• 文献检索
  • 文档翻译
  • 深度研究
  • 学术资讯
  • Suppr Zotero 插件Zotero 插件
  • 邀请有礼
  • 套餐&价格
  • 历史记录
应用&插件
Suppr Zotero 插件Zotero 插件浏览器插件Mac 客户端Windows 客户端微信小程序
定价
高级版会员购买积分包购买API积分包
服务
文献检索文档翻译深度研究API 文档MCP 服务
关于我们
关于 Suppr公司介绍联系我们用户协议隐私条款
关注我们

Suppr 超能文献

核心技术专利:CN118964589B侵权必究
粤ICP备2023148730 号-1Suppr @ 2026

文献检索

告别复杂PubMed语法,用中文像聊天一样搜索,搜遍4000万医学文献。AI智能推荐,让科研检索更轻松。

立即免费搜索

文件翻译

保留排版,准确专业,支持PDF/Word/PPT等文件格式,支持 12+语言互译。

免费翻译文档

深度研究

AI帮你快速写综述,25分钟生成高质量综述,智能提取关键信息,辅助科研写作。

立即免费体验

早期弥漫性系统性硬皮病中皮肤评分变化的模式和预测因素:来自欧洲硬皮病观察性研究。

Patterns and predictors of skin score change in early diffuse systemic sclerosis from the European Scleroderma Observational Study.

机构信息

Centre for Musculoskeletal Research, Salford Royal NHS Foundation Trust, Manchester Academic Health Science Centre, University of Manchester, Manchester, UK.

NIHR Manchester Musculoskeletal Biomedical Research Centre, Central Manchester NHS Foundation Trust, Manchester Academic Health Science Centre, Manchester, UK.

出版信息

Ann Rheum Dis. 2018 Apr;77(4):563-570. doi: 10.1136/annrheumdis-2017-211912. Epub 2018 Jan 6.

DOI:10.1136/annrheumdis-2017-211912
PMID:29306872
原文链接:https://pmc.ncbi.nlm.nih.gov/articles/PMC5890636/
Abstract

OBJECTIVES

Our aim was to use the opportunity provided by the European Scleroderma Observational Study to (1) identify and describe those patients with early diffuse cutaneous systemic sclerosis (dcSSc) with progressive skin thickness, and (2) derive prediction models for progression over 12 months, to inform future randomised controlled trials (RCTs).

METHODS

The modified Rodnan skin score (mRSS) was recorded every 3 months in 326 patients. 'Progressors' were defined as those experiencing a 5-unit and 25% increase in mRSS score over 12 months (±3 months). Logistic models were fitted to predict progression and, using receiver operating characteristic (ROC) curves, were compared on the basis of the area under curve (AUC), accuracy and positive predictive value (PPV).

RESULTS

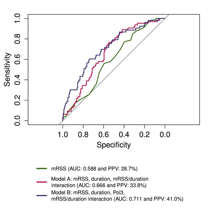
66 patients (22.5%) progressed, 227 (77.5%) did not (33 could not have their status assessed due to insufficient data). Progressors had shorter disease duration (median 8.1 vs 12.6 months, P=0.001) and lower mRSS (median 19 vs 21 units, P=0.030) than non-progressors. Skin score was highest, and peaked earliest, in the anti-RNA polymerase III (Pol3+) subgroup (n=50). A first predictive model (including mRSS, duration of skin thickening and their interaction) had an accuracy of 60.9%, AUC of 0.666 and PPV of 33.8%. By adding a variable for Pol3 positivity, the model reached an accuracy of 71%, AUC of 0.711 and PPV of 41%.

CONCLUSIONS

Two prediction models for progressive skin thickening were derived, for use both in clinical practice and for cohort enrichment in RCTs. These models will inform recruitment into the many clinical trials of dcSSc projected for the coming years.

TRIAL REGISTRATION NUMBER

NCT02339441.

摘要

目的

我们旨在利用欧洲硬皮病观察性研究提供的机会:(1) 确定并描述那些早期弥漫性皮肤系统性硬皮病(dcSSc)且皮肤厚度逐渐增加的患者;(2) 为 12 个月内的进展情况建立预测模型,以便为未来的随机对照试验(RCT)提供信息。

方法

326 例患者每 3 个月记录一次改良 Rodnan 皮肤评分(mRSS)。“进展者”定义为 mRSS 评分在 12 个月内增加 5 个单位和 25%(±3 个月)。拟合逻辑模型以预测进展情况,并基于曲线下面积(AUC)、准确性和阳性预测值(PPV)比较 ROC 曲线。

结果

66 例患者(22.5%)进展,227 例患者(77.5%)未进展(33 例由于数据不足无法评估其状态)。进展者的疾病持续时间较短(中位数 8.1 与 12.6 个月,P=0.001),mRSS 较低(中位数 19 与 21 单位,P=0.030)。抗 RNA 聚合酶 III(Pol3+)亚组(n=50)的皮肤评分最高,且最早达到峰值。第一个预测模型(包括 mRSS、皮肤增厚持续时间及其相互作用)的准确性为 60.9%,AUC 为 0.666,PPV 为 33.8%。通过增加 Pol3 阳性的变量,模型的准确性达到 71%,AUC 为 0.711,PPV 为 41%。

结论

得出了两种用于进行性皮肤增厚的预测模型,既可以用于临床实践,也可以用于 RCT 中的队列富集。这些模型将为未来几年计划开展的许多 dcSSc 临床试验提供信息。

试验注册号

NCT02339441。

https://cdn.ncbi.nlm.nih.gov/pmc/blobs/893d/5890636/398df66b3e00/annrheumdis-2017-211912f03.jpg
https://cdn.ncbi.nlm.nih.gov/pmc/blobs/893d/5890636/a25f27572687/annrheumdis-2017-211912f01.jpg
https://cdn.ncbi.nlm.nih.gov/pmc/blobs/893d/5890636/7f2cccf34347/annrheumdis-2017-211912f02.jpg
https://cdn.ncbi.nlm.nih.gov/pmc/blobs/893d/5890636/398df66b3e00/annrheumdis-2017-211912f03.jpg
https://cdn.ncbi.nlm.nih.gov/pmc/blobs/893d/5890636/a25f27572687/annrheumdis-2017-211912f01.jpg
https://cdn.ncbi.nlm.nih.gov/pmc/blobs/893d/5890636/7f2cccf34347/annrheumdis-2017-211912f02.jpg
https://cdn.ncbi.nlm.nih.gov/pmc/blobs/893d/5890636/398df66b3e00/annrheumdis-2017-211912f03.jpg

相似文献

1
Patterns and predictors of skin score change in early diffuse systemic sclerosis from the European Scleroderma Observational Study.早期弥漫性系统性硬皮病中皮肤评分变化的模式和预测因素:来自欧洲硬皮病观察性研究。
Ann Rheum Dis. 2018 Apr;77(4):563-570. doi: 10.1136/annrheumdis-2017-211912. Epub 2018 Jan 6.
2
Prediction of improvement in skin fibrosis in diffuse cutaneous systemic sclerosis: a EUSTAR analysis.弥漫性皮肤系统性硬化症皮肤纤维化改善情况的预测:一项欧洲抗风湿病联盟系统性硬化症注册研究(EUSTAR)分析
Ann Rheum Dis. 2016 Oct;75(10):1743-8. doi: 10.1136/annrheumdis-2015-208024. Epub 2016 Mar 25.
3
Progressive skin fibrosis is associated with a decline in lung function and worse survival in patients with diffuse cutaneous systemic sclerosis in the European Scleroderma Trials and Research (EUSTAR) cohort.进行性皮肤纤维化与弥漫性皮肤系统性硬皮病患者的肺功能下降和生存状况恶化相关,该研究来自于欧洲硬皮病临床试验和研究(EUSTAR)队列。
Ann Rheum Dis. 2019 May;78(5):648-656. doi: 10.1136/annrheumdis-2018-213455. Epub 2019 Mar 9.
4
Initial predictors of skin thickness progression in patients with diffuse cutaneous systemic sclerosis: Results from a multicentre prospective cohort in Japan.弥漫性皮肤系统性硬皮病患者皮肤厚度进展的初始预测因素:来自日本多中心前瞻性队列研究的结果。
Mod Rheumatol. 2021 Mar;31(2):386-393. doi: 10.1080/14397595.2020.1784548. Epub 2020 Jul 20.
5
Prediction of worsening of skin fibrosis in patients with diffuse cutaneous systemic sclerosis using the EUSTAR database.使用 EUSTAR 数据库预测弥漫性皮肤系统性硬皮病患者皮肤纤维化的恶化。
Ann Rheum Dis. 2015 Jun;74(6):1124-31. doi: 10.1136/annrheumdis-2014-205226. Epub 2014 Jun 30.
6
Enrichment Strategy for Systemic Sclerosis Clinical Trials Targeting Skin Fibrosis: A Prospective, Multiethnic Cohort Study.针对皮肤纤维化的系统性硬化症临床试验的富集策略:一项前瞻性、多民族队列研究。
ACR Open Rheumatol. 2020 Aug;2(8):496-502. doi: 10.1002/acr2.11165. Epub 2020 Jul 28.
7
Skin improvement is a surrogate for favourable changes in other organ systems in early diffuse cutaneous systemic sclerosis.皮肤改善是早期弥漫性皮肤系统性硬皮病其他器官系统发生有利变化的替代指标。
Rheumatology (Oxford). 2020 Jul 1;59(7):1715-1724. doi: 10.1093/rheumatology/kez529.
8
Treatment outcome in early diffuse cutaneous systemic sclerosis: the European Scleroderma Observational Study (ESOS).早期弥漫性皮肤系统性硬化症的治疗结果:欧洲硬皮病观察研究(ESOS)
Ann Rheum Dis. 2017 Jul;76(7):1207-1218. doi: 10.1136/annrheumdis-2016-210503. Epub 2017 Feb 10.
9
Clinical utility of hypo- and hyperpigmentation of skin in diffuse cutaneous systemic sclerosis.皮肤色素减退和色素沉着在弥漫性皮肤型系统性硬化症中的临床应用
Int J Rheum Dis. 2017 Jun;20(6):767-773. doi: 10.1111/1756-185X.13049. Epub 2017 Mar 6.
10
Changes in skin score in early diffuse cutaneous systemic sclerosis are associated with changes in global disease severity.早期弥漫性皮肤系统性硬皮病的皮肤评分变化与疾病整体严重程度的变化有关。
Rheumatology (Oxford). 2020 Feb 1;59(2):398-406. doi: 10.1093/rheumatology/kez299.

引用本文的文献

1
Hand Swelling and Other Non-Raynaud Phenomenon Symptoms as the Initial Presentation of Systemic Sclerosis: Prevalence and Clinical Associations in Two US Cohorts.手部肿胀及其他非雷诺现象症状作为系统性硬化症的首发表现:美国两个队列中的患病率及临床关联
Arthritis Rheumatol. 2025 May 19. doi: 10.1002/art.43237.
2
Comparative Efficacy of Immunosuppressive Therapies in the Treatment of Diffuse Cutaneous Systemic Sclerosis.免疫抑制疗法治疗弥漫性皮肤型系统性硬化症的疗效比较
ACR Open Rheumatol. 2025 Mar;7(3):e70004. doi: 10.1002/acr2.70004.
3
An international perspective on the future of systemic sclerosis research.

本文引用的文献

1
Lysophosphatidic Acid Receptor 1 Antagonist SAR100842 for Patients With Diffuse Cutaneous Systemic Sclerosis: A Double-Blind, Randomized, Eight-Week Placebo-Controlled Study Followed by a Sixteen-Week Open-Label Extension Study.溶血磷脂酸受体 1 拮抗剂 SAR100842 治疗弥漫性皮肤系统性硬化症患者的双盲、随机、八周安慰剂对照研究及随后的十六周开放标签扩展研究。
Arthritis Rheumatol. 2018 Oct;70(10):1634-1643. doi: 10.1002/art.40547. Epub 2017 Nov 6.
2
Treatment outcome in early diffuse cutaneous systemic sclerosis: the European Scleroderma Observational Study (ESOS).早期弥漫性皮肤系统性硬化症的治疗结果:欧洲硬皮病观察研究(ESOS)
Ann Rheum Dis. 2017 Jul;76(7):1207-1218. doi: 10.1136/annrheumdis-2016-210503. Epub 2017 Feb 10.
3
系统性硬化症研究未来的国际视角。
Nat Rev Rheumatol. 2025 Mar;21(3):174-187. doi: 10.1038/s41584-024-01217-2. Epub 2025 Feb 14.
4
Abnormal Esophageal Scintigraphy Associates With a Distinct Clinical Phenotype in Patients With Systemic Sclerosis.异常食管闪烁扫描与系统性硬化症患者独特的临床表型相关。
ACR Open Rheumatol. 2025 Jan;7(1):e11796. doi: 10.1002/acr2.11796.
5
Impact of Scleroderma-Associated Autoantibodies on Clinical Outcome Assessments: Post Hoc Analysis From a Randomised, Double-blind, Placebo-controlled, Phase 3 Trial of Tocilizumab in Scleroderma.硬皮病相关自身抗体对临床结局评估的影响:托珠单抗治疗硬皮病的随机、双盲、安慰剂对照3期试验的事后分析
ACR Open Rheumatol. 2025 Jan;7(1):e11782. doi: 10.1002/acr2.11782.
6
Prediction of Disease Progression and Clinical Response in Systemic Sclerosis: Experience From a Proof-of-Concept Trial.系统性硬化症疾病进展和临床反应的预测:一项概念验证试验的经验
ACR Open Rheumatol. 2024 Aug;6(8):511-518. doi: 10.1002/acr2.11678. Epub 2024 Jun 23.
7
Biomarker analysis from the phase 2b randomized placebo-controlled trial of riociguat in early diffuse cutaneous systemic sclerosis.生物标志物分析:来自 riociguat 在早期弥漫性皮肤系统性硬皮病的 2b 期随机安慰剂对照试验。
Rheumatology (Oxford). 2024 Nov 1;63(11):3124-3134. doi: 10.1093/rheumatology/keae150.
8
Single-cell analysis reveals key differences between early-stage and late-stage systemic sclerosis skin across autoantibody subgroups.单细胞分析揭示了自身抗体亚组中早期和晚期系统性硬化症皮肤之间的关键差异。
Ann Rheum Dis. 2023 Dec;82(12):1568-1579. doi: 10.1136/ard-2023-224184. Epub 2023 Aug 14.
9
Retrospective comparative study of the efficacy of JAK inhibitor (tofacitinib) in the treatment of systemic sclerosis-associated interstitial lung disease.回顾性比较研究 JAK 抑制剂(托法替布)治疗系统性硬化症相关间质性肺病的疗效。
Clin Rheumatol. 2023 Oct;42(10):2823-2832. doi: 10.1007/s10067-023-06660-2. Epub 2023 Jun 19.
10
State-of-the-art evidence in the treatment of systemic sclerosis.系统性硬化症治疗的最新证据。
Nat Rev Rheumatol. 2023 Apr;19(4):212-226. doi: 10.1038/s41584-023-00909-5. Epub 2023 Feb 27.
Safety and efficacy of subcutaneous tocilizumab in adults with systemic sclerosis (faSScinate): a phase 2, randomised, controlled trial.
托西珠单抗皮下注射治疗系统性硬化症成人患者的安全性和有效性(faSScinate):一项 2 期、随机、对照试验。
Lancet. 2016 Jun 25;387(10038):2630-2640. doi: 10.1016/S0140-6736(16)00232-4. Epub 2016 May 5.
4
Prediction of improvement in skin fibrosis in diffuse cutaneous systemic sclerosis: a EUSTAR analysis.弥漫性皮肤系统性硬化症皮肤纤维化改善情况的预测:一项欧洲抗风湿病联盟系统性硬化症注册研究(EUSTAR)分析
Ann Rheum Dis. 2016 Oct;75(10):1743-8. doi: 10.1136/annrheumdis-2015-208024. Epub 2016 Mar 25.
5
Autologous hematopoietic stem cell transplantation vs intravenous pulse cyclophosphamide in diffuse cutaneous systemic sclerosis: a randomized clinical trial.自身造血干细胞移植与静脉注射环磷酰胺冲击治疗弥漫性皮肤系统性硬化症:一项随机临床试验。
JAMA. 2014 Jun 25;311(24):2490-8. doi: 10.1001/jama.2014.6368.
6
Prediction of worsening of skin fibrosis in patients with diffuse cutaneous systemic sclerosis using the EUSTAR database.使用 EUSTAR 数据库预测弥漫性皮肤系统性硬皮病患者皮肤纤维化的恶化。
Ann Rheum Dis. 2015 Jun;74(6):1124-31. doi: 10.1136/annrheumdis-2014-205226. Epub 2014 Jun 30.
7
Correcting for optimistic prediction in small data sets.在小数据集上纠正乐观预测。
Am J Epidemiol. 2014 Aug 1;180(3):318-24. doi: 10.1093/aje/kwu140. Epub 2014 Jun 24.
8
Correlates and responsiveness to change of measures of skin and musculoskeletal disease in early diffuse systemic sclerosis.早期弥漫性系统性硬化症皮肤和肌肉骨骼疾病相关指标及对其变化的反应性。
Arthritis Care Res (Hoboken). 2014 Nov;66(11):1731-9. doi: 10.1002/acr.22339.
9
Assessing the performance of prediction models: a framework for traditional and novel measures.评估预测模型的性能:传统和新型指标的框架。
Epidemiology. 2010 Jan;21(1):128-38. doi: 10.1097/EDE.0b013e3181c30fb2.
10
Course of the modified Rodnan skin thickness score in systemic sclerosis clinical trials: analysis of three large multicenter, double-blind, randomized controlled trials.系统性硬化症临床试验中改良罗德南皮肤厚度评分的变化过程:三项大型多中心、双盲、随机对照试验的分析
Arthritis Rheum. 2009 Aug;60(8):2490-8. doi: 10.1002/art.24681.