Department of Biology and Environment, Jiyang College of Zhejiang A&F University, Shaoxing 311800, China.
Molecules. 2017 Nov 6;22(11):1912. doi: 10.3390/molecules22111912.
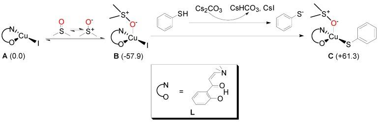
The reaction mechanism of Cu-catalyzed C-H hydroxylation/C-S coupling was studied using electrospray ionization high resolution mass spectrometry (ESI-HR MS) and density functional theory calculations (DFT). Notably, a series of Cu and Cu complexes were observed as key intermediates and identified using ESI-HR MS. Furthermore, a catalyst cycle involving proton abstraction/oxidative addition/reductive elimination was proposed. This study is important and valuable with respect to C-H functionalization.
采用电喷雾电离高分辨质谱(ESI-HRMS)和密度泛函理论计算(DFT)研究了 Cu 催化的 C-H 羟化/C-S 偶联反应的反应机理。值得注意的是,利用 ESI-HRMS 观察到并鉴定了一系列 Cu 和 Cu 配合物作为关键中间体。此外,提出了一个涉及质子抽提/氧化加成/还原消除的催化剂循环。就 C-H 功能化而言,这项研究具有重要价值。