of Chemical Mixtures of CaCl and MgCl Hydrates for Optimized Seasonal Heat Storage.用于优化季节性蓄热的氯化钙和氯化镁水合物化学混合物的第一性原理研究。
J Phys Chem C Nanomater Interfaces. 2017 Sep 28;121(38):20576-20590. doi: 10.1021/acs.jpcc.7b05245. Epub 2017 Aug 28.
2
A DFT-based comparative equilibrium study of thermal dehydration and hydrolysis of CaCl₂ hydrates and MgCl₂ hydrates for seasonal heat storage.基于密度泛函理论的氯化钙水合物和氯化镁水合物热脱水及水解用于季节性蓄热的比较平衡研究
Phys Chem Chem Phys. 2016 Apr 21;18(15):10059-69. doi: 10.1039/c6cp00926c. Epub 2016 Mar 23.
3
Reactive force field development for magnesium chloride hydrates and its application for seasonal heat storage.氯化镁水合物的反应力场开发及其在季节性蓄热中的应用。
Phys Chem Chem Phys. 2016 Jun 21;18(23):15838-47. doi: 10.1039/c6cp02762h. Epub 2016 May 27.
4
A DFT based equilibrium study on the hydrolysis and the dehydration reactions of MgCl2 hydrates.基于密度泛函理论对 MgCl2 水合物的水解和脱水反应的平衡研究。
J Chem Phys. 2013 Sep 28;139(12):124312. doi: 10.1063/1.4822001.
5
Raman Spectroscopic Study of the Effect of Aqueous Salt Solutions on the Inhibition of Carbon Dioxide Gas Hydrates.
J Phys Chem B. 2019 Mar 14;123(10):2354-2361. doi: 10.1021/acs.jpcb.8b11040. Epub 2019 Mar 1.
6
Chemical potentials of alkaline earth metal halide aqueous electrolytes and solubility of their hydrates by molecular simulation: Application to CaCl, antarcticite, and sinjarite.碱土金属卤化物水合电解质的化学势和水合物的溶解度的分子模拟:在 CaCl、南极石和硅铍钇矿中的应用。
J Chem Phys. 2018 Jun 14;148(22):222832. doi: 10.1063/1.5024212.
7
The effect of a solid surface on the segregation and melting of salt hydrates.固体表面对盐类水合物的分凝和熔融的影响。
J Am Chem Soc. 2014 Oct 22;136(42):14811-20. doi: 10.1021/ja5067866. Epub 2014 Oct 14.
8
Compressibility, thermal expansion coefficient and heat capacity of CH4 and CO2 hydrate mixtures using molecular dynamics simulations.使用分子动力学模拟研究甲烷和二氧化碳水合物混合物的压缩性、热膨胀系数和热容
Phys Chem Chem Phys. 2015 Jan 28;17(4):2869-83. doi: 10.1039/c4cp04212c. Epub 2014 Dec 15.
9
Effects of porous carbon materials on heat storage performance of CaCl hydrate for low-grade thermal energy.多孔碳材料对氯化钙水合物用于低品位热能储热性能的影响
RSC Adv. 2023 Nov 6;13(46):32567-32581. doi: 10.1039/d3ra04859d. eCollection 2023 Oct 31.
10
Effect of Small Cage Guests on Dissociation Properties of Tetrahydrofuran Hydrates.小笼状客体对四氢呋喃水合物离解特性的影响
J Phys Chem B. 2020 Aug 20;124(33):7217-7228. doi: 10.1021/acs.jpcb.0c03938. Epub 2020 Aug 6.

引用本文的文献

1
Clean production and utilisation of hydrogen in molten salts.熔盐中氢的清洁生产与利用。
RSC Adv. 2020 Oct 1;10(59):36020-36030. doi: 10.1039/d0ra06575g. eCollection 2020 Sep 28.
2
Reactive Grand-Canonical Monte Carlo Simulations for Modeling Hydration of MgCl.用于模拟氯化镁水合作用的反应性巨正则蒙特卡罗模拟
ACS Omega. 2021 Nov 25;6(48):32475-32484. doi: 10.1021/acsomega.1c03909. eCollection 2021 Dec 7.

本文引用的文献

1
How molecular is the chemisorptive bond?化学吸附键的分子特性是怎样的?
Phys Chem Chem Phys. 2016 Aug 3;18(31):20868-94. doi: 10.1039/c6cp01394e.
2
Reactive force field development for magnesium chloride hydrates and its application for seasonal heat storage.氯化镁水合物的反应力场开发及其在季节性蓄热中的应用。
Phys Chem Chem Phys. 2016 Jun 21;18(23):15838-47. doi: 10.1039/c6cp02762h. Epub 2016 May 27.
3
A DFT-based comparative equilibrium study of thermal dehydration and hydrolysis of CaCl₂ hydrates and MgCl₂ hydrates for seasonal heat storage.
基于密度泛函理论的氯化钙水合物和氯化镁水合物热脱水及水解用于季节性蓄热的比较平衡研究
Phys Chem Chem Phys. 2016 Apr 21;18(15):10059-69. doi: 10.1039/c6cp00926c. Epub 2016 Mar 23.
4
Revisiting the BaO2/BaO redox cycle for solar thermochemical energy storage.重新审视用于太阳能热化学储能的BaO₂/BaO氧化还原循环。
Phys Chem Chem Phys. 2016 Mar 21;18(11):8039-48. doi: 10.1039/c5cp07777j.
5
A DFT based equilibrium study on the hydrolysis and the dehydration reactions of MgCl2 hydrates.基于密度泛函理论对 MgCl2 水合物的水解和脱水反应的平衡研究。
J Chem Phys. 2013 Sep 28;139(12):124312. doi: 10.1063/1.4822001.
6
Analytic projection from plane-wave and PAW wavefunctions and application to chemical-bonding analysis in solids.从平面波和赝波函数进行解析投影及其在固体化学键分析中的应用。
J Comput Chem. 2013 Nov 5;34(29):2557-67. doi: 10.1002/jcc.23424. Epub 2013 Sep 10.
7
A grid-based Bader analysis algorithm without lattice bias.一种无晶格偏差的基于网格的巴德分析算法。
J Phys Condens Matter. 2009 Feb 25;21(8):084204. doi: 10.1088/0953-8984/21/8/084204. Epub 2009 Jan 30.
8
Crystal orbital Hamilton population (COHP) analysis as projected from plane-wave basis sets.基于平面波基组展开的晶体轨道哈密顿布居(COHP)分析。
J Phys Chem A. 2011 Jun 2;115(21):5461-6. doi: 10.1021/jp202489s. Epub 2011 May 6.
9
Accurate and efficient algorithm for Bader charge integration.用于 Bader 电荷积分的精确高效算法。
J Chem Phys. 2011 Feb 14;134(6):064111. doi: 10.1063/1.3553716.
10
Improved grid-based algorithm for Bader charge allocation.用于巴德电荷分配的改进型基于网格的算法。
J Comput Chem. 2007 Apr 15;28(5):899-908. doi: 10.1002/jcc.20575.