• 文献检索
  • 文档翻译
  • 深度研究
  • 学术资讯
  • Suppr Zotero 插件Zotero 插件
  • 邀请有礼
  • 套餐&价格
  • 历史记录
应用&插件
Suppr Zotero 插件Zotero 插件浏览器插件Mac 客户端Windows 客户端微信小程序
定价
高级版会员购买积分包购买API积分包
服务
文献检索文档翻译深度研究API 文档MCP 服务
关于我们
关于 Suppr公司介绍联系我们用户协议隐私条款
关注我们

Suppr 超能文献

核心技术专利:CN118964589B侵权必究
粤ICP备2023148730 号-1Suppr @ 2026

文献检索

告别复杂PubMed语法,用中文像聊天一样搜索,搜遍4000万医学文献。AI智能推荐,让科研检索更轻松。

立即免费搜索

文件翻译

保留排版,准确专业,支持PDF/Word/PPT等文件格式,支持 12+语言互译。

免费翻译文档

深度研究

AI帮你快速写综述,25分钟生成高质量综述,智能提取关键信息,辅助科研写作。

立即免费体验

鞣花酸通过抑制巨噬细胞中 IL-13Rα1 信号通路减轻血吸虫卵诱导的肝纤维化。

Corilagin Counteracts IL-13Rα1 Signaling Pathway in Macrophages to Mitigate Schistosome Egg-Induced Hepatic Fibrosis.

机构信息

Department of Vascular Surgery, Union Hospital, Tongji Medical College, Huazhong University of Science and Technology, Wuhan, China.

School of Clinical Medicine, Hubei University of Chinese Medicine, Wuhan, China.

出版信息

Front Cell Infect Microbiol. 2017 Oct 18;7:443. doi: 10.3389/fcimb.2017.00443. eCollection 2017.

DOI:10.3389/fcimb.2017.00443
PMID:29094025
原文链接:https://pmc.ncbi.nlm.nih.gov/articles/PMC5651236/
Abstract

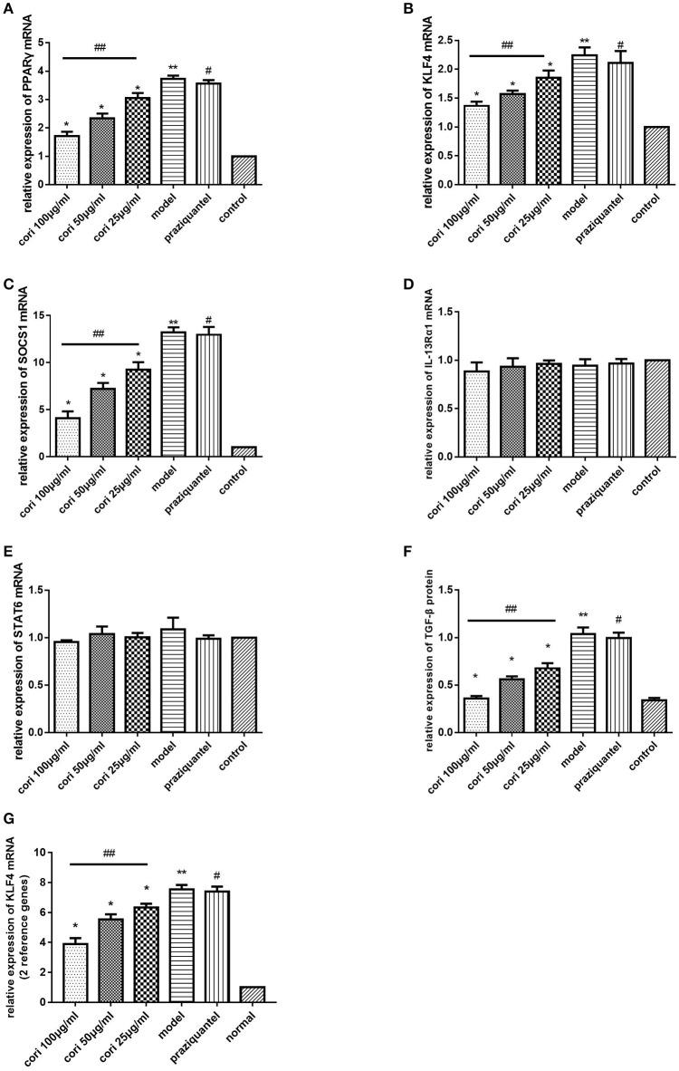
The IL-13Rα1 signaling pathway and M2 macrophages play crucial roles in schistosome egg-induced hepatic fibrosis via the expression of pro-fibrotic molecules. This study aims to investigate the inhibitory effect and mechanism of action of corilagin on schistosome egg-induced hepatic fibrosis via the IL-13Rα1 signaling pathway in M2 macrophages and . The mRNA and protein expression of IL-13Rα1, PPARγ, KLF4, SOCS1, STAT6, p-STAT6, and TGF-β was measured with corilagin treatment after IL-13 stimulation and corilagin treatment after effectively killing the adult schistosomes in schistosome-infected mice. Histological analysis of liver tissue was assessed for the degree of hepatic fibrosis. The results revealed that corilagin significantly reduced the expression of PPARγ, KLF4, SOCS1, p-STAT6, and TGF-β compared with model group and praziquantel administration ( < 0.01 or < 0.05) and , which indicated a strong inhibitory effect of corilagin on IL-13Rα1 signaling pathway. As well, the inhibitory effect of corilagin showed a significant dose-dependence ( < 0.05). The area of fibrosis and distribution of M2 macrophages in mouse liver tissue were reduced significantly and dose-dependently with corilagin treatment compared to model group or praziquantel administration ( < 0.01 or < 0.05), indicating that corilagin suppressed IL-13Rα1 signaling pathway and M2 macrophage polarization effectively . Furthermore, the anti-fibrogenic effect persisted even when IL-13Rα1 was up- or down-regulated . In conclusion, corilagin can suppress schistosome egg-induced hepatic fibrosis via inhibition of M2 macrophage polarization in the IL-13Rα1 signaling pathway.

摘要

IL-13Rα1 信号通路和 M2 巨噬细胞通过表达促纤维化分子在血吸虫卵诱导的肝纤维化中起关键作用。本研究旨在探讨柯里拉京通过 M2 巨噬细胞中的 IL-13Rα1 信号通路对血吸虫卵诱导的肝纤维化的抑制作用及其作用机制。用柯里拉京处理后,用 IL-13 刺激并在感染血吸虫的小鼠中有效杀死成虫后,测量 IL-13Rα1、PPARγ、KLF4、SOCS1、STAT6、p-STAT6 和 TGF-β 的 mRNA 和蛋白表达。对肝组织进行组织学分析,评估肝纤维化程度。结果表明,与模型组和吡喹酮给药组相比,柯里拉京显著降低了 PPARγ、KLF4、SOCS1、p-STAT6 和 TGF-β 的表达(<0.01 或 <0.05),表明柯里拉京对 IL-13Rα1 信号通路有很强的抑制作用。此外,柯里拉京的抑制作用呈明显的剂量依赖性(<0.05)。与模型组或吡喹酮给药组相比,柯里拉京处理显著减少了纤维化面积和 M2 巨噬细胞在小鼠肝组织中的分布,且呈剂量依赖性(<0.01 或 <0.05),表明柯里拉京有效抑制了 IL-13Rα1 信号通路和 M2 巨噬细胞极化。此外,即使上调或下调 IL-13Rα1,抗纤维化作用仍然持续。综上所述,柯里拉京可通过抑制 IL-13Rα1 信号通路中的 M2 巨噬细胞极化来抑制血吸虫卵诱导的肝纤维化。

https://cdn.ncbi.nlm.nih.gov/pmc/blobs/322a/5651236/7b43095823a2/fcimb-07-00443-g0010.jpg
https://cdn.ncbi.nlm.nih.gov/pmc/blobs/322a/5651236/99b8bdb99c34/fcimb-07-00443-g0001.jpg
https://cdn.ncbi.nlm.nih.gov/pmc/blobs/322a/5651236/8060ff75f52d/fcimb-07-00443-g0002.jpg
https://cdn.ncbi.nlm.nih.gov/pmc/blobs/322a/5651236/c567ef36c576/fcimb-07-00443-g0003.jpg
https://cdn.ncbi.nlm.nih.gov/pmc/blobs/322a/5651236/8c6e3a8441e7/fcimb-07-00443-g0004.jpg
https://cdn.ncbi.nlm.nih.gov/pmc/blobs/322a/5651236/a70bf95e2d19/fcimb-07-00443-g0005.jpg
https://cdn.ncbi.nlm.nih.gov/pmc/blobs/322a/5651236/ecebce67093b/fcimb-07-00443-g0006.jpg
https://cdn.ncbi.nlm.nih.gov/pmc/blobs/322a/5651236/22786424e0fa/fcimb-07-00443-g0007.jpg
https://cdn.ncbi.nlm.nih.gov/pmc/blobs/322a/5651236/977488ade4c4/fcimb-07-00443-g0008.jpg
https://cdn.ncbi.nlm.nih.gov/pmc/blobs/322a/5651236/23a3dc3a46aa/fcimb-07-00443-g0009.jpg
https://cdn.ncbi.nlm.nih.gov/pmc/blobs/322a/5651236/7b43095823a2/fcimb-07-00443-g0010.jpg
https://cdn.ncbi.nlm.nih.gov/pmc/blobs/322a/5651236/99b8bdb99c34/fcimb-07-00443-g0001.jpg
https://cdn.ncbi.nlm.nih.gov/pmc/blobs/322a/5651236/8060ff75f52d/fcimb-07-00443-g0002.jpg
https://cdn.ncbi.nlm.nih.gov/pmc/blobs/322a/5651236/c567ef36c576/fcimb-07-00443-g0003.jpg
https://cdn.ncbi.nlm.nih.gov/pmc/blobs/322a/5651236/8c6e3a8441e7/fcimb-07-00443-g0004.jpg
https://cdn.ncbi.nlm.nih.gov/pmc/blobs/322a/5651236/a70bf95e2d19/fcimb-07-00443-g0005.jpg
https://cdn.ncbi.nlm.nih.gov/pmc/blobs/322a/5651236/ecebce67093b/fcimb-07-00443-g0006.jpg
https://cdn.ncbi.nlm.nih.gov/pmc/blobs/322a/5651236/22786424e0fa/fcimb-07-00443-g0007.jpg
https://cdn.ncbi.nlm.nih.gov/pmc/blobs/322a/5651236/977488ade4c4/fcimb-07-00443-g0008.jpg
https://cdn.ncbi.nlm.nih.gov/pmc/blobs/322a/5651236/23a3dc3a46aa/fcimb-07-00443-g0009.jpg
https://cdn.ncbi.nlm.nih.gov/pmc/blobs/322a/5651236/7b43095823a2/fcimb-07-00443-g0010.jpg

相似文献

1
Corilagin Counteracts IL-13Rα1 Signaling Pathway in Macrophages to Mitigate Schistosome Egg-Induced Hepatic Fibrosis.鞣花酸通过抑制巨噬细胞中 IL-13Rα1 信号通路减轻血吸虫卵诱导的肝纤维化。
Front Cell Infect Microbiol. 2017 Oct 18;7:443. doi: 10.3389/fcimb.2017.00443. eCollection 2017.
2
Mechanism of Corilagin interference with IL-13/STAT6 signaling pathways in hepatic alternative activation macrophages in schistosomiasis-induced liver fibrosis in mouse model.科里拉金对小鼠血吸虫病诱导的肝纤维化中肝替代性活化巨噬细胞中IL-13/STAT6信号通路的干扰机制
Eur J Pharmacol. 2016 Dec 15;793:119-126. doi: 10.1016/j.ejphar.2016.11.018. Epub 2016 Nov 12.
3
Corilagin ameliorates schistosomiasis hepatic fibrosis through regulating IL-13 associated signal pathway in vitro and in vivo.柯里拉京通过在体外和体内调节白细胞介素-13相关信号通路改善血吸虫病肝纤维化。
Parasitology. 2016 Oct;143(12):1629-38. doi: 10.1017/S0031182016001128. Epub 2016 Jul 21.
4
Effect of Corilagin on the miR-21/smad7/ERK signaling pathway in a schistosomiasis-induced hepatic fibrosis mouse model.柯里拉京对血吸虫病诱导的肝纤维化小鼠模型中miR-21/smad7/ERK信号通路的影响
Parasitol Int. 2016 Aug;65(4):308-15. doi: 10.1016/j.parint.2016.03.001. Epub 2016 Mar 2.
5
Corilagin Ameliorates Con A-Induced Hepatic Injury by Restricting M1 Macrophage Polarization.鞣花酸通过限制 M1 巨噬细胞极化改善 ConA 诱导的肝损伤。
Front Immunol. 2022 Jan 13;12:807509. doi: 10.3389/fimmu.2021.807509. eCollection 2021.
6
Activity of corilagin on post-parasiticide liver fibrosis in Schistosomiasis animal model.藜芦醇酸对血吸虫病动物模型中寄生虫后肝纤维化的作用。
Int J Immunopathol Pharmacol. 2013 Jan-Mar;26(1):85-92. doi: 10.1177/039463201302600108.
7
Corilagin alleviates atherosclerosis by inhibiting NLRP3 inflammasome activation via the Olfr2 signaling pathway and .鞣花酸通过抑制 NLRP3 炎性小体激活和 Olfr2 信号通路来缓解动脉粥样硬化。
Front Immunol. 2024 May 13;15:1364161. doi: 10.3389/fimmu.2024.1364161. eCollection 2024.
8
IL-13Rα1 is a surface marker for M2 macrophages influencing their differentiation and function.IL-13Rα1 是 M2 巨噬细胞的表面标志物,影响其分化和功能。
Eur J Immunol. 2014 Mar;44(3):842-55. doi: 10.1002/eji.201343755. Epub 2014 Jan 13.
9
Recombinant Sj16 protein with novel activity alleviates hepatic granulomatous inflammation and fibrosis induced by Schistosoma japonicum associated with M2 macrophages in a mouse model.新型活性重组 Sj16 蛋白通过调节 M2 巨噬细胞减轻日本血吸虫病相关的肝肉芽肿性炎症和纤维化。
Parasit Vectors. 2019 Sep 23;12(1):457. doi: 10.1186/s13071-019-3697-z.
10
Corilagin Protects Against HSV1 Encephalitis Through Inhibiting the TLR2 Signaling Pathways In Vivo and In Vitro.鞣花酸通过抑制 TLR2 信号通路在体内和体外发挥抗单纯疱疹病毒 1 脑炎的作用。
Mol Neurobiol. 2015 Dec;52(3):1547-1560. doi: 10.1007/s12035-014-8947-7. Epub 2014 Nov 4.

引用本文的文献

1
The role of KLF4 in phagocyte activation during infectious diseases.KLF4在传染病期间吞噬细胞激活中的作用。
Front Immunol. 2025 Apr 16;16:1584873. doi: 10.3389/fimmu.2025.1584873. eCollection 2025.
2
Macrophages in organ fibrosis: from pathogenesis to therapeutic targets.器官纤维化中的巨噬细胞:从发病机制到治疗靶点
Cell Death Discov. 2024 Dec 4;10(1):487. doi: 10.1038/s41420-024-02247-1.
3
Corilagin Alleviates Ang II-Induced Cardiac Fibrosis by Regulating the PTEN/AKT/mTOR Pathway.柯里拉京通过调节PTEN/AKT/mTOR信号通路减轻血管紧张素II诱导的心脏纤维化。

本文引用的文献

1
Corilagin ameliorates the extreme inflammatory status in sepsis through TLR4 signaling pathways.柯里拉京通过TLR4信号通路改善脓毒症中的极度炎症状态。
BMC Complement Altern Med. 2017 Jan 5;17(1):18. doi: 10.1186/s12906-016-1533-y.
2
Antischistosomiasis Liver Fibrosis Effects of Chlorogenic Acid through IL-13/miR-21/Smad7 Signaling Interactions In Vivo and In Vitro.绿原酸通过IL-13/miR-21/Smad7信号相互作用对体内外抗血吸虫病肝纤维化的影响
Antimicrob Agents Chemother. 2017 Jan 24;61(2). doi: 10.1128/AAC.01347-16. Print 2017 Feb.
3
Schistosomal-derived lysophosphatidylcholine triggers M2 polarization of macrophages through PPARγ dependent mechanisms.
Dose Response. 2024 Sep 18;22(3):15593258241261198. doi: 10.1177/15593258241261198. eCollection 2024 Jul-Sep.
4
Corilagin alleviates podocyte injury in diabetic nephropathy by regulating autophagy the SIRT1-AMPK pathway.柯里拉京通过调节自噬的SIRT1-AMPK途径减轻糖尿病肾病中的足细胞损伤。
World J Diabetes. 2024 Sep 15;15(9):1916-1931. doi: 10.4239/wjd.v15.i9.1916.
5
Corilagin relieves atherosclerosis via the toll-like receptor 4 signaling pathway in vascular smooth muscle cells.柯里拉京通过血管平滑肌细胞中的Toll样受体4信号通路缓解动脉粥样硬化。
Int J Immunopathol Pharmacol. 2024 Jan-Dec;38:3946320241254083. doi: 10.1177/03946320241254083.
6
Therapeutic potential of natural products in schistosomiasis-associated liver fibrosis.天然产物在血吸虫病相关性肝纤维化中的治疗潜力
Front Pharmacol. 2024 May 6;15:1332027. doi: 10.3389/fphar.2024.1332027. eCollection 2024.
7
Corilagin inhibits angiotensin II-induced atrial fibrosis and fibrillation in mice through the PI3K-Akt pathway.柯里拉京通过PI3K-Akt信号通路抑制血管紧张素II诱导的小鼠心房纤维化和心房颤动。
Iran J Basic Med Sci. 2024;27(6):717-724. doi: 10.22038/IJBMS.2024.73281.15928.
8
Immunological mechanisms involved in macrophage activation and polarization in schistosomiasis.血吸虫病中参与巨噬细胞活化和极化的免疫机制。
Parasitology. 2023 Apr;150(5):401-415. doi: 10.1017/S0031182023000021. Epub 2023 Jan 5.
9
Pathology and molecular mechanisms of Schistosoma japonicum-associated liver fibrosis.日本血吸虫病相关肝纤维化的病理学和分子机制。
Front Cell Infect Microbiol. 2022 Oct 28;12:1035765. doi: 10.3389/fcimb.2022.1035765. eCollection 2022.
10
Corilagin prevents non-alcoholic fatty liver disease improving lipid metabolism and glucose homeostasis in high fat diet-fed mice.柯里拉京可预防非酒精性脂肪性肝病,改善高脂饮食喂养小鼠的脂质代谢和葡萄糖稳态。
Front Nutr. 2022 Aug 17;9:983450. doi: 10.3389/fnut.2022.983450. eCollection 2022.
血吸虫衍生的溶血磷脂酰胆碱通过 PPARγ 依赖的机制触发巨噬细胞的 M2 极化。
Biochim Biophys Acta Mol Cell Biol Lipids. 2017 Feb;1862(2):246-254. doi: 10.1016/j.bbalip.2016.11.006. Epub 2016 Nov 15.
4
Mechanism of Corilagin interference with IL-13/STAT6 signaling pathways in hepatic alternative activation macrophages in schistosomiasis-induced liver fibrosis in mouse model.科里拉金对小鼠血吸虫病诱导的肝纤维化中肝替代性活化巨噬细胞中IL-13/STAT6信号通路的干扰机制
Eur J Pharmacol. 2016 Dec 15;793:119-126. doi: 10.1016/j.ejphar.2016.11.018. Epub 2016 Nov 12.
5
MicroR-146 blocks the activation of M1 macrophage by targeting signal transducer and activator of transcription 1 in hepatic schistosomiasis.微小RNA-146通过靶向肝血吸虫病中转录信号转导子与激活子1来阻断M1巨噬细胞的激活。
EBioMedicine. 2016 Nov;13:339-347. doi: 10.1016/j.ebiom.2016.10.024. Epub 2016 Oct 19.
6
Ineffective correction of PPARγ signaling in cystic fibrosis airway epithelial cells undergoing repair.在进行修复的囊性纤维化气道上皮细胞中,PPARγ信号通路的纠正无效。
Int J Biochem Cell Biol. 2016 Sep;78:361-369. doi: 10.1016/j.biocel.2016.07.035. Epub 2016 Jul 30.
7
Corilagin ameliorates schistosomiasis hepatic fibrosis through regulating IL-13 associated signal pathway in vitro and in vivo.柯里拉京通过在体外和体内调节白细胞介素-13相关信号通路改善血吸虫病肝纤维化。
Parasitology. 2016 Oct;143(12):1629-38. doi: 10.1017/S0031182016001128. Epub 2016 Jul 21.
8
Suppression of PPARγ-mediated monoacylglycerol O-acyltransferase 1 expression ameliorates alcoholic hepatic steatosis.抑制 PPARγ 介导的单酰甘油 O-酰基转移酶 1 表达可改善酒精性肝脂肪变性。
Sci Rep. 2016 Jul 11;6:29352. doi: 10.1038/srep29352.
9
Developments of Anticoagulants and New Agents with Anti-Coagulant Effects in Deep Vein Thrombosis.深静脉血栓形成中抗凝剂及具有抗凝作用的新型药物的进展
Mini Rev Med Chem. 2017;17(4):338-350. doi: 10.2174/1389557516666160609083649.
10
[Progress in researches on macrophages in liver fibrosis of schistosomiasis].[血吸虫病肝纤维化中巨噬细胞的研究进展]
Zhongguo Xue Xi Chong Bing Fang Zhi Za Zhi. 2015 Dec;27(6):669-73.