Suppr超能文献

无症状性炎症性前列腺炎对组织学诊断为良性前列腺增生的男性下尿路症状发生及进展的影响。

The influence of asymptomatic inflammatory prostatitis on the onset and progression of lower urinary tract symptoms in men with histologic benign prostatic hyperplasia.

作者信息

Taoka Rikiya, Kakehi Yoshiyuki

机构信息

Department of Urology, Faculty of Medicine, Kagawa University, Takamatsu, Kagawa, Japan.

出版信息

Asian J Urol. 2017 Jul;4(3):158-163. doi: 10.1016/j.ajur.2017.02.004. Epub 2017 May 25.

Abstract

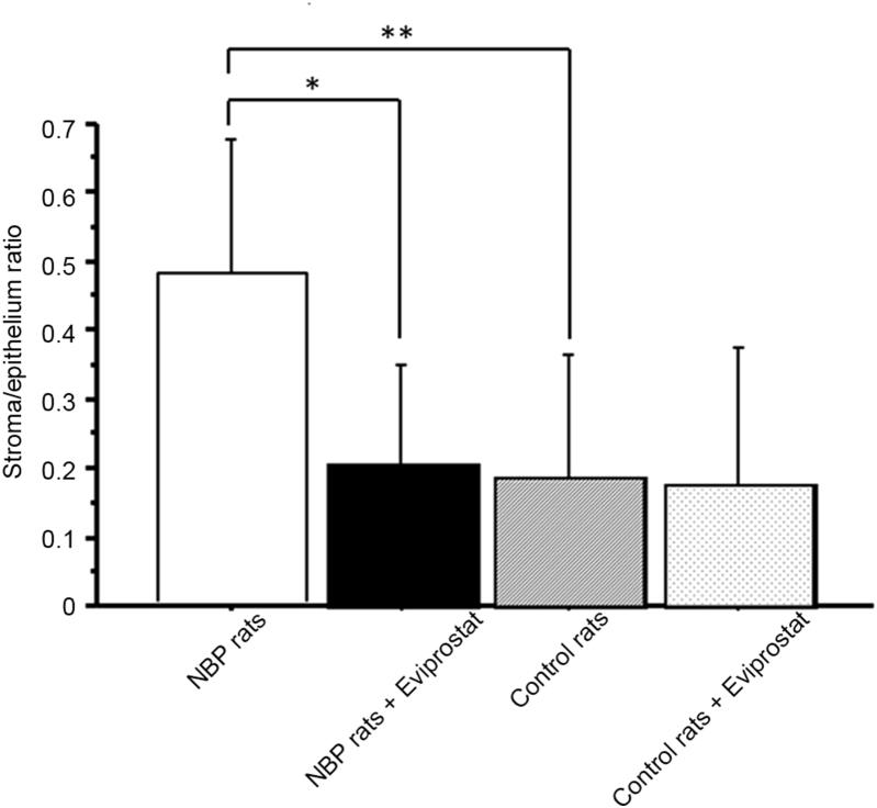
Benign prostatic hyperplasia (BPH) is a condition that greatly affects the quality of life of middle-aged and elderly men. Histopathologically, hyperplastic changes frequently occur in the prostate tissue of elderly men, the incidence of which has been reported to reach approximately 80% in men in their 70s. In clinical practice, approximately 25% of men with histologic BPH are assumed to experience lower urinary tract symptoms (LUTS) and receive some kind of treatment. In other words, there are some men with histologic BPH who do not exhibit LUTS. For that reason, many factors, such as the change in hormonal environment, the immune or autoimmune response, the alteration of gene expression, and so on, are thought to affect the onset and progression of LUTS in men with histologic BPH. One such factor that has long drawn attention is the presence of asymptomatic histological inflammation, which very often accompanies symptomatic BPH. Recent studies have suggested that asymptomatic histological inflammation causes repeated destruction, healing, and regeneration of the prostate tissue, leading to the enlargement of prostatic nodules, while at the same time causing stromal tissue-predominant remodeling of the prostate tissue, which can increase urination resistance and result in the condition changing from asymptomatic BPH to symptomatic BPH. In future, the biomolecular clarification of the significance of asymptomatic histological inflammation in the prostate tissue could help develop new treatment strategies for BPH accompanied by LUTS.

摘要

良性前列腺增生(BPH)是一种严重影响中老年男性生活质量的疾病。在组织病理学上,老年男性前列腺组织中经常出现增生性变化,据报道,70多岁男性的发病率约为80%。在临床实践中,约25%组织学诊断为BPH的男性被认为会出现下尿路症状(LUTS)并接受某种治疗。换句话说,有些组织学诊断为BPH的男性并未表现出LUTS。因此,许多因素,如激素环境变化、免疫或自身免疫反应、基因表达改变等,被认为会影响组织学诊断为BPH的男性LUTS的发生和进展。长期以来备受关注的一个因素是无症状组织学炎症的存在,这种炎症常与有症状的BPH同时出现。最近的研究表明,无症状组织学炎症会导致前列腺组织反复破坏、愈合和再生,导致前列腺结节增大,同时导致前列腺组织以基质组织为主的重塑,这会增加排尿阻力,使病情从无症状BPH转变为有症状BPH。未来,对前列腺组织中无症状组织学炎症意义的生物分子阐明可能有助于开发伴有LUTS的BPH的新治疗策略。

https://cdn.ncbi.nlm.nih.gov/pmc/blobs/62bf/5717984/504e2ce643fe/gr1.jpg

文献AI研究员

20分钟写一篇综述,助力文献阅读效率提升50倍。

立即体验

用中文搜PubMed

大模型驱动的PubMed中文搜索引擎

马上搜索

文档翻译

学术文献翻译模型,支持多种主流文档格式。

立即体验