Suppr超能文献

在刚果民主共和国金沙萨省不同流行地区,恶性疟原虫疟疾患者的个体和家庭特征。

Individual and household characteristics of persons with Plasmodium falciparum malaria in sites with varying endemicities in Kinshasa Province, Democratic Republic of the Congo.

机构信息

Department of Epidemiology, University of North Carolina-Chapel Hill, CB7435, McGavran-Greenberg Hall, Chapel Hill, NC, 27599, USA.

Ecole de Sante Publique, Faculte de Medecine, University of Kinshasa, Kinshasa, Democratic Republic of the Congo.

出版信息

Malar J. 2017 Nov 9;16(1):456. doi: 10.1186/s12936-017-2110-7.

Abstract

BACKGROUND

The Democratic Republic of the Congo (DRC) bears a large share of global malaria burden despite efforts to control and eliminate the disease. More detailed understanding of individual and household level characteristics associated with malaria are needed, as is an understanding of how these characteristics vary spatiotemporally and across different community-level malaria endemicities. An ongoing study in Kinshasa Province is designed to address gaps in prior malaria surveillance in the DRC by monitoring malaria across seasons, age groups and in high and low malaria sites. Across seven sites, 242 households and 1591 individuals are participating in the study. Results of the enrollment questionnaire, rapid diagnostic tests and PCR testing of dried blood spots are presented.

RESULTS

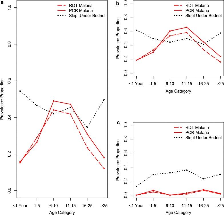
Overall malaria prevalence in the study cohort is high, 27% by rapid diagnostic test and 31% by polymerase chain reaction, and malaria prevalence is highly varied across very small geographic distances. Malaria prevalence is highest in children aged 6-15. While the majority of households own bed nets, bed net usage is less than 50%.

CONCLUSIONS

The study cohort will provide an understanding of how malaria persists in populations that have varying environmental exposures, varying community-level malaria, and varying access to malaria control efforts.

摘要

背景

尽管刚果民主共和国(DRC)为控制和消除疟疾做出了努力,但仍承担着全球疟疾负担的很大一部分。需要更详细地了解与疟疾相关的个人和家庭特征,以及这些特征如何在时空上以及在不同社区疟疾流行程度上发生变化。金沙萨省正在进行的一项研究旨在通过监测不同季节、年龄组以及高和低疟疾地区的疟疾情况,来解决刚果民主共和国以前疟疾监测中的空白。在七个地点,有 242 户家庭和 1591 人参与了这项研究。本研究介绍了入组问卷、快速诊断检测和干血斑聚合酶链反应检测的结果。

结果

研究队列的总体疟疾患病率很高,快速诊断检测为 27%,聚合酶链反应为 31%,而且疟疾患病率在非常小的地理距离内差异很大。疟疾患病率在 6-15 岁的儿童中最高。虽然大多数家庭拥有蚊帐,但蚊帐使用率不到 50%。

结论

该研究队列将有助于了解在环境暴露、社区疟疾流行程度和疟疾控制措施获取情况各不相同的人群中,疟疾是如何持续存在的。

https://cdn.ncbi.nlm.nih.gov/pmc/blobs/8081/5680818/e7e7840c75b5/12936_2017_2110_Fig1_HTML.jpg

文献AI研究员

20分钟写一篇综述,助力文献阅读效率提升50倍。

立即体验

用中文搜PubMed

大模型驱动的PubMed中文搜索引擎

马上搜索

文档翻译

学术文献翻译模型,支持多种主流文档格式。

立即体验