• 文献检索
  • 文档翻译
  • 深度研究
  • 学术资讯
  • Suppr Zotero 插件Zotero 插件
  • 邀请有礼
  • 套餐&价格
  • 历史记录
应用&插件
Suppr Zotero 插件Zotero 插件浏览器插件Mac 客户端Windows 客户端微信小程序
定价
高级版会员购买积分包购买API积分包
服务
文献检索文档翻译深度研究API 文档MCP 服务
关于我们
关于 Suppr公司介绍联系我们用户协议隐私条款
关注我们

Suppr 超能文献

核心技术专利:CN118964589B侵权必究
粤ICP备2023148730 号-1Suppr @ 2026

文献检索

告别复杂PubMed语法,用中文像聊天一样搜索,搜遍4000万医学文献。AI智能推荐,让科研检索更轻松。

立即免费搜索

文件翻译

保留排版,准确专业,支持PDF/Word/PPT等文件格式,支持 12+语言互译。

免费翻译文档

深度研究

AI帮你快速写综述,25分钟生成高质量综述,智能提取关键信息,辅助科研写作。

立即免费体验

多发性硬化症脑损伤的动态变化与异质性

Dynamics and heterogeneity of brain damage in multiple sclerosis.

作者信息

Kotelnikova Ekaterina, Kiani Narsis A, Abad Elena, Martinez-Lapiscina Elena H, Andorra Magi, Zubizarreta Irati, Pulido-Valdeolivas Irene, Pertsovskaya Inna, Alexopoulos Leonidas G, Olsson Tomas, Martin Roland, Paul Friedemann, Tegnér Jesper, Garcia-Ojalvo Jordi, Villoslada Pablo

机构信息

Center for Neuroimmunology, Institut d'Investigacions Biomèdiques August Pi Sunyer (IDIBAPS), University of Barcelona, Barcelona, Spain.

Unit of Computational Medicine, Department of Medicine & Science for Life Laboratory, Karolinska Institute, Stockholm, Sweden.

出版信息

PLoS Comput Biol. 2017 Oct 26;13(10):e1005757. doi: 10.1371/journal.pcbi.1005757. eCollection 2017 Oct.

DOI:10.1371/journal.pcbi.1005757
PMID:29073203
原文链接:https://pmc.ncbi.nlm.nih.gov/articles/PMC5657613/
Abstract

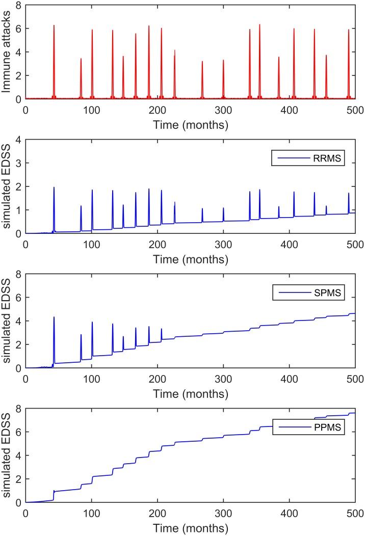
Multiple Sclerosis (MS) is an autoimmune disease driving inflammatory and degenerative processes that damage the central nervous system (CNS). However, it is not well understood how these events interact and evolve to evoke such a highly dynamic and heterogeneous disease. We established a hypothesis whereby the variability in the course of MS is driven by the very same pathogenic mechanisms responsible for the disease, the autoimmune attack on the CNS that leads to chronic inflammation, neuroaxonal degeneration and remyelination. We propose that each of these processes acts more or less severely and at different times in each of the clinical subgroups. To test this hypothesis, we developed a mathematical model that was constrained by experimental data (the expanded disability status scale [EDSS] time series) obtained from a retrospective longitudinal cohort of 66 MS patients with a long-term follow-up (up to 20 years). Moreover, we validated this model in a second prospective cohort of 120 MS patients with a three-year follow-up, for which EDSS data and brain volume time series were available. The clinical heterogeneity in the datasets was reduced by grouping the EDSS time series using an unsupervised clustering analysis. We found that by adjusting certain parameters, albeit within their biological range, the mathematical model reproduced the different disease courses, supporting the dynamic CNS damage hypothesis to explain MS heterogeneity. Our analysis suggests that the irreversible axon degeneration produced in the early stages of progressive MS is mainly due to the higher rate of myelinated axon degeneration, coupled to the lower capacity for remyelination. However, and in agreement with recent pathological studies, degeneration of chronically demyelinated axons is not a key feature that distinguishes this phenotype. Moreover, the model reveals that lower rates of axon degeneration and more rapid remyelination make relapsing MS more resilient than the progressive subtype. Therefore, our results support the hypothesis of a common pathogenesis for the different MS subtypes, even in the presence of genetic and environmental heterogeneity. Hence, MS can be considered as a single disease in which specific dynamics can provoke a variety of clinical outcomes in different patient groups. These results have important implications for the design of therapeutic interventions for MS at different stages of the disease.

摘要

多发性硬化症(MS)是一种自身免疫性疾病,会引发炎症和退行性病变,损害中枢神经系统(CNS)。然而,目前尚不清楚这些事件如何相互作用和演变,从而引发这种高度动态且异质性的疾病。我们提出了一个假说,即MS病程的变异性是由导致该疾病的相同致病机制驱动的,即针对CNS的自身免疫攻击,导致慢性炎症、神经轴突退变和再髓鞘化。我们认为,这些过程在每个临床亚组中或多或少地在不同时间以不同程度发挥作用。为了验证这一假说,我们开发了一个数学模型,该模型受从66名进行长期随访(长达20年)的MS患者的回顾性纵向队列中获得的实验数据(扩展残疾状态量表[EDSS]时间序列)的约束。此外,我们在第二个前瞻性队列的120名MS患者中对该模型进行了验证,该队列进行了三年的随访,可获得EDSS数据和脑容量时间序列。通过使用无监督聚类分析对EDSS时间序列进行分组,减少了数据集中的临床异质性。我们发现,通过调整某些参数,尽管在其生物学范围内,数学模型能够再现不同的疾病病程,支持动态CNS损伤假说以解释MS的异质性。我们的分析表明,进展性MS早期产生的不可逆轴突退变主要是由于有髓轴突退变率较高,再加上再髓鞘化能力较低。然而,与最近的病理学研究一致,慢性脱髓鞘轴突的退变并不是区分该表型的关键特征。此外,该模型表明,较低的轴突退变率和更快的再髓鞘化使复发型MS比进展型亚型更具恢复力。因此,我们的结果支持不同MS亚型具有共同发病机制的假说,即使存在遗传和环境异质性。因此,MS可被视为一种单一疾病,其中特定的动态变化可在不同患者群体中引发多种临床结果。这些结果对MS疾病不同阶段的治疗干预设计具有重要意义。

https://cdn.ncbi.nlm.nih.gov/pmc/blobs/6998/5657613/4361977f6504/pcbi.1005757.g008.jpg
https://cdn.ncbi.nlm.nih.gov/pmc/blobs/6998/5657613/e5ed93ff6add/pcbi.1005757.g001.jpg
https://cdn.ncbi.nlm.nih.gov/pmc/blobs/6998/5657613/6ba6f8ced65d/pcbi.1005757.g002.jpg
https://cdn.ncbi.nlm.nih.gov/pmc/blobs/6998/5657613/905c1ebc1d4a/pcbi.1005757.g003.jpg
https://cdn.ncbi.nlm.nih.gov/pmc/blobs/6998/5657613/69d9fea98060/pcbi.1005757.g004.jpg
https://cdn.ncbi.nlm.nih.gov/pmc/blobs/6998/5657613/4669de752f96/pcbi.1005757.g005.jpg
https://cdn.ncbi.nlm.nih.gov/pmc/blobs/6998/5657613/88a4eb573e20/pcbi.1005757.g006.jpg
https://cdn.ncbi.nlm.nih.gov/pmc/blobs/6998/5657613/d57014d55022/pcbi.1005757.g007.jpg
https://cdn.ncbi.nlm.nih.gov/pmc/blobs/6998/5657613/4361977f6504/pcbi.1005757.g008.jpg
https://cdn.ncbi.nlm.nih.gov/pmc/blobs/6998/5657613/e5ed93ff6add/pcbi.1005757.g001.jpg
https://cdn.ncbi.nlm.nih.gov/pmc/blobs/6998/5657613/6ba6f8ced65d/pcbi.1005757.g002.jpg
https://cdn.ncbi.nlm.nih.gov/pmc/blobs/6998/5657613/905c1ebc1d4a/pcbi.1005757.g003.jpg
https://cdn.ncbi.nlm.nih.gov/pmc/blobs/6998/5657613/69d9fea98060/pcbi.1005757.g004.jpg
https://cdn.ncbi.nlm.nih.gov/pmc/blobs/6998/5657613/4669de752f96/pcbi.1005757.g005.jpg
https://cdn.ncbi.nlm.nih.gov/pmc/blobs/6998/5657613/88a4eb573e20/pcbi.1005757.g006.jpg
https://cdn.ncbi.nlm.nih.gov/pmc/blobs/6998/5657613/d57014d55022/pcbi.1005757.g007.jpg
https://cdn.ncbi.nlm.nih.gov/pmc/blobs/6998/5657613/4361977f6504/pcbi.1005757.g008.jpg

相似文献

1
Dynamics and heterogeneity of brain damage in multiple sclerosis.多发性硬化症脑损伤的动态变化与异质性
PLoS Comput Biol. 2017 Oct 26;13(10):e1005757. doi: 10.1371/journal.pcbi.1005757. eCollection 2017 Oct.
2
Inflammation and degeneration in multiple sclerosis.多发性硬化症中的炎症与变性
Neurol Sci. 2003 Dec;24 Suppl 5:S265-7. doi: 10.1007/s10072-003-0170-7.
3
Disease steps in multiple sclerosis: a longitudinal study comparing disease steps and EDSS to evaluate disease progression.多发性硬化症的疾病阶段:一项比较疾病阶段和扩展残疾状态量表以评估疾病进展的纵向研究。
Mult Scler. 1999 Oct;5(5):349-54. doi: 10.1177/135245859900500508.
4
Neuronal injury in chronic CNS inflammation.慢性中枢神经系统炎症中的神经元损伤。
Best Pract Res Clin Anaesthesiol. 2010 Dec;24(4):551-62. doi: 10.1016/j.bpa.2010.11.001. Epub 2010 Nov 29.
5
Brain and cord myelin water imaging: a progressive multiple sclerosis biomarker.脑和脊髓髓鞘水成像:一种进展性多发性硬化症生物标志物。
Neuroimage Clin. 2015 Oct 3;9:574-80. doi: 10.1016/j.nicl.2015.10.002. eCollection 2015.
6
Clinical implications of neuropathological findings in multiple sclerosis.多发性硬化症神经病理学发现的临床意义
J Neurol. 2005 Sep;252 Suppl 3:iii10-iii14. doi: 10.1007/s00415-005-2011-5.
7
Quantitative diffusion weighted imaging measures in patients with multiple sclerosis.多发性硬化症患者的定量扩散加权成像测量
Neuroimage. 2007 Jul 1;36(3):746-54. doi: 10.1016/j.neuroimage.2007.03.056. Epub 2007 Apr 10.
8
MRI as a marker for disease heterogeneity in multiple sclerosis.磁共振成像作为多发性硬化症疾病异质性的标志物
Neurology. 2005 Oct 11;65(7):1071-6. doi: 10.1212/01.wnl.0000178984.30534.f9.
9
Brain atrophy in relapsing-remitting multiple sclerosis and secondary progressive multiple sclerosis: longitudinal quantitative analysis.复发缓解型多发性硬化症和继发进展型多发性硬化症中的脑萎缩:纵向定量分析
Radiology. 2000 Mar;214(3):665-70. doi: 10.1148/radiology.214.3.r00mr30665.
10
Correlating MR lesions and functional deficits in multiple sclerosis patients. Anatomical atlas registration.多发性硬化症患者的磁共振病变与功能缺陷的相关性。解剖图谱配准。
Phys Med Rehabil Clin N Am. 1998 Aug;9(3):569-86, vi.

引用本文的文献

1
Assessment of the impact of reconstitution therapies-cladribine tablets and alemtuzumab-on the atrophy progression among patients with relapse-remitting multiple sclerosis.评估复溶疗法(克拉屈滨片和阿仑单抗)对复发缓解型多发性硬化症患者萎缩进展的影响。
Front Neurosci. 2025 Feb 27;19:1531163. doi: 10.3389/fnins.2025.1531163. eCollection 2025.
2
A robust clustering strategy for stratification unveils unique patient subgroups in acutely decompensated cirrhosis.一项稳健的聚类分层策略揭示了急性失代偿性肝硬化中独特的患者亚组。
J Transl Med. 2024 Jun 27;22(1):599. doi: 10.1186/s12967-024-05386-2.
3
Breaking boundaries: the transformative role of exercise in managing multiple sclerosis.

本文引用的文献

1
A minimal unified model of disease trajectories captures hallmarks of multiple sclerosis.疾病轨迹的最小统一模型捕捉到了多发性硬化症的特征。
Math Biosci. 2017 Jul;289:1-8. doi: 10.1016/j.mbs.2017.03.006. Epub 2017 Mar 29.
2
Is multiple sclerosis a length-dependent central axonopathy? The case for therapeutic lag and the asynchronous progressive MS hypotheses.多发性硬化症是一种长度依赖性中枢轴索性神经病吗?治疗延迟及异步进展型多发性硬化症假说的情况。
Mult Scler Relat Disord. 2017 Feb;12:70-78. doi: 10.1016/j.msard.2017.01.007. Epub 2017 Jan 17.
3
The topographical model of multiple sclerosis: A dynamic visualization of disease course.
突破界限:运动在多发性硬化症管理中的变革性作用。
EXCLI J. 2024 Apr 15;23:475-490. doi: 10.17179/excli2024-6932. eCollection 2024.
4
Multiscale networks in multiple sclerosis.多发性硬化症中的多尺度网络。
PLoS Comput Biol. 2024 Feb 8;20(2):e1010980. doi: 10.1371/journal.pcbi.1010980. eCollection 2024 Feb.
5
Predicting disease severity in multiple sclerosis using multimodal data and machine learning.使用多模态数据和机器学习预测多发性硬化症的疾病严重程度。
J Neurol. 2024 Mar;271(3):1133-1149. doi: 10.1007/s00415-023-12132-z. Epub 2023 Dec 22.
6
Multiple Sclerosis: New Insights into Molecular Pathogenesis and Novel Platforms for Disease Treatment.多发性硬化症:分子发病机制的新见解和疾病治疗的新平台。
Curr Drug Res Rev. 2024;16(2):175-197. doi: 10.2174/2589977516666230915103730.
7
Combining proton exchange rate ( ) MRI with quantitative susceptibility mapping to further stratify the gadolinium-negative multiple sclerosis lesions.将质子交换率()磁共振成像与定量磁化率成像相结合,以进一步对钆造影剂阴性的多发性硬化病变进行分层。
Front Neurosci. 2023 Jan 11;16:1105376. doi: 10.3389/fnins.2022.1105376. eCollection 2022.
8
Multiple sclerosis clinical decision support system based on projection to reference datasets.基于参考数据集投影的多发性硬化症临床决策支持系统。
Ann Clin Transl Neurol. 2022 Dec;9(12):1863-1873. doi: 10.1002/acn3.51649. Epub 2022 Nov 22.
9
Reaction-diffusion models in weighted and directed connectomes.加权有向连接体中的反应-扩散模型。
PLoS Comput Biol. 2022 Oct 28;18(10):e1010507. doi: 10.1371/journal.pcbi.1010507. eCollection 2022 Oct.
10
Visual Evoked Potentials to Monitor Myelin Cuprizone-Induced Functional Changes.视觉诱发电位监测髓鞘铜螯合物诱导的功能变化。
Front Neurosci. 2022 Apr 15;16:820155. doi: 10.3389/fnins.2022.820155. eCollection 2022.
多发性硬化的地形模型:疾病进程的动态可视化。
Neurol Neuroimmunol Neuroinflamm. 2016 Sep 7;3(5):e279. doi: 10.1212/NXI.0000000000000279. eCollection 2016 Oct.
4
Central nervous system inflammation across the age span.全年龄段的中枢神经系统炎症
Curr Opin Neurol. 2016 Jun;29(3):381-7. doi: 10.1097/WCO.0000000000000331.
5
Neurodegeneration in multiple sclerosis is a process separate from inflammation: Yes.多发性硬化症中的神经退行性变是一个与炎症无关的过程:是的。
Mult Scler. 2015 Nov;21(13):1626-8. doi: 10.1177/1352458515587598.
6
The disruption of mitochondrial axonal transport is an early event in neuroinflammation.线粒体轴突运输的中断是神经炎症中的一个早期事件。
J Neuroinflammation. 2015 Aug 28;12:152. doi: 10.1186/s12974-015-0375-8.
7
Clinical and pathological insights into the dynamic nature of the white matter multiple sclerosis plaque.对白质多发性硬化斑块动态性质的临床与病理见解。
Ann Neurol. 2015 Nov;78(5):710-21. doi: 10.1002/ana.24497. Epub 2015 Aug 24.
8
Is it time to target no evident disease activity (NEDA) in multiple sclerosis?是时候将目标设定为多发性硬化症的无明显疾病活动(NEDA)了吗?
Mult Scler Relat Disord. 2015 Jul;4(4):329-33. doi: 10.1016/j.msard.2015.04.006. Epub 2015 May 8.
9
Pathological mechanisms in progressive multiple sclerosis.进行性多发性硬化症的病理机制。
Lancet Neurol. 2015 Feb;14(2):183-93. doi: 10.1016/S1474-4422(14)70256-X.
10
Multiple sclerosis-a quiet revolution.多发性硬化症——一场悄然的变革。
Nat Rev Neurol. 2015 Mar;11(3):134-42. doi: 10.1038/nrneurol.2015.14. Epub 2015 Feb 17.