• 文献检索
  • 文档翻译
  • 深度研究
  • 学术资讯
  • Suppr Zotero 插件Zotero 插件
  • 邀请有礼
  • 套餐&价格
  • 历史记录
应用&插件
Suppr Zotero 插件Zotero 插件浏览器插件Mac 客户端Windows 客户端微信小程序
定价
高级版会员购买积分包购买API积分包
服务
文献检索文档翻译深度研究API 文档MCP 服务
关于我们
关于 Suppr公司介绍联系我们用户协议隐私条款
关注我们

Suppr 超能文献

核心技术专利:CN118964589B侵权必究
粤ICP备2023148730 号-1Suppr @ 2026

文献检索

告别复杂PubMed语法,用中文像聊天一样搜索,搜遍4000万医学文献。AI智能推荐,让科研检索更轻松。

立即免费搜索

文件翻译

保留排版,准确专业,支持PDF/Word/PPT等文件格式,支持 12+语言互译。

免费翻译文档

深度研究

AI帮你快速写综述,25分钟生成高质量综述,智能提取关键信息,辅助科研写作。

立即免费体验

手部肿胀及其他非雷诺现象症状作为系统性硬化症的首发表现:美国两个队列中的患病率及临床关联

Hand Swelling and Other Non-Raynaud Phenomenon Symptoms as the Initial Presentation of Systemic Sclerosis: Prevalence and Clinical Associations in Two US Cohorts.

作者信息

Hanif Iqtidar, Assassi Shervin, Mayes Maureen D, McMahan Zsuzsanna H, Zhang Meng, Charles Julio, VanBuren John M, Alvey Jessica S, Ghaffari Kimia, Bernstein Elana J, Castelino Flavia V, Chung Lorinda, Evnin Luke, Frech Tracy M, Gordon Jessica K, Hant Faye N, Hummers Laura K, Khanna Dinesh, Lakin Kimberly S, Lebiedz-Odrobina Dorota, Luo Yiming, Makol Ashima, Molitor Jerry A, Moore Duncan F, Richardson Carrie, Sandorfi Nora, Shah Ami A, Shah Ankoor, Shanmugam Victoria K, Steen Virginia D, Volkmann Elizabeth R, Zahn Carleigh, Skaug Brian

机构信息

University of Texas Health Science Center at Houston.

University of Utah, Salt Lake City.

出版信息

Arthritis Rheumatol. 2025 May 19. doi: 10.1002/art.43237.

DOI:10.1002/art.43237
PMID:40386907
原文链接:https://pmc.ncbi.nlm.nih.gov/articles/PMC12353935/
Abstract

OBJECTIVE

Raynaud phenomenon (RP) is often the initial clinical manifestation of systemic sclerosis (SSc), but some patients develop other manifestations first. To help elucidate the diversity of SSc presentation in its early stages, we describe the initial clinical manifestations and antinuclear antibody (ANA) profiles of patients in two early SSc cohorts.

METHODS

All patient data in the Genetics vs Environment in Scleroderma Outcomes Study (GENISOS) and Collaborative National Quality and Efficacy Registry (CONQUER) cohorts were reviewed. Both studies enrolled patients within five years of the first non-RP symptom.

RESULTS

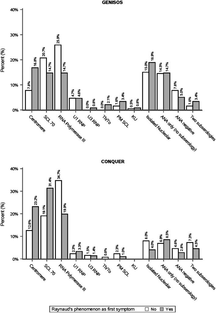
In GENISOS and CONQUER, respectively, 194 (44.2%) of 439 and 292 (31.1%) of 938 patients had a non-RP initial symptom, most commonly puffy fingers/hands. Black patients had a non-RP symptom before RP more commonly than patients in other race and ethnicity categories. Non-RP first patients were more likely than RP first patients to have diffuse cutaneous involvement and joint contractures at enrollment and had a higher prevalence of RNA polymerase III antibody positivity.

CONCLUSION

In two large US cohorts, >30% of patients began to manifest SSc with puffy fingers/hands or other symptoms, without the "warning sign" of RP as their initial symptom. These patients presented with more severe skin and musculoskeletal disease on average, highlighting the importance of early recognition. The most common autoantibody associated with this presentation was RNA polymerase III. These results should be considered in efforts to recognize SSc in its earliest stages. Puffy fingers/hands, even in the absence of RP, should prompt consideration of early SSc and testing for ANA and SSc-associated autoantibodies, including RNA polymerase III.

摘要

目的

雷诺现象(RP)通常是系统性硬化症(SSc)的初始临床表现,但有些患者先出现其他表现。为了帮助阐明SSc早期表现的多样性,我们描述了两个早期SSc队列中患者的初始临床表现和抗核抗体(ANA)谱。

方法

回顾了硬皮病结局研究(GENISOS)和全国协作质量与疗效登记处(CONQUER)队列中的所有患者数据。两项研究均纳入了出现首个非RP症状后五年内的患者。

结果

在GENISOS和CONQUER队列中,分别有439例患者中的194例(44.2%)和938例患者中的292例(31.1%)有非RP初始症状,最常见的是手指/手部肿胀。黑人患者在出现RP之前出现非RP症状的情况比其他种族和族裔类别的患者更常见。非RP首发患者比RP首发患者在入组时更可能有弥漫性皮肤受累和关节挛缩,且RNA聚合酶III抗体阳性率更高。

结论

在美国的两个大型队列中,超过30%的患者开始表现为SSc时出现手指/手部肿胀或其他症状,而没有RP这一“警示信号”作为初始症状。这些患者平均表现出更严重的皮肤和肌肉骨骼疾病,凸显了早期识别的重要性。与这种表现相关的最常见自身抗体是RNA聚合酶III。在努力尽早识别SSc时应考虑这些结果。即使没有RP,手指/手部肿胀也应促使考虑早期SSc并检测ANA和与SSc相关的自身抗体,包括RNA聚合酶III。

https://cdn.ncbi.nlm.nih.gov/pmc/blobs/81ef/12569743/da05a7050020/ART-77-1585-g002.jpg
https://cdn.ncbi.nlm.nih.gov/pmc/blobs/81ef/12569743/819e0447c461/ART-77-1585-g001.jpg
https://cdn.ncbi.nlm.nih.gov/pmc/blobs/81ef/12569743/da05a7050020/ART-77-1585-g002.jpg
https://cdn.ncbi.nlm.nih.gov/pmc/blobs/81ef/12569743/819e0447c461/ART-77-1585-g001.jpg
https://cdn.ncbi.nlm.nih.gov/pmc/blobs/81ef/12569743/da05a7050020/ART-77-1585-g002.jpg

相似文献

1
Hand Swelling and Other Non-Raynaud Phenomenon Symptoms as the Initial Presentation of Systemic Sclerosis: Prevalence and Clinical Associations in Two US Cohorts.手部肿胀及其他非雷诺现象症状作为系统性硬化症的首发表现:美国两个队列中的患病率及临床关联
Arthritis Rheumatol. 2025 May 19. doi: 10.1002/art.43237.
2
Prescription of Controlled Substances: Benefits and Risks管制药品的处方:益处与风险
3
Signs and symptoms to determine if a patient presenting in primary care or hospital outpatient settings has COVID-19.在基层医疗机构或医院门诊环境中,如果患者出现以下症状和体征,可判断其是否患有 COVID-19。
Cochrane Database Syst Rev. 2022 May 20;5(5):CD013665. doi: 10.1002/14651858.CD013665.pub3.
4
The Black Book of Psychotropic Dosing and Monitoring.《精神药物剂量与监测黑皮书》
Psychopharmacol Bull. 2024 Jul 8;54(3):8-59.
5
Systemic pharmacological treatments for chronic plaque psoriasis: a network meta-analysis.慢性斑块状银屑病的全身药理学治疗:一项网状荟萃分析。
Cochrane Database Syst Rev. 2017 Dec 22;12(12):CD011535. doi: 10.1002/14651858.CD011535.pub2.
6
Systemic pharmacological treatments for chronic plaque psoriasis: a network meta-analysis.系统性药理学治疗慢性斑块状银屑病:网络荟萃分析。
Cochrane Database Syst Rev. 2021 Apr 19;4(4):CD011535. doi: 10.1002/14651858.CD011535.pub4.
7
Are Current Survival Prediction Tools Useful When Treating Subsequent Skeletal-related Events From Bone Metastases?当前的生存预测工具在治疗骨转移后的骨骼相关事件时有用吗?
Clin Orthop Relat Res. 2024 Sep 1;482(9):1710-1721. doi: 10.1097/CORR.0000000000003030. Epub 2024 Mar 22.
8
Systemic pharmacological treatments for chronic plaque psoriasis: a network meta-analysis.慢性斑块状银屑病的全身药理学治疗:一项网状Meta分析。
Cochrane Database Syst Rev. 2020 Jan 9;1(1):CD011535. doi: 10.1002/14651858.CD011535.pub3.
9
Elbow Fractures Overview肘部骨折概述
10
Home treatment for mental health problems: a systematic review.心理健康问题的居家治疗:一项系统综述
Health Technol Assess. 2001;5(15):1-139. doi: 10.3310/hta5150.

本文引用的文献

1
Progression of patients with Raynaud's phenomenon to systemic sclerosis: a five-year analysis of the European Scleroderma Trial and Research group multicentre, longitudinal registry study for Very Early Diagnosis of Systemic Sclerosis (VEDOSS).雷诺现象患者进展为系统性硬化症:欧洲硬皮病试验与研究组多中心、系统性硬化症极早期诊断纵向注册研究(VEDOSS)的五年分析。
Lancet Rheumatol. 2021 Dec;3(12):e834-e843. doi: 10.1016/S2665-9913(21)00244-7.
2
Safety and efficacy of rituximab in systemic sclerosis (DESIRES): a double-blind, investigator-initiated, randomised, placebo-controlled trial.利妥昔单抗治疗系统性硬化症的安全性和有效性(DESIRES):一项由研究者发起的双盲、随机、安慰剂对照试验。
Lancet Rheumatol. 2021 Jul;3(7):e489-e497. doi: 10.1016/S2665-9913(21)00107-7. Epub 2021 May 26.
3
Systemic sclerosis.系统性硬化症。
Lancet. 2023 Jan 28;401(10373):304-318. doi: 10.1016/S0140-6736(22)01692-0. Epub 2022 Nov 25.
4
Scleroderma autoantibodies in guiding monitoring and treatment decisions.硬皮病自身抗体在指导监测和治疗决策中的作用。
Curr Opin Rheumatol. 2022 Nov 1;34(6):302-310. doi: 10.1097/BOR.0000000000000904. Epub 2022 Aug 29.
5
A data-driven approach finds RNA polymerase III antibody and tendon friction rubs as enrichment tools for early diffuse scleroderma trials.一种数据驱动的方法发现 RNA 聚合酶 III 抗体和肌腱摩擦音作为早期弥漫性硬皮病试验的富集工具。
Rheumatology (Oxford). 2023 Apr 3;62(4):1543-1551. doi: 10.1093/rheumatology/keac501.
6
Clinical characteristics, visceral involvement, and mortality in at-risk or early diffuse systemic sclerosis: a longitudinal analysis of an observational prospective multicenter US cohort.高危或早期弥漫性系统性硬化症的临床特征、内脏受累和死亡率:一项美国多中心前瞻性观察队列的纵向分析。
Arthritis Res Ther. 2021 Jun 14;23(1):170. doi: 10.1186/s13075-021-02548-1.
7
Defining the optimal disease duration of early diffuse systemic sclerosis for clinical trial design.定义临床试验设计中早期弥漫性系统性硬皮病的最佳疾病持续时间。
Rheumatology (Oxford). 2021 Oct 2;60(10):4662-4670. doi: 10.1093/rheumatology/keab075.
8
Tocilizumab in systemic sclerosis: a randomised, double-blind, placebo-controlled, phase 3 trial.托西珠单抗治疗系统性硬化症:一项随机、双盲、安慰剂对照、3 期临床试验。
Lancet Respir Med. 2020 Oct;8(10):963-974. doi: 10.1016/S2213-2600(20)30318-0. Epub 2020 Aug 28.
9
Collaborative National Quality and Efficacy Registry (CONQUER) for Scleroderma: outcomes from a multicenter US-based systemic sclerosis registry.硬皮病协作国家质量和功效注册研究(CONQUER):一项多中心美国系统性硬皮病注册研究的结果。
Clin Rheumatol. 2020 Jan;39(1):93-102. doi: 10.1007/s10067-019-04792-y. Epub 2019 Oct 30.
10
Nintedanib for Systemic Sclerosis-Associated Interstitial Lung Disease.尼达尼布治疗系统性硬化症相关间质性肺疾病。
N Engl J Med. 2019 Jun 27;380(26):2518-2528. doi: 10.1056/NEJMoa1903076. Epub 2019 May 20.