Suppr超能文献

阿富汗硬质小麦地方品种的钠排斥和耐盐性的遗传学研究。

Genetics of Na exclusion and salinity tolerance in Afghani durum wheat landraces.

机构信息

Department of Field Crops, College of Agriculture, University of Baghdad, Al-Jadriyah, Baghdad, Iraq.

School of Agriculture, Food and Wine, The University of Adelaide, Urrbrae, SA, 5064, Australia.

出版信息

BMC Plant Biol. 2017 Nov 21;17(1):209. doi: 10.1186/s12870-017-1164-6.

Abstract

BACKGROUND

Selecting for low concentration of Na in the shoot provides one approach for tackling salinity stress that adversely affects crop production. Novel alleles for Na exclusion can be identified and then introduced into elite crop cultivars.

RESULTS

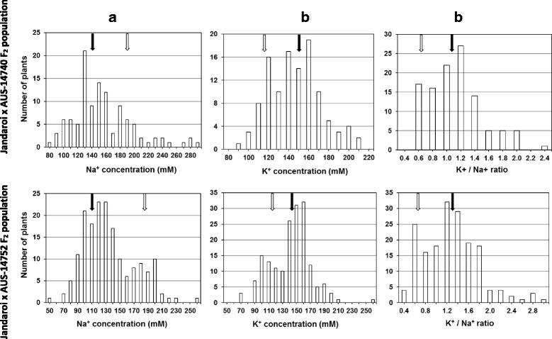
We have identified loci associated with lower Na concentration in leaves of durum wheat landraces originating from Afghanistan. Seedlings of two F populations derived from crossings between Australian durum wheat (Jandaroi) and two Afghani landraces (AUS-14740 and AUS-14752) were grown hydroponically and evaluated for Na and K concentration in the third leaf. High heritability was found for both third leaf Na concentration and the K/Na ratio in both populations. Further work focussed on line AUS-14740. Bulk segregant analysis using 9 K SNP markers identified two loci significantly associated with third leaf Na concentration. Marker regression analysis showed a strong association between all traits studied and a favourable allele originating from AUS-14740 located on the long arm of chromosome 4B.

CONCLUSIONS

The candidate gene in the relevant region of chromosome 4B is likely to be the high affinity K transporter B1 (HKT1;5-B1). A second locus associated with third leaf Na concentration was located on chromosome 3BL, with the favourable allele originating from Jandaroi; however, no candidate gene can be identified.

摘要

背景

在 shoot 中选择低浓度的 Na 是应对盐分胁迫的一种方法,盐分胁迫会对作物产量产生不利影响。可以鉴定出具有 Na 排斥特性的新等位基因,然后将其引入到优良的作物品种中。

结果

我们已经鉴定出与来自阿富汗的硬粒小麦地方品种叶片中较低 Na 浓度相关的基因座。在水培条件下种植源自澳大利亚硬粒小麦(Jandaroi)和两个阿富汗地方品种(AUS-14740 和 AUS-14752)的两个 F 群体的幼苗,并评估第三片叶子中的 Na 和 K 浓度。在两个群体中,第三片叶子的 Na 浓度和 K/Na 比值都表现出较高的遗传力。进一步的工作集中在 AUS-14740 品系上。使用 9K SNP 标记的 bulk segregant 分析鉴定出与第三片叶子的 Na 浓度显著相关的两个基因座。标记回归分析表明,所有研究的性状与源自 AUS-14740 的有利等位基因强烈相关,该有利等位基因位于 4B 染色体的长臂上。

结论

在 4B 染色体的相关区域中,候选基因可能是高亲和力 K 转运蛋白 B1(HKT1;5-B1)。与第三片叶子的 Na 浓度相关的第二个基因座位于 3BL 染色体上,有利等位基因源自 Jandaroi;然而,目前无法确定候选基因。

https://cdn.ncbi.nlm.nih.gov/pmc/blobs/4b32/5697363/561da0477a86/12870_2017_1164_Fig1_HTML.jpg

文献AI研究员

20分钟写一篇综述,助力文献阅读效率提升50倍。

立即体验

用中文搜PubMed

大模型驱动的PubMed中文搜索引擎

马上搜索

文档翻译

学术文献翻译模型,支持多种主流文档格式。

立即体验