Suppr超能文献

越南竹茎节间形态测量与异速生长

Internode morphometrics and allometry of Tonkin Cane .

作者信息

Cheng Liang, Hui Cang, Reddy Gadi V P, Ding Yu-Long, Shi Pei-Jian

机构信息

Department of New Energy Science and Technology Bamboo Research Institute Nanjing Forestry University Nanjing Jiangsu China.

Centre for Invasion Biology Department of Mathematical Sciences African Institute for Mathematical Sciences Stellenbosch University Matieland South Africa.

出版信息

Ecol Evol. 2017 Oct 16;7(22):9651-9660. doi: 10.1002/ece3.3483. eCollection 2017 Nov.

Abstract

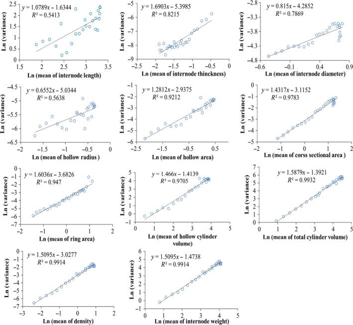
(McClure) (Poales: Gramineae) is a typical bamboo species naturally distributed in large area of south China and famous for its culm strength. Although bamboos were found to share the same development rule, the detailed internode morphology of bamboo culm was actually not fully expressed. We explored internode morphology of using 11 different physical parameters in different dimensions (1-4). As Taylor's power law (TPL) is generally applicable to describe relationship between mean and variance of population density, here we used TPL to evaluate the differences between internodes, and further, the relationship between dimension and TPL. Results showed that length (L), hollow radius (HR), hollow area (HA), hollow cylinder volume (HCV), total cylinder volume (TCV), density (De), and weight (W) all presented positive skewed distribution in varying degrees. For the basic one-dimensional parameters, the 9th internode was the longest, the 7th the heaviest, while thickness (T) decreased with internodes. Diameter (D) decreased in general but with an inconspicuous local mode at the 5-6th internodes, potentially due to the rapid height growth. The longest (9th) internode was the "turning point" for T-D and HR-D relationships. Scatter plot changing trends of W to the one-dimensional parameters after the heaviest (7th) internode were reversed, indicating a deceleration of growth speed. TPL was not holding well in one-dimensional parameters (: 0.5413-0.8125), but keep increasing as the parameter's dimension increasing (> 0.92 for two-dimensional, > 0.97 for three-dimensional, and > 0.99 for four-dimensional parameters.), suggesting an emergence mechanism of TPL related to both the physical dimensions of morphological measures and the allometric growth of bamboo. From the physical fundamental level, all existences are the expression of energy distribution in different dimensions, implying a more general rule that energy distribution holds better TPL in higher dimension level.

摘要

( McClure)(禾本科:禾本科)是一种典型的竹种,自然分布于中国南方的大片地区,以其茎秆强度而闻名。尽管发现竹子具有相同的发育规律,但竹茎详细的节间形态实际上并未完全表达出来。我们使用11个不同维度(1 - 4)的物理参数来探究[竹种名称未给出]的节间形态。由于泰勒幂律(TPL)通常适用于描述种群密度均值与方差之间的关系,在此我们使用TPL来评估节间之间的差异,进而评估维度与TPL之间的关系。结果表明,长度(L)、中空半径(HR)、中空面积(HA)、中空圆柱体体积(HCV)、总圆柱体体积(TCV)、密度(De)和重量(W)均呈现出不同程度的正偏态分布。对于基本的一维参数,第9节间最长,第7节间最重,而厚度(T)随节间增加而减小。直径(D)总体上减小,但在第5 - 6节间有一个不明显的局部峰值,这可能是由于高度快速增长所致。最长的(第9节)节间是T - D和HR - D关系的“转折点”。在最重的(第7节)节间之后,重量(W)与一维参数的散点图变化趋势发生反转,表明生长速度减缓。TPL在一维参数中拟合效果不佳(:0.5413 - 0.8125),但随着参数维度增加而不断增大(二维参数> 0.92,三维参数> 0.97,四维参数> 0.99),这表明TPL的出现机制与形态测量的物理维度以及竹子的异速生长都有关。从物理基本层面来看,所有存在都是不同维度能量分布的表达,这意味着一个更普遍的规律,即能量分布在更高维度水平上TPL拟合效果更好。

https://cdn.ncbi.nlm.nih.gov/pmc/blobs/ce67/5696391/6285e5ad2a6f/ECE3-7-9651-g001.jpg

文献AI研究员

20分钟写一篇综述,助力文献阅读效率提升50倍。

立即体验

用中文搜PubMed

大模型驱动的PubMed中文搜索引擎

马上搜索

文档翻译

学术文献翻译模型,支持多种主流文档格式。

立即体验